Ziyaretçi
Kinetik enerji nasıl hesaplanır?
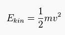
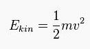
Kinetik enerji, cismin kütlesi ile hızına bağlı olup kütle ve hızın karesiyle doğru orantılıdır.Kısaca cismin hızı ve kütlesi arttıkça kinetik enerji paralel olarak artar
- Kinetik Enerji Formülü

Sponsorlu Baglantilar
Son düzenleyen Safi; 14 Ağustos 2016 23:39

Kinetik enerji nasıl hesaplanır?

