Ziyaretçi
Faraday Michael

(d. 22 Eylül 1791, Newington, Surrey - ö. 25 Ağustos 1867, Hampton Court, Surrey, İngiltere)
Sponsorlu Bağlantılar
19. yüzyılın en büyük bilim adamlarından biri olan Faraday, elektromagnetik indüklemeyi, diyamagnetizmayı ve magnetik alanın ışığın kutuplanma düzlemini döndürdüğünü bulmuş, elektrolizin temel yasalarını ortaya koymuş, klor gazını ilk kez sıvılaştırmayı başarmış, elektrik motorunu ve dinamoyu icat etmiştir. Faraday’m deneysel ve kuramsal bulguları James Clerk Maxwell’in ortaya koyduğu elektromagnetizma kuramına temel oluşturmuştur.
Gençliği.
Faraday’m babası Ingiltere’nin kuzeyinden 1791 başında Newington köyüne (bugün Güney Londra’nın bir bölümü) iş aramak amacıyla gelmiş bir demirci idi. Annesi, Faraday’m zorluklarla dolu çocukluk döneminde ona duygusal yönden büyük destek olmuş sakin ve akıllı bir köylü kadındı. Babaları çoğu zaman hasta olan ve sürekli bir iş bulmakta güçlük çeken Faraday ve üç kardeşinin çocukluğu yarı aç yarı tok geçti. Aile, Sandemancılar adlı küçük bir Hıristiyan tarikatının üyesiydi. Faraday yaşamı boyunca bu inançtan güç almış, doğayı algılama ve yorumlamada bu inancın etkisi altında kalmıştır.
Faraday çok yetersiz bir eğitim gördü; bütün eğitimi kilisenin Pazar Okulu’nda öğrendiği okuma yazma ve biraz hesaptan ibaretti. Küçük yaşta gazete dağıtıcısı olarak çalışmaya başladı, 14 yaşında ciltçi çırağı oldu. Ciltlenmek üzere getirilen kitapları okuyarak bilgisini genişletmeye başladı. Encyclopcedia Britannica'mn üçüncü baskısındaki elektrik maddesinden özellikle etkilendi. Eski şişeler ve hurda parçalardan yaptığı basit bir elektrostatik üreteçten yararlanarak deneyler yapmaya başladı. Gene kendi yaptığı zayıf bir volta pilini kullanarak elektrokimya deneyleri gerçekleştirdi.
Londra’daki Kraliyet Enstitüsü’nde Sir Humphry Davy tarafından verilen kimya konferansları için bir bilet elde etmesi Faraday’m yaşamında dönüm noktası oldu. Konferanslarda tuttuğu notlan ciltleyerek iş isteyen bir mektupla birlikte Davy’ye gönderdi. Bir süre sonra laboratuvara yardımcı olarak giren Faraday, kimyayı çağının en büyük deneysel kimyacılarından biri olan Davy’nin yanında öğrenmek fırsatını elde etmiş oldu.
Faraday 1812’de Davy’nin yanında çalışmaya başladı. O dönemde Davy araştırmalannı hidroklorik asit üzerinde yoğunlaştırmış ve bu maddenin asit özelliğinin, asit molekülünün fiziksel yapısından kaynaklandığı sonucuna ulaşmıştı. Davy, 18. yüzyılda Dalmaçyalı bilim adamı Boscovich’in atomların, çekme ve itme kuvvetlerinden oluşan alanlarla çevrelenmiş birer matematiksel nokta olduğu yolundaki kuramından da etkilenerek, elementlerin ve bileşiklerin kimyasal özelliklerinin, noktasal atom kümelerini çevreleyen kuvvet örüntüsünün bir sonucu olduğu görüşünü geliştirdi. Bu atom ve moleküllerin bir özelliği de, bunları bir arada tutan “bağ”lann kırılması sağlanıncaya kadar önemli ölçüde gerilme altında kalabilmeleriydi. Bu atom kuramının yanı sıra gerilme kavramı da, Faraday’m kimyaya ve elektriğe ilişkin görüşlerinin biçimlenmesinde önemli bir yer tutacaktı.
Faraday 1820’de Davy’nin yanındaki yardımcılık görevinden ayrıldığında kimyaya tümüyle egemendi. Ayrıca kimyasal çözümlemede ve laboratuvar tekniklerinde büyük ustalık kazanmıştı; kuramsal bilgi ve görüşleri de bağımsız bilimsel araştırmalar yürütebilecek bir düzeyde idi.
