Kutupsal Koordinat Sistemi
Çeşitli açılarla bölünmüş kutupsal bir ızgara sistemiSponsorlu Bağlantılar

Matematikte kutupsal koordinat sistemi veya polar koordinat sistemi, noktaların birer açı ve Kartezyen koordinat sistemindeki orijinin eşdeğeri olup "kutup" olarak bilinen bir merkez noktaya olan uzaklıklar ile tanımlandığı, iki boyutlu bir koordinat sistemidir. Kutupsal koordinat sistemi, matematik, fizik, mühendislik, denizcilik, robot teknolojisi gibi birçok alanda kullanılır. Bu sistem, iki nokta arasındaki ilişkinin açı ve uzaklık ile daha kolay ifade edilebildiği durumlar için özellikle kullanışlıdır. Kartezyen koordinat sisteminde, böyle bir ilişki ancak trigonometrik formüller ile bulunabilir. Kutupsal denklemler, çoğu eğri tipi için en kolay, bazıları içinse yegâne tanımlama yöntemidir.
Tarihçesi
Antik Yunan Uygarlığı'nda açı ve yarıçap kavramlarının kullanıldığı bilinmektedir (MÖ 190 - 120). Her açı için kiriş uzunluklarını veren bir kiriş fonksiyonları tablosu oluşturulmuştur ve yıldızların konumlarını belirlemek için kutupsal koordinatlar kullanıldığına ilişkin kaynaklar bulunmaktadır. "Spiraller Üzerine" (On Spirals) adlı eserinde Arşimet, ünlü spiralini yarıçapın açıya bağlı olduğu bir fonksiyon olarak tanımlar. Bununla beraber, Yunan çalışmaları, koordinat sistemini tam olarak tanımlayamamıştır.
Kutupsal koordinatları resmî bir koordinat sisteminin parçası olarak ilk olarak kimin tanımladığına ilişkin farklı söylemler vardır. Konunun tarihçesi, Harvard profesörü Julian Lowell Coolidge'in "Kutupsal Koordinatların Kaynağı" (Origin of Polar Coordinates) adlı kitabında anlatılmıştır. Grégoire de Saint-Vincent ve Bonaventura Cavalieri yaklaşık aynı zamanda birbirinden bağımsız olarak kavramları oluşturmaya başlamıştır. Saint-Vincent, çalışmalarını 1625 yılında yazmış ve 1647 yılında yayınlamışken, Cavalieri de 1635 yılında kendi çalışmalarının ilk baskısını yapıp, 1653 yılında elden geçirilmiş bir sürümünü yayınlamıştır. Bir Arşimet spirali içindeki alanla ilgili bir problemin çözümünde kutupsal koordinat sisteminden ilk yararlanan Cavalieri olmuştur. Daha sonra Blaise Pascal, parabolik yayların uzunluğunu hesaplamak için kutupsal koordinatları kullanmıştır.
1671 yılında yazılmış ve 1736 yılında basılmış olan Method of Fluxions çalışmasıyla Isaac Newton, kutupsal koordinatlara bir düzlemdeki herhangi bir noktanın yerini saptama yöntemi olarak bakan ilk kişi olmuştur. Newton, kutupsal koordinatlar ve diğer dokuz koordinat sistemi arasındaki dönüşümleri incelemiştir. Acta eruditorum (1691) adlı çalışmasında Jacob Bernoulli, sırasıyla kutup ve kutupsal eksen olarak adlandırdığı bir nokta ve o noktanın üzerinde yer aldığı eksenden oluşan bir sistem kullanmıştır. Bu sistemde koordinatlar, kutba göre uzaklık ve kutup eksenine göre açı ile belirtilmiştir. Bernoulli'nin çalışması, bu koordinatlarla tanımlanmış eğrilerin eğim yarıçaplarını hesaplamaya kadar ilerlemiştir.
Gregorio Fontana'ya atfedilmiş olan kutupsal koordinatlar terimi, 18. yüzyıl İtalyan yazarları tarafından kullanılmıştır. Terimin İngilizce yayınlarda ilk yer alışı, George Peacock'ın Sylvestre François Lacroix'ya ait "Diferansiyel ve İntegral Hesaplamalar" (Differential and Integral Calculus) adlı kitabını çevirmesi ile 1816 yılında olmuştur.
Alexis Clairaut ve Leonhard Euler, kutupsal koordinat kavramının üç boyuta uyarlanmasında rol oynamışlardır.
Konu Başlıkları
- Kutupsal koordinatlar ile noktaların belirtilmesi
- 1.1 Radyan ölçüsünün kullanımı
- 1.2 Kutupsal ve kartezyen koordinatlar arası dönüşüm
- Kutupsal denklemler
- 2.1 Çember
- 2.2 Doğru
- 2.3 Kutupsal gül
- 2.4 Arşimet spirali
- 2.5 Konik kesitler
- 2.6 Diğer eğriler
- Calculus (Analiz)
- 3.1 Diferansiyel hesaplama
- 3.2 İntegral hesaplama
- 3.3 Vektörel hesaplamalar
- Üç boyut
- 4.1 Silindirik koordinatlar
- 4.2 Küresel koordinatlar
- Uygulamalar
- 5.1 Robot bilimi
- 5.2 Havacılık
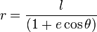
- 5.3 Arşimet spirali
- 5.4 Kepler'in gezegensel hareket kanunları
Son düzenleyen Safi; 19 Aralık 2017 22:23
Tanrı varsa eğer, ruhumu kutsasın... Ruhum varsa eğer!

Kutupsal Koordinat Sistemi (Polar Koordinat Sistemi)











, r ve θ t zamanına bağlı olmak üzere
,
, 

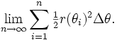
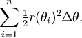
eğri üzerindeki bir noktayı odak alarak çizilen çizginin süpürdüğü alan olarak alındığında, limit içinde
,
tarafından şekillendirilmiş paralelkenar alanının yarısıdır,









sabittir. Bu denklemler Newton'un hareket kanunlarından elde edilebilir ve kutupsal koordinatların kullanıldığı tam bir türetme, Kepler'in gezegensel hareket yasaları maddesinde sunulmuştur. 
