Çember ve Çemberin Özellikleri
Çember: Sabit bir noktaya eşit uzaklıkta noktaların kümesine çember denir.
Sponsorlu Bağlantılar

çemberin iç dış bölgeleri

Çemberin içinde kalan noktaların oluşturduğu bölge çemberin iç bölgesi, dışında kalan noktaların oluşturduğu bölge çemberin dış bölgesidir.
DAİRE : Çember ile çemberin iç bölgesinin birleşimine daire denir.
Çember kapalı bir eğri, daire ise bir düzlem parçasıdır.
Çemberin yalnızca uzunluğu, dairenin ise alanı ve çavre uzunluğu vardır.
KESEN:

Bir çemberin üzerindeki iki noktadan geçen doğruya kesen denir.
KİRİŞ:

Kesenin çemberi kestiği noktalar arasında kalan parçasına kiriş denir. kiriş Merkezden geçen kirişe çap denir. Çap aynı zamanda bir çemberin en uzun kirişidir.
Bir çemberde merkezden eşit uzaklıktaki kirişlerin uzunlukları eşittir. Merkeze yakın kiriş daha uzundur.
TEĞET:

Çemberi bir noktada kesen doğruya teğet denir. Aşağıdaki şekilde d doğrusu, K noktasından çembere teğet geçmektedir.teğet
ÇEMBERDE YAYLAR
Çember üzerindeki iki nokta arasında kalan parçaya çember parçası, çember yayı veya kısaca yay denir.

Bir çemberde eşit uzunluktaki kirişleri gören yayların uzunlukları eşittir.

MİNÖR VE MAJÖR YAY (Büyük ve Küçük Yay)

Merkez açının kenarlarının çemberi veya daireyi kestiği noktaların arasındaki büyük çember yayına majör (büyük) çember yayı, küçük çember yayına minör (küçük) çember yayı denir.
Merkez açının gördüğü yay minör yaydır.
Çemberde minör yayın ölçüsü ile majör yayın ölçüsü toplamı 360º dir.
ÖRNEK : Bir çemberde majör yayın minör yaya oranı 8’dir. Buna göre minör yayı gören merkez açının ölçüsünün kaç derece olduğunu bulalım.
Çözüm

minör soru Minör yayın ölçüsünü 1x ile gösterirsek majör yayın ölçüsü 8x olur.
Bu iki yayın ölçüleri toplamı 360º olduğundan; 8x + x = 360º
9x = 360º
x = 40º (minör yayı)
Minör yayının ölçüsü merkez açının ölçüsüne eşit olduğundan, merkez açısı da 40 derecedir.
ÇEMBERDE AÇILAR
1. MERKEZ AÇI
Köşesi çemberin merkezinde ve ölçüsü 0º ve 180º arasında olan açıya merkez açı denir. Merkez açının iç bölgesinde kalan çember parçasına merkez açının gördüğü yay denir.
Merkez açının ölçüsü, gördüğü yayın ölçüsüne eşittir.

Aynı yayı gören çevre açının ölçüsü, merkez açının ölçüsünün yarısıdır.
ÖRNEK

Çözüm : Çevre açı ve merkez açı aynı BC yayını görmektedir.
Bu nedenle BAC çevre açısı, BOC merkez açısının yarısıdır.
80 ÷ 2 = 40º dir.
2. ÇEVRE AÇI
Köşesi çember üzerinde olan açıya çevre açı denir. Çevre açının iç bölgesinde kalan çember parçasına çevre açının gördüğü yay denir.
Çevre açının ölçüsü, gördüğü yayın ölçüsünün yarısına eşittir.

Aynı yayı gören çevre açıların ölçüleri eşittir.

Çapı gören çevre açının ölçüsü 90 derecedir.

Çap çemberi iki eş parçaya böler.
AC yayı = 360º ÷ 2 = 180º
Çevre açı gördüğü yayın yarısına eşittir.
m(ABC) = 180º ÷ 2 = 90º
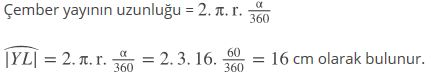
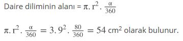
ÇEMBER PARÇASININ UZUNLUĞU

VİDEO DERSİ
Son düzenleyen Safi; 4 Mart 2017 00:08
Tanrı varsa eğer, ruhumu kutsasın... Ruhum varsa eğer!

Çember ve Daire





'deki birim çemberin tanımladığı daireye birim daire adı verilir ve D(0,1) ile gösterilir. Burada 0 'dan kasıt
formülüyle bulunur. 


şeklinde gösterilir.
şeklinde gösterilir.
gösteririz ve AB yayının ölçüsünü
olarak gösteririz.
şeklinde gösterebiliriz. 






































