Nükleozidler
Nükleozidler, aside oldukça dayanıksız bir P-N-glikozit bağı ile pürin veya pirimidine bağlanan (pürinlerde N9 konumunda pirimidinlerde N1 konumunda) bir pentozdan (genelde D-riboz veya 2-deoksi-D-riboz) oluşmuşlardır; içerdikleri azotlu baza göre adlandırılırlar:

Nükleozidler, pürin ve pirimidin bazlarına bağlı bir pentoz içermektedirler ki beş karbonlu bir monosakkarit olan D-riboz, RNA yapısında yer alır; 2-deoksi-D-riboz ise DNA yapısında yer alır.
Nükleozidlerde N-glikozit bağı etrafındaki rotasyon ile ilgili olarak sin ve anti konformasyonları mümkündür ki doğal olarak bulunan nükleozidlerde anti konformasyonu egemendir:
Nükleotidler (Mononükleotidler)
Nükleotidler, sadece pentozun hidroksil gruplarının fosforillenmiş olduğu nükleozidlerdir:
Nükleozidlerin fosfat esterleri olan nükleotidler, yapılarında bulunan nükleozide göre
adlandırılırlar:

Nükleotidler, bir azotlu baz, bir şeker ve şekerin 5-hidroksil grubuna kovalent bağ ile bağlanmış bir veya daha çok sayıda fosfat grubu içerirler. Nükleotidler deki fosfat grupları, şekerden başlamak üzere sırasıyla a, ( ve y olarak adlandırılmaktadır. Nükleotidlerin biyosentez ve enerji dönüşümlerinde kullanılan aktif şekilleri, difosfat ve trifosfat şekilleridir:

DNA, dAMP, dGMP, dCMP ve dTMP’ın polimeridir; RNA ise AMP, GMP, CMP ve UMP’ın polimeridir. Nükleotidlerin yazılmasında kullanılan d ön takısı, 2'-deoksi-D-ribozu tanımlamaktadır.
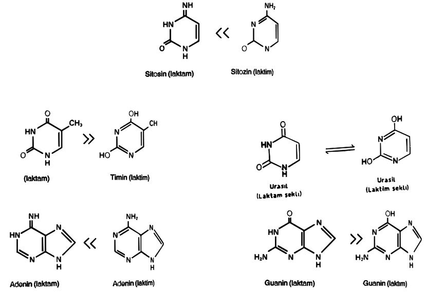
Yukarıdaki nükleotid yapılarının istisnaları vardır. Örneğin tRNA ’larda riboz, alışılagelmiş N-C bağından ziyade bazen urasilin 5. atomuna C-C bağı ile bağlanır ki alışılmışın dışındaki bu bileşik psödouridin (yrnridin) ’dir. tRNA ’lar, ek olarak TMP ve y/MP da içerirler. Bazı DNA’larda, adenin, guanin, sitozin, major bazlarının metillenmiş formları olan N6-metil adenin, 5-metil sitozin ve N2-metil guanin de bulunabilir; bazı viral DNA ’larda bazı bazlar hidroksimetillenmiş veya glikozillenmiş olabilir ki DNA moleküllerinde böyle değişmiş veya olağan olmayan bazlar, birçok durumda genetik bilgiyi koruma ve düzenleme için spesifik sinyallerdir.
Nükleotidlerin fonksiyonları
1) Nükleotidler, nükleik asitlerin alt üniteleridirler.
Pürin ve pirimidin nükleotidleri, DNA ve RNA moleküllerinin monomerik birimleri olarak görev yapmaktadırlar. Hem DNA’da hem RNA’da nükleotidler, fosfat köprüleri vasıtasıyla art arda bağlanmışlardır; özellikle bir nükleotidin 5z-hidroksil grubu sonraki nükleotidin 3z-hidroksil grubuna bir fosfodiester bağı vasıtasıyla bağlanır. Böylece, nükleik asitlerin kovalent iskeleti, birbiri ardına gelen fosfat ve pentoz kalıntılarından oluşur; karakteristik bazlar, iskelete düzenli aralıklarla eklenmiş yan gruplar durumundadırlar:

Bir nükleotid dizisi, alışkanlık olarak, 5'1 ucu solda 3'1 ucu sağda yani 5'1-->3'1 yönünde gösterilir; 5'1 ucu, 5'1 pozisyonunda bir nükleotidden yoksundur ve 31 ucu, 31 pozisyonunda bir nükleotidden yoksundur:

Kısa bir nükleotid dizisi
oligonükleotid olarak tanımlanır; 50’den fazla nükleotid içeren uzun bir nükleotid dizisi
polinükleotid olarak tanımlanır:

