Cebirin Temel Teoremi (D'Alembert-Gauss Teoremi)
Vikipedi, özgür ansiklopedi
Matematikte cebirin temel teoremi karmaşık değişkenli polinomların köklerinin varlığıyla ilgili temel bir sonuçtur. D'Alembert-Gauss teoremi olarak da anılmaktadır.
Teoremin açık bir ifadesi şöyledir:
'de çarpanlarına ayrılabileceği görülebilir; yani daha doğru bir şekilde dile getirilirse, her polinom derecesi kadar sayıda doğrusal fonksiyonların çarpımı şeklinde yazılabilir. Bu doğrusal fonksiyonların üniter olması isteniyorsa bu çarpımın başına bir karmaşık sayı eklenir. Polinom bu son anlatılan şekilde çarpanlarına ayrılmaya çalışılırsa, böyle bir ayırma tek bir şekilde yapılabilir. Matematiksel bir dille şu ifade edilmektedir:
Eğer
olacağı açıktır. Burada polinomun köklerinin birbirinden farklı olmak zorunda olmayacağına dikkat edilmelidir.
Cebirin temel teoremi, her ne kadar cebirin ve teoremin kanıtlanmasından sonra üretilmiş matematiğin büyük bir bölümünün geliştirilmesinde önemli bir yere sahipse de, isminin içerdiği cebir kelimesi teoremi dar bir alana sokmamalıdır. Zira, bu teoremin tamamen cebirsel olan bir kanıtı bile yok gibidir. Teoremin bu isimle anılmasının sebebi teoremin kanıtlandığı dönemde cebirin kendini "denklemler kuramı" yani polinomların çözümüyle uğraşan bir kuram olarak tanımlamasıdır. Ancak, kanıtın yapıldığı zamandan bu yana cebirin kapsamına giren fikirler artmışsa da teoremin ismi değişmeden kalmıştır.
Teorem, kendine matematiğin içinde oldukça geniş bir uygulama bulmuştur. Örneğin, doğrusal cebirde özyapı dönüşümlerinin indirgenmesinde önemli bir yere sahiptir. Yine analizde, rasyonel fonksiyonların ayrışımında ve daha bir çok teoremin kanıtında kullanılmaktadır.
Teoremin dengi ifadeleri
Cebirin temel teoreminin birbirine denk olan değişik ifadeleri mevcuttur:
polinomunun bir köküdür. Bu halde, teorem P (X ) polinomunun bir kökünün varolduğunu ifade eder; ancak bu kökün nasıl bulunacağını açıklamaz. Köklerin varlığı ilgili bu ifade aslında karmaşık sayılar cisminin bir özelliğini de tanımlamaktadır. Katsayılarını bir F cisminden alan, tek değişkenli ve derecesi en az 1 olan her polinomun yine bu F cismi içinde bir kökü varsa, F cismine cebirsel kapalı cisim adı verilir. Teorem bu yüzden şu şekilde de ifade edilebilir:
şeklindeki polinomların an(X - α1)...(X - αn) halinde de yazılabileceğini işaret eder. Burada, 1'den k'ye kadar değişen her αk polinomun bir köküdür. Burada, farklı k'ler için αk'ler eşit olabilir. Bu durumda, αk'ye katlı kök adı verilir.
Cebirin temel teoremi, katsayıları gerçel sayı olan polinomlar ele alındığında şu dengi ifadelere karşılık gelmektedir:
halinde yazılabilen ve
koşulunu sağlayan polinomlar). Sabit olmayan, gerçel katsayılara sahip her polinom, derecesi 1 veya 2 olan polinomların çarpımı şeklinde yazılabilir.
Teoremin tarihi
Peter Rothe (Petrus Roth), 1608'de yayımlanan Arithmetica Philosophica adlı kitabında gerçel katsayılara sahip n'yinci dereceden bir polinom denkleminin n tane çözümünün olabileceğini yazmıştır. Albert Girard, 1629'da yayımlanan "L'invention nouvelle en l'Algèbre" adlı kitabında n'yinci dereceden bir polinom denkleminin n tane çözümünün olduğunu yazmıştır. Dahası, bu ifadesinin "denklem eksikli olmadıkça" geçerli olduğunu ifade etmiştir. Ancak, ne demek istediğini detaylı bir şekilde açıkladığında, aslında ifade ettiği önermenin her zaman geçerli olduğuna inandığı ortaya çıkmaktadır.
