Matematikte Seri (Sonsuz Seri)
Vikipedi, özgür ansiklopedi
Seri, bir dizi olmak üzere
toplamıdır.
Bir seri kısaca,
Bir serinin bütün terimleri pozitifse, seriye pozitif terimli seri; negatifse negatif terimli seri; bir pozitif bir negatif ise almaşık seri veya alterne seri adı verilir.
Dizilerde ve serilerde yakınsaklık kavramı çok önemlidir. Bir serinin sonsuz teriminin toplamı belli bir sayı ise, bu seriye yakınsak seri denir. Diğer taraftan bir seri dizisi olduğundan ve genel terimin limiti mevcut olan bir dizi yakınsak olacağından
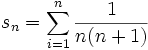
Bir serinin yakınsaklığını araştırmak için, Sn toplamının için limitine bakılır. Sonlu bir sayı bulunursa, seri yakınsaktır denir. Mesela
Harmonik seri olarak bilinen
Vikipedi, özgür ansiklopedi
Sponsorlu Bağlantılar
Seri, bir dizi olmak üzere
toplamıdır.Bir seri kısaca,
şeklinde gösterilir.
Bir serinin bütün terimleri pozitifse, seriye pozitif terimli seri; negatifse negatif terimli seri; bir pozitif bir negatif ise almaşık seri veya alterne seri adı verilir.
s0 = a0, s1 = a0 + a1, s2 = a0 + a1 + a2, ...toplamlarına serinin kısmi toplamları,
(s0, s1, ..., sn, ...)dizisine de kısmi toplamlar dizisi denir. Bir seri dizisi olarak da tanımlanabilir. Bu dizi yakınsak ise seri de yakınsaktır.
Dizilerde ve serilerde yakınsaklık kavramı çok önemlidir. Bir serinin sonsuz teriminin toplamı belli bir sayı ise, bu seriye yakınsak seri denir. Diğer taraftan bir seri dizisi olduğundan ve genel terimin limiti mevcut olan bir dizi yakınsak olacağından
yani kısmi toplamlar dizisi yakınsak olan seri de yakınsaktır.
Bir serinin yakınsaklığını araştırmak için, Sn toplamının için limitine bakılır. Sonlu bir sayı bulunursa, seri yakınsaktır denir. Mesela
serisinde
toplamı,
yazılarak
bulunur. Limiti alındığında s=1 bulunduğundan verilen seri yakınsaktır denir.
Harmonik seri olarak bilinen
serisi ise Sn toplamı bulunamadığı için ıraksaktır.
serisinin de belli bir toplamı olmadığı için ıraksaktır.
Tanrı varsa eğer, ruhumu kutsasın... Ruhum varsa eğer!

Matematikte Seri (Sonsuz Seri)









