Ziyaretçi
Elips
Vikipedi, özgür ansiklopedi

Elips, verilen iki noktaya (F1, F2) uzaklıkları toplamı sabit olan noktaların geometrik yeri. Verilen bu iki noktaya elipsin odakları denir. Elips, aynı zamanda bir koni ile bir düzlemin ara kesitinden ibaret olan kapalı ikinci dereceden bir eğridir.
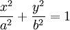
Elips, şekli ve geometrik özellikleriyle çok eski yıllarda bile bilinmekteydi. Elips, sabit bir noktaya ve verilen bir doğruya uzaklıklarının oranı birden küçük bir sayıya eşit olan noktalarının geometrik yeridir. Denklemi x²+y²=a² olarak verilen bir dairenin koordinatlarının b/a oranında büyütülmesiyle veya küçültülmesiyle elipsin denklemi,
Elips üzerindeki bir noktayı odaklarına birleştiren doğruların meydana getirdiği açının açı ortayları elipsin teğet ve normalini meydana getirir. Elipsin alanı
Güneş sisteminde gezegenlerin yörüngeleri odaklarından birinde güneş bulunan birer elipstir. Çember elipsin özel bir şekli olarak düşünülebilir; çemberde iki odak üst üste çakışmıştır.
Vikipedi, özgür ansiklopedi
Sponsorlu Bağlantılar
Elips

Elips, verilen iki noktaya (F1, F2) uzaklıkları toplamı sabit olan noktaların geometrik yeri. Verilen bu iki noktaya elipsin odakları denir. Elips, aynı zamanda bir koni ile bir düzlemin ara kesitinden ibaret olan kapalı ikinci dereceden bir eğridir.
Elips, şekli ve geometrik özellikleriyle çok eski yıllarda bile bilinmekteydi. Elips, sabit bir noktaya ve verilen bir doğruya uzaklıklarının oranı birden küçük bir sayıya eşit olan noktalarının geometrik yeridir. Denklemi x²+y²=a² olarak verilen bir dairenin koordinatlarının b/a oranında büyütülmesiyle veya küçültülmesiyle elipsin denklemi,
olarak bulunur. Elipsin 2a büyüklüğünde büyük (büyük ekseni) ve 2b büyüklüğünde küçük ekseni mevcuttur. Elips bunları çap kabul eden küçük ve büyük çemberleri arasında kalır.
Elips üzerindeki bir noktayı odaklarına birleştiren doğruların meydana getirdiği açının açı ortayları elipsin teğet ve normalini meydana getirir. Elipsin alanı
Elipsin çevresi eliptik integral ve eliptik fonksiyonlar yardımıyla elde edilir. Yaklaşık olarak'dir.
alınabilir. Elipsin çizilmesinde takip edilecek yollardan biri, odak noktalarını tesbit edilecek bir ipi bir kurşun kalem ucu ile gergin tutarak kalemi hareket ettirmektir.
Güneş sisteminde gezegenlerin yörüngeleri odaklarından birinde güneş bulunan birer elipstir. Çember elipsin özel bir şekli olarak düşünülebilir; çemberde iki odak üst üste çakışmıştır.

Elips
'dir. 

