e Sayısı veya Euler Sayısı
Vikipedi, özgür ansiklopedi
e sayısı veya Euler sayısı, matematik, doğal bilimler ve mühendislikte önemli yeri olan sabit bir reel sayıdır. Bu sabit için birbirine eşdeğer pek çok tanım verilebilir; bunlardan bazıları aşağıda sıralanmıştır. e sayısı aşkın bir sayıdır, dolayısıyla irrasyoneldir, ve tam değeri sonlu sayıda rakam kullanılarak yazılamaz. Yaklaşık değeri şöyledir:
Tarih
e sabitine dolaylı olarak ilk değinen, İskoç matematikçi John Napier olmuştur. Napier, 1618'de logaritmalar üzerine yayımladığı bir kitabın ekinde, e sabitini kullanarak bazı hesaplar yapmıştır, fakat sabitin kendisiyle fazla ilgilenmemiştir. e sayısını gerçek anlamda ilk keşfeden Jakob Bernoulli olmuştur. Bernoulli, e sayısını 1683'te birleşik faiz problemini incelerken keşfetmiş ve bu sayının yaklaşık değerini hesaplamıştır. Sabite e ismini veren ise İsviçreli matematikçi Leonhard Euler'dir. Euler ilk olarak 1731'de Christian Goldbach'a yazdığı bir mektupta bu sabitten "e sayısı" diye bahsetmiştir. Euler öncesi ve sonrasında bu sabit için b ve c harfleri de kullanılmışsa da, sonuçta kabul edilen isim e olmuştur.
Euler e sayısını, virgülden sonra 23. basamağına kadar hesaplayabilmiştir. Günümüzde ise e sayısının milyarlarca basamağı bilinmektedir. e'nin irrasyonel bir sayı olduğu Euler tarafından, aşkın bir sayı olduğu ise Fransız matematikçi Charles Hermite tarafından kanıtlanmıştır.
Eşdeğer Tanımlar

3. e sayısı, aşağıdaki limite eşittir:
5. e sayısı, aşağıdaki integral denklemini sağlayan yegâne pozitif reel sayıdır:
Birleşik Faiz Problemi
Jakob Bernoulli, e sabitini birleşik faiz problemini incelerken keşfetmiştir. Bu problem, basit bir örnekle anlatılabilir. Elinde 1 lirası olan bir yatırımcı, parasını yılda %100 faiz veren bir bankaya yatırırsa, bir sene sonra 2 lirası olacaktır. Diğer yandan, bu yıllık faiz, %50 – %50 şeklinde yılda iki kez işlerse, yatırımcının yıl sonundaki parası (1 + 1/2)2 = 2,25 lira olacaktır. Benzer şekilde, eğer faiz yılda dört kez %25 oranında işlerse, yatırımcının yıl sonundaki parası (1 + 1/4)4 = 2,4414... lira olacak, faiz her ay %8,333... oranında işlerse yıl sonundaki para (1 + 1/12)12 = 2,6130... lira olacaktır. Faizin işleme süresini daha da kısaltırsak, her hafta işleyen faiz yıl sonunda 2,6925... lira, her gün işleyen faiz yıl sonunda 2,7145... lira verecektir.
Faizin işleme süresi kısaldıkça, yıl sonundaki para 2 ve 3 arasında belli bir değere yakınsamaktadır. Yukarıdaki 3 numaralı tanımdan da görüldüğü üzere, yakınsanan değer e sayısıdır.
Bernoulli Denemeleri
e sayısı olasılık kuramında da çeşitli şekillerde karşımıza çıkar. Örneğin bir kumarcı, kazanma şansı 1/n olan bir oyunu n kere oynarsa, yaklaşık 1/e (%36,787...) ihtimalle hiçbir seferde kazanamayacaktır; n ne kadar büyükse, hiç kazanmama ihtimali 1/e'ye o kadar yakın olur.
Kumarcının n seferde k kere kazanma olasılığı, binom dağılımına göre aşağıdaki değere eşittir:
Şapka Problemi
Bir restorana giren ve girişte şapkalarını vestiyere bırakan n tane müşteri düşünelim. Vestiyer, şapkalara etiket takmayı unutunca hangi şapkanın hangi müşteriye ait olduğunu unutuyor, ve çıkışta şapkasını isteyen her müşteriye rastgele bir şapka seçip veriyor. Bu durumda, n müşteriden hiçbirinin kendi şapkasını almaması olasılığı, aşağıdaki toplama eşittir:
Vikipedi, özgür ansiklopedi
Sponsorlu Bağlantılar
e sayısı veya Euler sayısı, matematik, doğal bilimler ve mühendislikte önemli yeri olan sabit bir reel sayıdır. Bu sabit için birbirine eşdeğer pek çok tanım verilebilir; bunlardan bazıları aşağıda sıralanmıştır. e sayısı aşkın bir sayıdır, dolayısıyla irrasyoneldir, ve tam değeri sonlu sayıda rakam kullanılarak yazılamaz. Yaklaşık değeri şöyledir:
e sayısı doğal logaritmanın tabanıdır.(Bakınız: e'nin ilk 2 milyon basamağı)
Tarih
e sabitine dolaylı olarak ilk değinen, İskoç matematikçi John Napier olmuştur. Napier, 1618'de logaritmalar üzerine yayımladığı bir kitabın ekinde, e sabitini kullanarak bazı hesaplar yapmıştır, fakat sabitin kendisiyle fazla ilgilenmemiştir. e sayısını gerçek anlamda ilk keşfeden Jakob Bernoulli olmuştur. Bernoulli, e sayısını 1683'te birleşik faiz problemini incelerken keşfetmiş ve bu sayının yaklaşık değerini hesaplamıştır. Sabite e ismini veren ise İsviçreli matematikçi Leonhard Euler'dir. Euler ilk olarak 1731'de Christian Goldbach'a yazdığı bir mektupta bu sabitten "e sayısı" diye bahsetmiştir. Euler öncesi ve sonrasında bu sabit için b ve c harfleri de kullanılmışsa da, sonuçta kabul edilen isim e olmuştur.
Euler e sayısını, virgülden sonra 23. basamağına kadar hesaplayabilmiştir. Günümüzde ise e sayısının milyarlarca basamağı bilinmektedir. e'nin irrasyonel bir sayı olduğu Euler tarafından, aşkın bir sayı olduğu ise Fransız matematikçi Charles Hermite tarafından kanıtlanmıştır.
Eşdeğer Tanımlar