Kimyaya katkıları.
Faraday önceleri kimyacı olarak ünlendi. Analitik kimya alanındaki ünü nedeniyle mahkemelere bilirkişi olarak çağrılmaya başladı, ayrıca onu izlemek için gelen geniş dinleyici topluluklarının ödediği ücretler Kraliyet Kurumuna önemli mali destek sağladı. 1820’de karbonla klorun iki bileşiğini (C2Cİ6 ve C2CI4) ilk kez elde etti; bu bileşikleri etilendeki hidrojenin yerine klor koyarak oluşturan Faraday, böylece ornatma (yer değiştirme) tepkimesini laboratuvarda ilk kez gerçekleştirmiş oluyordu (bu tür tepkimeler, daha sonraları, Jöns Jacob Berzelius’un kimyasal bileşim kuramına karşı çıkılmasında rol oynayacaktır). 1825’te aydınlatmada kullanılan gazlar üzerindeki araştırmaları sırasında benzeni ilk kez elde etti ve tanımladı. 1820’lerde çelik alaşımları üzerindeki araştırmaları bilimsel metalürji ve metalografinin temellerinin oluşturulmasına yardımcı oldu.
Teleskoplarda kullanılan optik camın niteliğini yükseltmek amacıyla Londra’daki Royal Society için yaptığı bir araştırmada çok yüksek kırma indisli bir cam elde etmeyi başardı, bu araştırmanın sonucu olarak da 1845’te diyamagnetizmayı keşfetti. 1821’de Sarah Bamard’la evlenen Faraday, Kraliyet Enstitüsü’nün dairelerinden birine yerleşerek fizikte devrim yaratacak olan elektrik ve magnetizma üzerindeki deneysel çalışmalarına başladı.
Elektromagnetik dönme hareketi.
Hans Christian Orsted 1820’de bir telden geçen elektrik akımının tel çevresinde bir magnetik alan oluşturduğunu bulmuştu. Fransız fizikçi Andre-Marie Ampere, tel çevresinde oluşan magnetik kuvvetin dairesel olduğunu, gerçekte de tel çevresinde bir magnetik silindir oluştuğunu gösterdi. Dairesel bir kuvvetle o zamana değin hiç karşılaşılmış değildi ve bu buluşun önemini ilk kavrayan Faraday oldu. Soyutlanmış bir magnetik kutup elde edilebiür ve akım taşıyan bir telin yakınına konursa, telin çevresinde sürekli olarak bir dönme hareketi yapması gerekecekti. Faraday üstün yeteneği ve deneysel çalışmadaki ustalığıyla bu görüşü doğrulayan bir aygıt yapmayı başardı (bak. çizim). Elektrik enerjisini mekanik enerjiye dönüştüren bu aygıt, ilk elektrik motoru idi.

Bu buluş, Faraday’ı elektriğin doğası üzerinde düşünmeye yöneltti. Elektriğin, tel içinde suyun borudan akmasına benzer biçimde akan maddesel bir akışkan olduğu görüşüne katılmıyordu; tersine, elektriğin, iletken içinde oluşan gerilmeler aracılığıyla iletilen bir titreşim ya da kuvvet olduğu görüşündeydi. Elektromagnetik dönme hareketini bulduktan sonraki ilk deneyleri, içinde elektrokimyasal ayrışma oluşturulan bir çözeltiden kutuplanmış ışık geçirerek, moleküller arasında elektrik akımının yol açtığına inandığı gerilmeleri gözlemeye yönelikti. 1820’ler boyunca üzerinde çalıştığı bu konuda bir sonuç elde etmeyi başaramadı.
Elektromagnetik indükleme.