Hem DNA’nın hem RNA’nın nükleotid dizisinden oluşan iskeleti hidrofiliktir; şeker kalıntılarının hidroksil grupları su ile hidrojen bağları oluşturur. Polar iskeletteki fosfat grupları, pH 7’de tamamen iyonize ve negatif yüklüdürler; fosfat gruplarının negatif yükleri, genellikle proteinler, metal iyonları ve poliaminler üzerindeki pozitif yükler ile iyonik etkileşim vasıtasıyla nötralize edilirler. Bir nükleotid dizisinde bütün fosfodiester bağları zincir boyunca aynı yönde bulunurlar ki bu, nükleotid zincirine farklı 51 ve 31 uçları ile spesifik bir polarite verir.
2) Nükleotidler, hücrede kimyasal enerjiyi taşırlar.
Asit anhidrid bağları tarafından mononükleotidin pentozuna bağlanan ilave fosfatlar, adenozin difosfat (ADP) ve adenozin trifosfat (ATP) gibi nükleozid di- ve tri-fosfatları oluştururlar:

Nükleozid trifosfatlar, biyokimyasal reaksiyonların geniş bir bölümünü yürütmek için kimyasal enerji kaynağı olarak kullanılırlar. ATP ve diğer nükleozid trifosfatların hidrolizi, trifosfat yapısının kimyası nedeniyle enerji veren bir reaksiyondur. Riboz ve a fosfat arasındaki bağ bir ester bağıdır, alfa - betta ve betta - gamma bağları fosforik asit anhidridleridirler:

Ester bağlarının hidrolizi yaklaşık 14 kJ/mol enerji verdiği halde anhidrid bağlarının her birinin hidrolizi yaklaşık 30 kJ/mol enerji verir. ATP’nin hidrolizi, biyosentezlerde sıklıkla AGoı>0 olanlar gibi daha az elverişli metabolik reaksiyonları yürütür; ATP’nin hidrolizi pozitif standart serbest enerji değişikliğine sahip bir reaksiyona kenetlendiğinde uygun ürün oluşumu için toplam sürecin dengesini değiştirir:

Uridin trifosfat (UTP), guanozin trifosfat (GTP) ve sitidin trifosfat (CTP) spesifik reaksiyonlarda rol alırlar.
Timidin trifosfat (dTTP) da dahil olmak üzere nükleozid trifosfatlar, DNA ve RNA sentezinin aktiflenmiş prekürsörleri olarak da görev görürler.
3) Nükleotidler, birçok enzim kofaktörlerinin komponentleridirler.
Kimyasal fonksiyonların geniş bir bölümüne yardım eden enzim kofaktörlerinin bir grubu, yapılarının bir parçası olarak adenozin içerir. Bu faktörlerin hiçbirinde adenozin kısmı primer fonksiyona katılmaz; fakat yapıdan adenozinin çıkarılması genellikle aktivitelerinde şiddetli bir azalmaya neden olur. Yapılarında adenozin içeren başlıca koenzimler, koenzim A (CoA), nikotinamid adenin dinükleotid (NAD+ veya NADH) ve flavin adenin dinükleotid (FAD veya FADH2)’dir. Vitamin B12’nin aktif formu 51-deoksiadenozil kobalamin içerir:

Metil grubu vericisi olarak fonksiyon gören S-adenozil metiyonin (SAM) ve inorganik sülfat taşıyıcısı olarak fonksiyon gören PAPS (3-fosfoadenozin-5-fosfosülfat) da yapısında adenozin içermektedir.
4) Bazı nükleotidler sellüler haberleşmede aracıdırlar.
Hücreler, hormonlardan veya ortamdaki diğer kimyasal sinyallerden işaret alarak çevrelerine cevap verirler. Birinci haberci diye tanımlanan ekstrasellüler uyaranların hücre yüzeyindeki reseptörler ile karşılıklı etkileşimi, hücre içinde ikinci habercilerin üretimine yol açar; ikinci haberci, hücre içinde adaptif değişikliklere yol açar ve böylece hücrenin cevabı oluşur.
En yaygın ikinci habercilerden biri adenozin 3I,5I-siklik monofosfat (siklik AMP, cAMP)’tır. cAMP, plazma membranının iç yüzünde bulunan adenilat siklaz tarafından katalizlenen bir reaksiyonda ATP’den oluşturulur. Guanozin 3I,5I-siklik monofosfat (cGMP) da bir çok hücrede meydana gelir ve düzenleyici fonksiyonlara sahiptir:

Bunlardan başka, bir pürin analoğu olan allopürinol, gut hastalığının tedavisinde yaygın olarak kullanılmaktadır. Bazı pirimidin nükleotidleri de UDP-glukoz, UDP-galaktoz ve UDP- glukuronik asit gibi yüksek enerjili ara ürünler şeklinde karbonhidrat metabolizmasında; CDP-açilgliserol ve CDP-kolin şeklinde lipid metabolizmasında görev yapmaktadırlar. Ayrıca, DNA ve RNA sentezini inhibe eden nükleotid, nükleozid ve baz analogları, kanser hücrelerinin vaya bazı virüslerin çoğalmasını önlemek için kullanılmaktadırlar. Doğal nükleotidlerin yapay analogları olan ve kemoterapide kullanılan bazı nükleotidler, enzimleri inhibe etmekte veya nükleik asitlerin yapısındaki nükleotidler ile yer değiştirmekte, böylece kanser hücrelerinin ve bazı virüslerin çoğalmasını engellemektedirler.