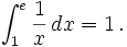
Beşinci tanıma göre, 1 < x < e için y = 1/x eğrisinin altındaki alan 1'e eşittir.1. e sayısı, aşağıdaki diferansiyel denklemi sağlayan yegâne pozitif reel sayıdır:
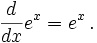
2. e sayısı, aşağıdaki diferansiyel denklemi sağlayan yegâne pozitif reel sayıdır:
Buradaki logex ifadesi, e tabanlı logaritmayı temsil etmektedir.
3. e sayısı, aşağıdaki limite eşittir:
4. e sayısı, aşağıdaki sonsuz toplama eşittir:
Buradaki n! ifadesi, n faktöriyeli temsil etmektedir: n! = 1 × 2 × 3 × ... × n.
5. e sayısı, aşağıdaki integral denklemini sağlayan yegâne pozitif reel sayıdır:
Uygulamalar![]()
Birleşik Faiz Problemi
Jakob Bernoulli, e sabitini birleşik faiz problemini incelerken keşfetmiştir. Bu problem, basit bir örnekle anlatılabilir. Elinde 1 lirası olan bir yatırımcı, parasını yılda %100 faiz veren bir bankaya yatırırsa, bir sene sonra 2 lirası olacaktır. Diğer yandan, bu yıllık faiz, %50 – %50 şeklinde yılda iki kez işlerse, yatırımcının yıl sonundaki parası (1 + 1/2)2 = 2,25 lira olacaktır. Benzer şekilde, eğer faiz yılda dört kez %25 oranında işlerse, yatırımcının yıl sonundaki parası (1 + 1/4)4 = 2,4414... lira olacak, faiz her ay %8,333... oranında işlerse yıl sonundaki para (1 + 1/12)12 = 2,6130... lira olacaktır. Faizin işleme süresini daha da kısaltırsak, her hafta işleyen faiz yıl sonunda 2,6925... lira, her gün işleyen faiz yıl sonunda 2,7145... lira verecektir.
Faizin işleme süresi kısaldıkça, yıl sonundaki para 2 ve 3 arasında belli bir değere yakınsamaktadır. Yukarıdaki 3 numaralı tanımdan da görüldüğü üzere, yakınsanan değer e sayısıdır.
Bernoulli Denemeleri
e sayısı olasılık kuramında da çeşitli şekillerde karşımıza çıkar. Örneğin bir kumarcı, kazanma şansı 1/n olan bir oyunu n kere oynarsa, yaklaşık 1/e (%36,787...) ihtimalle hiçbir seferde kazanamayacaktır; n ne kadar büyükse, hiç kazanmama ihtimali 1/e'ye o kadar yakın olur.
Kumarcının n seferde k kere kazanma olasılığı, binom dağılımına göre aşağıdaki değere eşittir:
Buna göre, n seferde k = 0 kere kazanma olasılığı, (1 - 1/n)n'dir, ve bu ifade, n büyüdükçe 1/e'ye yaklaşır.
Şapka Problemi
Bir restorana giren ve girişte şapkalarını vestiyere bırakan n tane müşteri düşünelim. Vestiyer, şapkalara etiket takmayı unutunca hangi şapkanın hangi müşteriye ait olduğunu unutuyor, ve çıkışta şapkasını isteyen her müşteriye rastgele bir şapka seçip veriyor. Bu durumda, n müşteriden hiçbirinin kendi şapkasını almaması olasılığı, aşağıdaki toplama eşittir:
Müşteri sayısı n büyüdükçe, bu toplam 1/e değerine yaklaşacaktır.![]()
Tanrı varsa eğer, ruhumu kutsasın... Ruhum varsa eğer!

Euler Sayısı veya e Sayısı
(Bakınız: 