1831’de Charles Wheatstone ile birlikte, bir başka titreşim olgusu olan sesin incelenmesi konusu üzerinde çalışmaya başladı. Keman yayı sürtülerek titreştirilen bir demir levha üzerine serpilmiş ince toz parçacıklarının oluşturduğu örüntüler (Chladni şekilleri) özellikle ilgisini çekiyordu. Bu olgu dinamik bir etkinin statik bir sonuç doğurabileceğini ortaya koyuyordu; Faraday içinden elektrik akımı geçen bir telde de benzer bir olayın oluştuğu kanısındaydı. Bir demir levha üzerine serpilmiş tozlann, bu levhanın yakınındaki bir başka levhaya keman yayı sürtüldüğünde de benzer örüntüler oluşturması Faraday’ı özellikle etkiledi. En önemli buluşu olan elektromagnetik indüklemeye bu akustik indükleme olayını incelemekle ulaştığı sanılmaktadır. Bu buluş 29 Ağustos 1831’de gerçekleşti.(Bakınız Dinamo Nedir?) Kalın bir demir halkanın bir tarafına yalıtılmış telden bir sargı saran Faraday, bu sargının uçlarını bir bataryaya; demir halkanın öteki tarafına sardığı sargının uçlarını da bir galvanometreye bağladı. Batarya devresinin kapatılması anında bir “dalga” oluşacağını ve bunun da ikinci devredeki galvanometrede bir sapmaya yol açacağını düşünüyordu. Birincil (primer) devreyi kapattığında gerçekten de galvanometre ibresinin sıçradığını gözlemledi. Birincil devredeki akım, ikincil devrede bir akım indüklemişti. Birincil devreyi açtığında ise, galvanometre ibresinin bu kez aksi yönde saptığını gördü. Elektrik akımının kesilmesi de, ikincil devrede eşit değerde ama ters yönde bir akım indüklüyordu. Faraday, bu olayı, tel içindeki parçacıkların, bir tür gerilme olarak düşündüğü ve “elektrotonik” durum adını verdiği durumlarına bağladı. Bir elektrik akımının ortaya çıkması, böyle bir gerilme durumunun oluşmasının ya da yok olmasının sonucuydu. Elektrotonik durum varsayımını doğrulayacak deneysel bir kanıt ortaya koyamamasına karşın Faraday, bu görüşe hep bağlı kaldı ve bu görüş sonraki çalışmalarında belirleyici rol oynadı.
1831 güzünde Faraday indükleme akımının nasıl oluştuğunu araştırmaya başladı. İlk deneylerinde birincil devreden geçen akımla ortaya çıkan bir elektromıknatıs söz konusuydu. Bu kez bir sabit mıknatıs kullanarak elektrik akımı oluşturmayı denedi ve bir bobin (tel sargı) içine bir sabit mıknatısın sokulması ya da çıkarılması durumunda bobinde bir akım indüklendiğini gözledi. Bir mıknatısın çevresinde, mıknatısın üzerinde tutulan bir kartona serpilmiş demir tozlan aracılığıyla görülür kılınabilen kuvvetlerin varlığını göz önüne alan Faraday, bu “kuvvet çizgileri”nin mıknatısı çevreleyen ortamdaki (bir başka deyişle havadaki) gerilme çizgileri olduğunu düşündü ve mıknatısların oluşturduğu elektrik akımına ilişkin yasayı buldu; Akımın şiddeti, iletkeni birim zamanda kesen kuvvet çizgilerinin sayısıyla orantılıydı. Güçlü bir mıknatısın kutupları arasında döndürülen bir bakır diskin merkezine ve çevresine değdirilen iki tel arasında sürekli bir elektrik akımı elde edilebileceğini, çünkü diskin dış tarafının ortasına göre daha çok sayıda kuvvet çizgisi tarafından kesileceğini gören Faraday, böylece ilk dinamoyu gerçekleştirmiş oldu. Bu aygıt, elektrik motorunun da ilk örneği sayılabilir, çünkü diske değen tellere elektrik akımı verilerek diskin dönmesi sağlanabilir.
Elektroliz yasaları.
Faraday bu deneyleri gerçekleştirip sonuçlarını bilim dünyasına sunarken, elektriğin farklı biçimlerde ortaya çıkan türlerinin niteliği konusunda kuşkular belirdi. Elektrikli yılanbalığınm ve öteki elektrikli balıkların saldığı, bir elektrostatik üretecin verdiği, bir pilden ya da bu yeni elektromagnetik üreteçten elde edilen elektrik “akışkan”ları birbirlerinin aynı mıydı? Yoksa bunlar farklı yasalara uyan farklı akışkanlar mıydı? Faraday bunların akışkan olmadıkları ama aynı kuvvetin değişik biçimleri olduğu inanandaydı, ne var ki bu özdeşlik deneysel olarak gösterilememişti. Bu düşünce, onu, bütün elektrik türlerinin nitelikleri bakımından tümüyle özdeş olduğunu ve kesinlikle özdeş etkiler ortaya çıkardığını kanıtlamaya yöneltti. Bu amaçla 1832’de uzun ve yorucu bir deneyler dizisine başladı. Bu deneyler elektrokimyasal ayrışım olgusunda odaklanıyordu. Pilden elde edilen ve elektromagnetik indüklemeyle ortaya çıkan elektriğin incelenmesinde bir sorun yoktu, ama statik elektrik için durum böyle değildi. Faraday araştırmalarını derinleştirince iki önemli buluş gerçekleştirdi. Elektriksel kuvvet kimyasal molekülleri, o güne değin sanıldığı gibi, uzaktan etkileyerek ayrıştırmıyordu.
