Arama

Çarpım türevi nasıl ispatlanır?

En İyi Cevap Var Güncelleme: 22 Nisan 2018 Gösterim: 10.192 Cevap: 1
eda - avatarı
eda
Ziyaretçi
17 Aralık 2008       Mesaj #1
eda - avatarı
Ziyaretçi
Çarpım türevi nasıl ispatlanır?
EN İYİ CEVABI Misafir verdi
Alıntıdaki Ek 66519
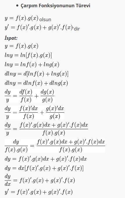
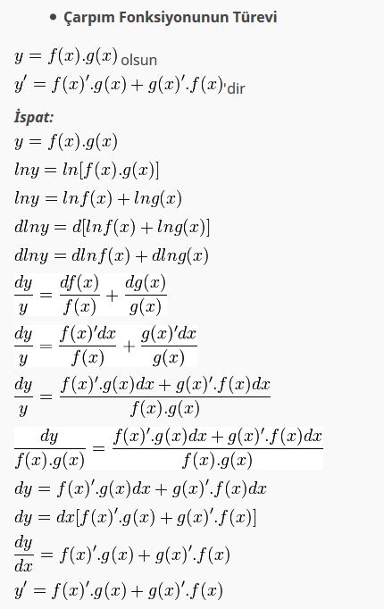
  • Bölüm Fonksiyonunun Türevi
Alıntıdaki Ek 66520
Sponsorlu Baglantilar
Son düzenleyen Safi; 22 Nisan 2018 17:23
Misafir - avatarı
Misafir
Ziyaretçi
17 Aralık 2008       Mesaj #2
Misafir - avatarı
Ziyaretçi
Bu mesaj 'en iyi cevap' seçilmiştir.
Ad:  çarpım.JPG
Gösterim: 4807
Boyut:  54.1 KB
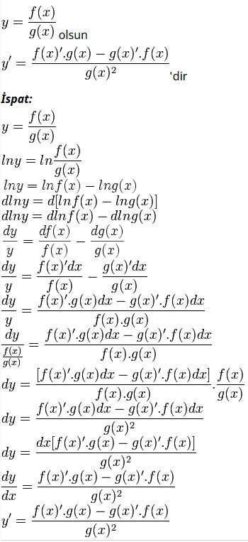
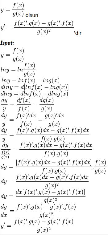
  • Bölüm Fonksiyonunun Türevi
Ad:  bolüm.JPG
Gösterim: 721
Boyut:  61.3 KB
Sponsorlu Bağlantılar
Son düzenleyen Safi; 22 Nisan 2018 18:03

Benzer Konular

1 Eylül 2013 / Misafir Cevaplanmış
11 Nisan 2015 / Quienne Soru-Cevap
16 Haziran 2011 / _Yağmur_ Matematik
21 Şubat 2010 / _KleopatrA_ Matematik
6 Ağustos 2012 / asla_asla_deme Matematik