kinetik enerji

bir cismin ya da parçacığın hareket etmekte olması nedeniyle sahip olduğu enerji türü. Bir cisme kuvvet uygulanarak iş yapılır ve böylece cisme enerji aktarılırsa, cisim hızlanır ve kinetik enerji kazanır. Kinetik enerji hareketli cisimlere özgü bir özelliktir ve yalnızca cismin hareketine değil, kütlesine de bağlıdır. Hareket, ötelenme (bir yol üzerinde bir yerden başka bir yere gitme), bir eksen çevresinde dönme, titreşim ya da bunların bileşimi biçiminde olabilir.
Sponsorlu Bağlantılar
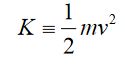
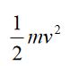
Ötelenme hareketi yapan bir cismin kinetik enerjisi, cismin kütlesi (m) ile hızının (v) karesinin çarpımının yansına (l/2 mv2) eşittir. Bu eşitlik fazla yüksek olmayan hızlar için geçerlidir; çok yüksek hızlar söz konusu olduğunda gerçek değerden küçük değerler verir. Cismin hızı ışık hızına (saniyede 3 x 10* m) yaklaştığında kütlesi de artar. Bu durumda görelilik yasalarının uygulanması gerekir.
Görelilik kuramına göre bir parçacığın kinetik enerjisi, hareket halindeki kütlesi ile durağan kütlesi arasındaki fark ile ışık hızının karesinin çarpımına eşittir.
MKS (metre-kilogram-saniye) birimler sisteminde enerji birimi joule olarak gösterilir. Saniyede 1 metrelik bir hızla hareket eden ve kütlesi 2 kg olan bir cismin kinetik enerjisi 1 joule olur. CGS (santimetre-gram-saniye) sisteminde ise enerji birimi ergdir (1 erg=10~7 joule). Uçan bir sivrisineğin kinetik enerjisi yaklaşık olarak 1 erge eşittir. Özel durumlarda kullanılan başka enerji birimleri de vardır; örneğin, temel parçacıklar söz konusu olduğunda daha da küçük bir birim olan elektronvolt kullanılır.
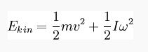
Dönme hareketi yapan cisimlerde, kütleye karşılık gelen büyüklük, eylemsizlik momentidir; ötelenme hızına ise açısal hız karşılık gelir. Dönme kinetik enerjisi, eylemsizlik momenti (/) ile açısal hızın (a>) karesinin çarpımının yarısına, yani 1 değerine eşittir.
Bir cismin ya da sistemin toplam kinetik enerjisi, çeşitli hareket türlerinden ileri gelen kinetik enerjilerin toplamına eşittir.
kaynak: Ana Britannica
Son düzenleyen Safi; 16 Ağustos 2016 03:34
Bir bildiğim varsa hiç bir şey bilmediğimdir. (:

Kinetik Enerji Nedir? Kinetik Enerji Hakkında Genel Bilgiler








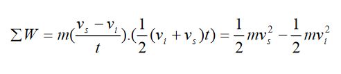
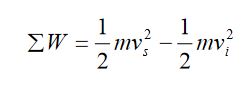
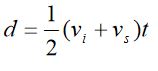
(ivme sabit olduğundan ortalama hızı kullanabiliriz)
(ivme tanımından)
niceliği parçacığın hareketi ile ilgili enerjiyi temsil eder. Bu niceliğe Kinetik Enerji denir.