Moleküllerin ayrışması, iletken bir sıvı ortamdan akım geçmesiyle ortaya çıkıyordu; bu, akım bir pilin kutuplarından gelse de, ya da örneğin havaya boşalıyor olsa da, böyleydi. İkinci olarak, ayrışan madde miktarı çözeltiden geçen elektrik miktarına doğrudan bağımlıydı. Bu bulgular Faraday’ı yeni bir elektro- kimya kuramı oluşturmaya yöneltti. Buna göre, elektriksel kuvvet, molekülleri bir gerilme durumuna (elektrotonik durum) sokuyordu. Bu kuvvet, molekülleri bir arada tutan kuvvet alanlarını bozacak ve böylece bu alanların komşu parçacıklarla etkileşime girmesine yol açacak kadar güçlü ise, mevcut gerilme, parçacıkların gerilme çizgileri boyunca hareketleriyle giderilmiş oluyordu. Bu süreçte, değişik atom türleri birbirine zıt yönde hareket ediyordu. Geçen elektrik miktarı çözeltideki maddelerin kimyasal ilgilerine bağımlıydı.
Bu deneyler Faraday elektroliz yasaları olarak bilinen iki yasanın belirlenmesiyle sonuçlandı:
1) Bir elektroliz kabında elektrotlarda biriken madde miktarı kaptan geçen elektrik miktarı ile doğru orantılıdır,
2) belirli bir elektrik miktarının açığa çıkardığı farklı elementlerin miktarları bunların kimyasal eşdeğer ağırlıkları ile orantılıdır.
Faraday’ın elektrokimya alanındaki araştırmaları elektrostatik indükleme konusuna da ışık tuttu. Bir elektroliz kabında elektrotlarda biriken madde miktarını kaptan geçen elektrik miktarı belirlediğine göre bir yalıtkanda indüklenen elektrik miktarı yalıtkanın yapıldığı maddenin türüne neden bağımlı olmasmdı? Başka bir deyişle, her maddenin kendine özgü bir indüklenme sığası olması gerekmez miydi? Faraday, bunun gerçekten de böyle olduğunu bulacaktı.
1839’da elektriğe ilişkin yeni ve genel bir kuram geliştirdi. Buna göre, elektrik (niteliği tam olarak bilinmese de) madde içinde gerilmeler oluşmasına yol açar. Bu gerilmeler hızla ortadan kalkabiliyorsa (maddenin parçacıkları fazla zorlanmaya dayanamayıp “koparak” eski yerlerine dönebiliyorsa) gerilmenin art arda ve periyodik bir biçimde hızla oluşması, ortadan kalkması, yeniden oluşması, bir dalga hareketi gibi madde içinde ilerler. Böyle maddelere iletken adı verilir. Elektrokimyasal süreçlerde gerilmenin oluşup ortadan kalkma hızı sürece giren maddelerin kimyasal ilgileri ile orantılıdır; bu süreçlerde de elektrik akımı bir madde akışı değil, oluşan ve ortadan kalkan gerilmelerin dalga hareketidir. Yalıtkanlar ise, parçacıklarını yerlerinden koparmak için çok yüksek değerde gerilmeler gereken maddelerdir. Yalıtılmış bir yalıtkanda biriken elektrostatik yük, bu gerilmenin ölçülebilen sonucundan ibarettir. Kısacası, bütün elektriksel olaylar, madde içinde oluşan zorlanmaların sonucudur.
Sekiz yıl boyunca aralıksız süren deneysel ve kuramsal çalışmaların sonunda 1839’da sağlığı bozulan Faraday, bunu izleyen altı yıl boyunca yaratıcı bir etkinlik gösteremedi. Araştırmalarına ancak 1845’te yeniden başlayabildi.