Mesela, x4 = 4x − 3 eksikli değildir; ancak yine de 4 kökü vardır:
Euler ayrıca,
18'inci yüzyıl sonunda, köklerin varlığını varsaymayan iki kanıt yayınlandı. Bunlardan biri James Wood tarafından verilmişti ve genel çerçevede cebirsel bir kanıttı; ancak zamanında pek de önemsenmedi. Wood'un verdiği kanıtın aynı zamanda cebirsel bir açığı vardı. Diğer kanıt ise Gauss tarafından 1799'da verilen kanıttı ve genel çerçevede geometrik bir kanıttı; ancak topolojik bir açığı vardı. Bu açık, Alexander Ostrowski tarafından 1920'de kapatılmıştır. Tamamen titizce hazılanmış bir kanıt Argand tarafından 1806'da verilmiştir ve ilk defa burada cebirin temel teoremi gerçel katsayılı polinomlardan değil de karmaşık katsayılı polinomlardan bahsederek ifade edilmiştir. Gauss, daha sonra biri 1816'da ve diğeri de ilk verdiği kanıtın değişik bir hali olmak üzere 1849'da iki kanıt daha yayımlamıştır.
Teoremi ve kanıtını içeren ilk kitap Cauchy'nin "Cours d'analyse de l'École Royale Polytechnique" (1821) adlı kitabıdır. Argand'ın kanıtını içermektedir; ancak Argand'a herhangi bir atıf yapılmamıştır.
Kanıtlar
Bu bölümde dahil edilen kanıtların neredeyse hepsi bir şekilde analizden en azından gerçel ve karmaşık fonksiyonların sürekliliğini kullanacak derecede faydalanmaktadır. Bazı kanıtlar türevi ve hatta analitik fonksiyonları kullanmaktadır. Bu yüzden, aslında cebirin temel teoreminin ne temel ne de tamamen cebirsel bir özelliği mevcuttur.
Teoremin bazı kanıtları sabit olmayan ve gerçel katsayılara sahip polinomların karmaşık bir köke sahip olacağını kanıtlamaktadır. Ancak, bu tür kanıtlar yine de teoremin en genel halini kanıtlamakta yeterlidir; çünkü p(z) karmaşık katsayılara sahip sabit olmayan bir polinomsa
Teoremin cebirsel yöntemleri kullanmayan kanıtlarının büyük bir kısmı büyüme önsavı da denilen şu gerçeğe dayanmaktadır: baskın katsayısı 1 olan n 'yinci dereceden bir polinom |z| yeterince büyükken aslında zn gibi davranır. Daha kesin bir ifade ise şöyle verilebilir:
Öyle bir R sayısı vardır ki |z| > R iken şu eşitsizlik sağlanır:
olsun. O zaman, p(z) 'yi z − z0'ın kuvvetleri halinde açıp şu şekilde yazabiliriz:
polinomunun katsayılarıdır ve k de sabit terimden sonra sıfır olmayan ilk terimin indeksini temsil etmektedir. Ama, z0 'a yeteri kadar yakın z'ler için bu polinomun asimptotik olarak
polinomuna benzer davrandığını gözlemleyebiliriz. Başka bir deyişle,
alırsak, o zaman yeteri kadar küçük pozitif r sayısı için üçgen eşitsizliğini de kullanarak
A, nxn lik karmaşık bir kare matris olsun ve In de nxn lik birim matris olsun.
Vikipedi, özgür ansiklopedi
Sponsorlu Bağlantılar
Matematikte cebirin temel teoremi karmaşık değişkenli polinomların köklerinin varlığıyla ilgili temel bir sonuçtur. D'Alembert-Gauss teoremi olarak da anılmaktadır.