Yaşamının sonraki yılları.
Faraday, bilimsel çalışmalarının başlangıcından beri, doğadaki kuvvetlerin birliğine inanmıştı. Onun görüşüne göre doğadaki bütün kuvvetler tek bir evrensel kuvvetin değişik görünümlerinden başka bir şey değildi ve bu nedenle de bu kuvvetler birbirlerine dönüştürülebil- meliydiler. Bu görüşten kaynaklanan kimi düşüncelerini 1846’da Kraliyet Enstitüsü’ndeki “Thoughts on Ray Vibrations” (Işın Titreşimleri Üzerine Düşünceler) konferansında açıklamıştı. Özellikle noktasal atomlar ve bunların sonsuza uzanan kuvvet alanları üzerinde durmuş, atomlara eşlik eden elektriksel ve magnetik kuvvet çizgilerinin ışık dalgalarının yayılması için gerekli ortamı oluşturabileceğini belirtmişti. Yıllar sonra Maxwell, elektromagnetizma kuramını Faraday’ın bu düşüncelerine dayanarak kuracaktı.
Faraday 1845’te araştırmalarına yeniden başlayınca uzun yıllar boyu kafasından atamadığı konuyu, elektrotonik durum varsayımını ele aldı. Bu olgunun varlığına kesinlikle inanıyor, ama bunu ortaya çıkaracak deneysel yöntemi bulmayı başaramadığını düşünüyordu. İçinden elektriksel kuvvet çizgileri geçen bir maddedeki moleküller arasında oluştuğuna inandığı gerilmeleri belirlemek amacıyla giriştiği deneyler yine başarısızlıkla sonuçlandı. Bu sırada genç bir İskoçyalı bilim adamı, William Thomson (sonradan Lord Kelvin), Faraday’a, onun elektrik ve magnetizma üzerindeki makalelerini okuduğunu, kendisinin de böyle bir gerilmenin var olduğu görüşünde olduğunu belirten bir mektup yazdı ve ona, magnetik alanların elektrik alanlarına oranla çok daha güçlü bir biçimde elde edilmesinin olanaklı olduğundan, deneylerinde magnetik kuvvet çizgilerini kullanmasını salık verdi.
Faraday bu görüşü benimsedi. 1820’lerde geliştirmiş olduğu yüksek kırma indisli optik camdan düzlemsel olarak kutuplanmış bir ışık demeti geçirdi, camı da magnetik kuvvet çizgileri ışık demetine paralel olacak biçimde, güçlü bir elektromıknatısın kutuplan arasına yerleştirdi. Deney bu kez başa- nlı oldu. Işığın kutuplanma düzlemi, magnetik alanın etkisiyle dönme gösteriyor, bu da cam moleküllerinin bir zorlanmaya uğradığı anlamına geliyordu. Deneyi sürdüren Faraday bir kez daha umulmadık bir sonuçla karşılaştı: Işık demetinin doğrultusu değiştirildiğinde kutuplanma düzleminin dönme yönü aynı kalıyordu. Faraday bu olayı gerçeğe uygun bir biçimde yorumlamayı başardı: Zorlanma cam moleküllerinde değil, magnetik kuvvet çizgilerinde oluşuyordu. Kutuplanma düzleminin dönme yönü yalnızca kuvvet çizgilerinin yönüne bağlıydı; camın bu olaydaki rolü ise yalnızca bu etkinin sezilmesine aracı olmaktan ibaretti.