Teoremin açık bir ifadesi şöyledir:
Katsayıları karmaşık olan ve sabit olmayan tek değişkenli her polinomun en az bir (karmaşık) kökü vardır.Sonuç olarak, katsayıları tamsayı, rasyonel sayı veya gerçel sayı olan ve sabit olmayan her polinomun en az bir karmaşık kökü vardır; çünkü tamsayılar, rasyonel sayılar ve gerçel sayılar da aslında birer karmaşık sayıdır. Bu sonuç elde edildikten sonra, her polinomun karmaşık sayılar cismi olan
'de çarpanlarına ayrılabileceği görülebilir; yani daha doğru bir şekilde dile getirilirse, her polinom derecesi kadar sayıda doğrusal fonksiyonların çarpımı şeklinde yazılabilir. Bu doğrusal fonksiyonların üniter olması isteniyorsa bu çarpımın başına bir karmaşık sayı eklenir. Polinom bu son anlatılan şekilde çarpanlarına ayrılmaya çalışılırsa, böyle bir ayırma tek bir şekilde yapılabilir. Matematiksel bir dille şu ifade edilmektedir: Eğer
ise ve![]()
n dereceli bir polinomsa,![]()
eşitliği yazılabilir ve bu eşitliğin bu şekilde yazılabilmesi sadece tek bir şekilde yapılabilir. Bu şekilde yazıldıktan sonra, polinomun köklerinin![]()
olacağı açıktır. Burada polinomun köklerinin birbirinden farklı olmak zorunda olmayacağına dikkat edilmelidir.Cebirin temel teoremi, her ne kadar cebirin ve teoremin kanıtlanmasından sonra üretilmiş matematiğin büyük bir bölümünün geliştirilmesinde önemli bir yere sahipse de, isminin içerdiği cebir kelimesi teoremi dar bir alana sokmamalıdır. Zira, bu teoremin tamamen cebirsel olan bir kanıtı bile yok gibidir. Teoremin bu isimle anılmasının sebebi teoremin kanıtlandığı dönemde cebirin kendini "denklemler kuramı" yani polinomların çözümüyle uğraşan bir kuram olarak tanımlamasıdır. Ancak, kanıtın yapıldığı zamandan bu yana cebirin kapsamına giren fikirler artmışsa da teoremin ismi değişmeden kalmıştır.
Teorem, kendine matematiğin içinde oldukça geniş bir uygulama bulmuştur. Örneğin, doğrusal cebirde özyapı dönüşümlerinin indirgenmesinde önemli bir yere sahiptir. Yine analizde, rasyonel fonksiyonların ayrışımında ve daha bir çok teoremin kanıtında kullanılmaktadır.
Teoremin dengi ifadeleri
Cebirin temel teoreminin birbirine denk olan değişik ifadeleri mevcuttur:
Bunlardan ilki yukarıda da verilen ifadedir: Sabit olmayan ve katsayıları karmaşık olan her polinomun en az bir karmaşık kökü vardır.Örneğin, 1+i karmaşık sayısı
polinomunun bir köküdür. Bu halde, teorem P (X ) polinomunun bir kökünün varolduğunu ifade eder; ancak bu kökün nasıl bulunacağını açıklamaz. Köklerin varlığı ilgili bu ifade aslında karmaşık sayılar cisminin bir özelliğini de tanımlamaktadır. Katsayılarını bir F cisminden alan, tek değişkenli ve derecesi en az 1 olan her polinomun yine bu F cismi içinde bir kökü varsa, F cismine cebirsel kapalı cisim adı verilir. Teorem bu yüzden şu şekilde de ifade edilebilir:C cismi cebirsel kapalı bir cisimdir.Bu sonuç, aynı zamanda bir polinomun bölünmesi bağlamında da, yani karmaşık katsayılı çarpanlarının çarpımına eşit olması anlamında da ifade edilebilir:
Karmaşık değişkenli her polinom bölünebilir; yani derecesi 1 olan ve karmaşık katsayılara sahip polinomların çarpımı şeklinde yazılabilir.Teorem, derecesi n olan ve karmaşık katsayılı
şeklindeki polinomların an(X - α1)...(X - αn) halinde de yazılabileceğini işaret eder. Burada, 1'den k'ye kadar değişen her αk polinomun bir köküdür. Burada, farklı k'ler için αk'ler eşit olabilir. Bu durumda, αk'ye katlı kök adı verilir.Cebirin temel teoremi, katsayıları gerçel sayı olan polinomlar ele alındığında şu dengi ifadelere karşılık gelmektedir:
Gerçel katsayılara sahip, sabit olmayan her polinomun en az bir karmaşık kökü vardır.Gerçel katsayılı indirgenmez polinomlar ya 1 derecelidir ya da ikinci dereceden diskriminantı kesin negatif olan polinomlardır (yani
halinde yazılabilen ve
koşulunu sağlayan polinomlar). Sabit olmayan, gerçel katsayılara sahip her polinom, derecesi 1 veya 2 olan polinomların çarpımı şeklinde yazılabilir. Teoremin tarihi
Peter Rothe (Petrus Roth), 1608'de yayımlanan Arithmetica Philosophica adlı kitabında gerçel katsayılara sahip n'yinci dereceden bir polinom denkleminin n tane çözümünün olabileceğini yazmıştır. Albert Girard, 1629'da yayımlanan "L'invention nouvelle en l'Algèbre" adlı kitabında n'yinci dereceden bir polinom denkleminin n tane çözümünün olduğunu yazmıştır. Dahası, bu ifadesinin "denklem eksikli olmadıkça" geçerli olduğunu ifade etmiştir. Ancak, ne demek istediğini detaylı bir şekilde açıkladığında, aslında ifade ettiği önermenin her zaman geçerli olduğuna inandığı ortaya çıkmaktadır.
Mesela, x4 = 4x − 3 eksikli değildir; ancak yine de 4 kökü vardır:
1 (iki kere), −1 + i√2, ve −1 − i√2.Yukarıdaki dengi ifadelerde de ifade edildiği gibi cebirin temel teoremini izleyen ifadelerden biri de sabit olmayan ve gerçel katsayılara sahip bir polinomun derecesi bir veya 2 olan, gerçel katsayılı polinomların çarpımı şeklinde yazılabileceğidir. Ancak, 1702'de Leibniz a'nın reel olduğu ve sıfıra eşit olmadığı x4 + a4 türündeki hiçbir polinomun bu şekilde yazılamadığını şöylemiştir. Sonraları, Bernoulli yine aynı ifadeyi bu sefer x4 − 4x3 + 2x2 + 4x + 4 polinomunu kastederek vermiştir. Ancak, 1742'de Euler'den bahsi geçen polinomun
şeklinde yazılabildiğini belirten bir mektup almıştır. (Burada α, 4 + 2√7 sayısının kareköküdür.)![]()
Euler ayrıca,
olduğundan da bahsetmiştir.![]()
Jean le Rond D'Alembert teoremi kanıtlama ihtiyacı hisseden ilk matematikçiydi ve teoremi tamamen analitik amaçla kanıtlamaya çalışmıştı; ancak verdiği kanıt eksikti.Teoremi ilk kanıtlama girişimi 1746'da d'Alembert tarafından yapılmıştır; ancak kanıtı eksikti. Kanıtın sorunlarından biri de Puiseux teoremi olarak da bilinen bir teoremi varsaymasıdır ki bu teorem bu kanıtın yapılmaya tarihten 100 yıl sonra kanıtlanmıştır. Dahası, bu kanıt da cebirin temel teoremini varsayar. Teoremi kanıtlama girişimi euler tarafından (1749'da), de Foncenex tarafından (1759'da), Lagrange tarafından (1795'de) yapılmıştır. Bu dört girişimin hepsi de Girard'ın ifadesine dayanmaktadır.
18'inci yüzyıl sonunda, köklerin varlığını varsaymayan iki kanıt yayınlandı. Bunlardan biri James Wood tarafından verilmişti ve genel çerçevede cebirsel bir kanıttı; ancak zamanında pek de önemsenmedi. Wood'un verdiği kanıtın aynı zamanda cebirsel bir açığı vardı. Diğer kanıt ise Gauss tarafından 1799'da verilen kanıttı ve genel çerçevede geometrik bir kanıttı; ancak topolojik bir açığı vardı. Bu açık, Alexander Ostrowski tarafından 1920'de kapatılmıştır. Tamamen titizce hazılanmış bir kanıt Argand tarafından 1806'da verilmiştir ve ilk defa burada cebirin temel teoremi gerçel katsayılı polinomlardan değil de karmaşık katsayılı polinomlardan bahsederek ifade edilmiştir. Gauss, daha sonra biri 1816'da ve diğeri de ilk verdiği kanıtın değişik bir hali olmak üzere 1849'da iki kanıt daha yayımlamıştır.
Teoremi ve kanıtını içeren ilk kitap Cauchy'nin "Cours d'analyse de l'École Royale Polytechnique" (1821) adlı kitabıdır. Argand'ın kanıtını içermektedir; ancak Argand'a herhangi bir atıf yapılmamıştır.
Kanıtlar
Bu bölümde dahil edilen kanıtların neredeyse hepsi bir şekilde analizden en azından gerçel ve karmaşık fonksiyonların sürekliliğini kullanacak derecede faydalanmaktadır. Bazı kanıtlar türevi ve hatta analitik fonksiyonları kullanmaktadır. Bu yüzden, aslında cebirin temel teoreminin ne temel ne de tamamen cebirsel bir özelliği mevcuttur.