Bu buluş Faraday’ın kuvvetlerin birliğine olan inancını pekiştirdi. Bütün maddelerin magnetik alandan etkilenmesi gerektiği görüşüyle yeni deneylere girişti. Bu görüş gerçekten de doğrulandı. Demir, nikel, kobalt ve oksijen gibi maddelerde kristal ya da molekül yapıları, uzun eksenleri magnetik alan doğrultusunu alacak biçimde yönleniyor, başka kimi maddelerde ise bu yönlenme magnetik alana dik olacak biçimde gerçekleşiyordu. Faraday, birinci türden olan maddeleri paramagnetik, ikinci türden olanları da diyamagnetik olarak adlandırdı. Paramagnetik maddeler magnetik alanın daha yoğun olduğu, diyamagnetik maddeler ise daha zayıf olduğu bölgelere doğru hareket ediyordu. Araştırmalarını sürdüren Faraday, paramagnetik maddelerin magnetik kuvvet çizgilerini çevrelerindeki ortama oranla daha iyi, diyamagnetik maddelerin ise daha kötü geçiren maddeler olduğu sonucuna vardı. 1850’de uzay ve kuvvet konusunda tümüyle değişik ve yeni bir görüş ortaya koydu. Uzay, içinde yalnızca nesnelerin ve kuvvetlerin yer aldığı bir boşluktan ibaret değildi, tersine, elektriksel ve magnetik gerilmeleri taşıyabilen bir ortam niteliğindeydi. Enerji, kuvvetlerin kaynaklandığı parçacıklarda konumlanmış değildi, tersine bu parçacıkları çevreleyen uzayda yer alıyordu. Faraday’ın bu görüşleriyle alan kuramı doğmuş oluyordu. Maxwell’in sonradan belirttiği gibi, kendisinin elektriksel ve magnetik alanlara ilişkin matematiksel kuramının temelleri Faraday’m bu düşüncelerinden kaynaklanmıştı; onun bu konudaki katkısı Faraday’m düşüncelerini, klasik alan denklemleri biçiminde matematiksel bir yapıya kavuşturmak olmuştu.
1855’ten sonra Faraday’m zihinsel gücü azalmaya başladı. Ara sıra deneysel çalışmalar yaptığı oluyordu. Kütleçekiminin de magnetizma gibi başka bir kuvvete, büyük olasılıkla elektriksel kuvvete dönüştürülebileceği kanısını taşıdığından, ağır bir cismi yükseğe kaldırarak bunun bir elektriksel etkiye yol açıp açmadığını araştırdı. Sonuç olumsuz oldu. Royal Society bu sonuçları yayımlamayı reddetti. Sonraki yıllarda zihinsel gücünde, ilerleyen yaşının etkisi iyice belirginleşti. Kraliçe Victoria, bilime büyük katkılarını göz önüne alarak Faraday’a, Hampton Court’ta bir ev bağışladı, ayrıca kendisine “sir” unvanı vermek istedi. Faraday, yaşamının sonuna değin sade bir vatandaş olarak kalmak istediği gerekçesiyle “sir” unvanını kabul etmedi. 1867’de ölen Faraday, Londra’daki Highgate Mezarlığı’ na gömüldü.
Faraday’m yapıtları arasında Chemical Manipulation (1827; Kimyasal Yöntemler), Experimental Researches in Electricity (1839-55, 3 cilt; yb 1965, 2 cilt; Deneysel Elektrik Araştırmaları), Experimental Researches in Chemistry and Physics (1859; Kimya ve Fizikte Deneysel Araştırmalar) ve On the Various Forces in Nature (1873; Doğadaki Çeşitli Kuvvetler Üzerine) anılabilir. Tutmuş olduğu günlükler 1932-36 arasında sekiz cilt olarak Faraday’s Diary (der. T. Martin; Faraday’m Günlüğü) adıyla yayımlanmıştır.
Faraday elektroliz yasaları
kimyada, elektrolitik etkilerin büyüklüklerini belirleyen nicel yasalar. İlk olarak 1833’te Michael Faraday tarafından geliştirilmiştir.
Bu yasalara göre,
1) elektrik akımının bir elektrot- elektrolit sınırında oluşturduğu kimyasal değişiklik miktarı akımdan geçen elektrik miktarıyla orantılıdır,
2) aynı miktarda elektriğin farklı maddelerde oluşturduğu kimyasal değişikliklerin miktarı bu maddelerin eşdeğer ağırlıkları ile orantılıdır.
Elektrolitik tepkimelerde bir maddenin eşdeğer ağırlığı, maddenin bir elektron kazanmasına ya da yitirmesine karşılık gelen gram formül ağırlığıdır. (Bir element için bu, atom ağırlığının değerliğ bölünmesiyle elde edilen ve gram olarak ifade edilen sayıdır.) Birim eşdeğer ağırlıkta kimyasal değişmeye yol açan elektrik miktarı 1 faraday olarak adlandırılır. Bu da 96.489±2 coulomba eşdeğerdir. Bu nedenle, örneğin erimiş magnezyum klorürün (MgCb) elektrolizinde, 1 faradaylık elektrik miktarı, eksi elektrotta 24,312/2 gram magnezyum biriktirir, artı elektrotta da 35,453 gram klor gazı açığa çıkartır.