Teoremin bazı kanıtları sabit olmayan ve gerçel katsayılara sahip polinomların karmaşık bir köke sahip olacağını kanıtlamaktadır. Ancak, bu tür kanıtlar yine de teoremin en genel halini kanıtlamakta yeterlidir; çünkü p(z) karmaşık katsayılara sahip sabit olmayan bir polinomsa
polinomunun sadece gerçel katsayıları olacaktır. Dahası, z eğer q(z) 'yi sıfır yapan bir sayıysa yani q(z) 'nin köküyse, o zaman ya z ya da z 'nin eşleniği p(z) 'nin kökü olacaktır.![]()
Teoremin cebirsel yöntemleri kullanmayan kanıtlarının büyük bir kısmı büyüme önsavı da denilen şu gerçeğe dayanmaktadır: baskın katsayısı 1 olan n 'yinci dereceden bir polinom |z| yeterince büyükken aslında zn gibi davranır. Daha kesin bir ifade ise şöyle verilebilir:
Öyle bir R sayısı vardır ki |z| > R iken şu eşitsizlik sağlanır:
Karmaşık analizdeki kanıtlar![]()
- Kanıt 1
- Kanıt 2
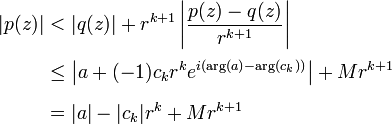
olsun. O zaman, p(z) 'yi z − z0'ın kuvvetleri halinde açıp şu şekilde yazabiliriz:Burada, cj'ler![]()
polinomunun katsayılarıdır ve k de sabit terimden sonra sıfır olmayan ilk terimin indeksini temsil etmektedir. Ama, z0 'a yeteri kadar yakın z'ler için bu polinomun asimptotik olarak
polinomuna benzer davrandığını gözlemleyebiliriz. Başka bir deyişle, ifadesi z0 noktasının belli bir komşuluğunda pozitif bir M sabiti tarafından sınırlandırılmıştır. Bu yüzden, θ0 = (arg(a) + π − arg(ck)) / k tanımlarsak ve![]()
alırsak, o zaman yeteri kadar küçük pozitif r sayısı için üçgen eşitsizliğini de kullanarakelde ederiz. r, 0'a yeteri kadar yakın olduğunda, üstte |p(z)| için bulunan bu üst sınır |a| 'dan kesinlikle daha küçük olacaktır ve bu da z0 'ın tanımıyla çelişmektedir.![]()
- Kanıt 3
- Kanıt 4
sayısını ele alalım. Burada, c(r) 0 merkezli, r yarıçaplı ve saatin tersi yöndeki çemberdir. O zaman, arguman ilkesi kullanılarak bu sayının p(z) 'nin 0 merkezli ve r yarıçaplı açık daire içinde sahip olduğu sıfır sayısı N'ye eşit olduğu elde edilir. r > R olduğu için bu aynı zamanda p(z) 'nin toplam sıfır sayısına eşittir. Diğer taraftan, n/z 'nin c(r) boyunca alınan integralinin 2πi 'ye bölünmesiyle n sayısı elde edilir. Ama, o zaman bu iki sayı arasındaki fark şöyle olur:![]()
Sağdaki integralin içinde bulunan rasyonel ifadenin payını derecesi en fazla n − 1 iken, paydanın derecesi ise n + 1 dir. Bu sebeple, yukarıdaki ifadedeki farkı temsil eden sayı, r sonsuza giderken 0'a yaklaşmaktadır. Ancak, bu sayı aynı zamanda N − n sayısına eşittir. O zaman, N = n olmalıdır.![]()
- Kanıt 5
A, nxn lik karmaşık bir kare matris olsun ve In de nxn lik birim matris olsun.
resolvent fonksiyonunu ele alalım. R(z) karmaşık düzlemde tanımlı ve matrislerin vektör uzayında değerler olan bir meromorf fonksiyondur. A 'nın özdeğerleri, kesinlikle R(z) 'nin kutuplarıdır. Varsayımımızdan dolayı A 'nın özdeğeri olmadığı için, o zaman R(z) tam fonksiyon olur ve Cauchy integral teoremi sayesinde![]()
elde ederiz. Diğer taraftan, R(z) 'yi geometrik seri olarak açarsak![]()
elde ederiz. Bu formül, yarıçapı ||A|| (A'nın operatör normu) olan kapalı diskin dışında geçerlidir. Bu halde, r > ||A|| alalım. O zaman,![]()
elde edilir. Burada sadece toplamdaki indeksin k = 0 olduğu durumda integralin değeri 0 olmaz. Bu bir çelişkidir. O yüzden, A'nın özdeğeri vardır.![]()
Tanrı varsa eğer, ruhumu kutsasın... Ruhum varsa eğer!

Cebirin Temel Teoremi (D'Alembert-Gauss Teoremi)