Faraday etkisi, fizikte, bir ışık demetinin kutuplanma (polarılma) düzleminin (titreşim düzleminin), bir magnetik alanın etkisiyle dönmesi. 1845’te İngiliz fizikçi Michael Faraday bu olayı, bir magnetik alanın, blok haldeki bir camdan geçerken düzlemsel kutuplanmaya uğrayan ışık dalgaları üzerindeki etkisini incelerken gözlemiştir (Işık dalgaları birbirine dik iki düzlemde titreşir; adi ışık bazı maddelerden geçerken düzlemlerden birindeki titreşim ortadan kalkabilir, böylece düzlemsel kutuplanmış dalga ortaya çıkar.) Faraday ışığın izlediği yol ile uygulanan magnetik alanın doğrultusunun birbirine paralel olması durumunda, titreşim düzleminin döndüğünü buldu. Faraday etkisi, pek çok katı, sıvı ve gazda görülür ve magnetik alanın şiddeti, maddenin kalınlığı ve malzemeye göre değişen Verdet sabiti ile orantılıdır. Kutuplanma düzleminin dönme yönü, elektromıknatısın tellerindeki akımın yönü ile aynı olduğundan, bir ışık demetinin madde içinde ileri geri yansıtılması durumunda, düzlemin dönüşü her seferinde artar.
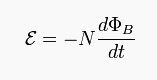
Faraday indükleme yasası
fizikte, değişen bir magnetik alan ile bu değişimin ortaya çıkardığı elektrik alanı arasındaki nicel ilişki. Michael Faraday’m 1831’de gerçekleştirdiği deneysel gözlemlere dayanılarak ortaya konmuştur. Faraday’m bulduğu ve incelediği olgu elektromagnetik indükleme olgusudur; indükleme yasası ise bunun nicel ifadesidir. Faraday bir elektromıknatısın elektrik devresine akım verilerek ya da bu akım kesilerek, elektromıknatıs çevresinde bir magnetik alan oluşturulması ya da bu alanın ortadan kaldırılması sırasında, yakında bulunan bir iletkende elektrik akımı ortaya çıktığını belirledi. Bir bobin (tel sargı) içine bir sabit mıknatıs sokulup çıkarıldığında da, mıknatıs harekette olduğu sürece, bobinde bir akım indükleniyordu. Sabit durumdaki bir mıknatısın yakınında bir iletken hareket ettirilirse, iletkende, hareket ettiği sürece bir akım oluşuyordu. Faraday bir magnetik alanın birçok magnetik kuvvet çizgisinden oluştuğunu düşünmüştü (magnetik alan içine konan küçük bir pusula bu çizgilerin doğrultusunu gösterir).
Belirli bir alandan geçen çizgilerin toplamına magnetik akı denir. Faraday, değişen bir magnetik alanın elektriksel etkilerini magnetik akının değişimine bağladı. Sonraki yıllarda, James Clerk Maxwell, değişen magnetik akının yalnızca iletkenlerde değil (bu durumda oluşan elektrik alanı elektrik yüklerini harekete geçirebilir), uzayda elektrik yüklerinin bulunmadığı bir ortamda bile bir elektrik alanı yaratacağını öne sürdü ve indüklenen elektromotor kuvvet (emk) ile magnetik akı değişiminin ilişkisini belirleyen matematiksel ifadeyi ortaya koydu. Faraday indükleme yasası olarak bilinen bu yasaya göre, bir devrede indüklenen emk’ nin değeri, devreyi kesen magnetik akının değişme hızı ile orantılıdır. Magnetik akının değişme hızı saniyede weber (Wb/sn) birimiyle ifade edilirse, indüklenen emk’nin birimi de volt (V) olur.
kaynak: Ana Britannica
BAKINIZ Dinamo Nedir? Dinamo Hakkında
Son düzenleyen Safi; 26 Ağustos 2016 00:10
Biyografi Konusu: Michael Faraday nereli hayatı kimdir.

Michael Faraday





,şeklindeki eşitlikle ifade edilebilir. Bu eşitlikte NA Avogadro sayısı (yaklaşık 6.02 x 1023 mole-1) ve q da, bir elektronun yükünün büyüklüğüdür (elektron başına yaklaşık 1.602 x 10-19 Coulomb).







