Arama

Esneklik potansiyel enerji nedir?

En İyi Cevap Var Güncelleme: 16 Ağustos 2016 Gösterim: 86.750 Cevap: 3
Ziyaretçi - avatarı
Ziyaretçi
Ziyaretçi
15 Kasım 2008       Mesaj #1
Ziyaretçi - avatarı
Ziyaretçi
Esneklik potansiyel enerji nedir?
EN İYİ CEVABI _EKSELANS_ verdi

Esneklik Potansiyel Enerjisi Nedir – Formülü


Esneklik potansiyel enerjisi, esnek cisimlerde şekil değişikliği oluşturulması sırasında depolanan enerjidir. Buna bir örnek olmak üzere yay tamponda (sarmal bir çelik yayda) depolanan enerjiyi bulmaya çalışacağız.
Sponsorlu Baglantilar
Sarmal bir yayı, Şekildeki gibi, gererek boyunu x kadar uzattığımızı düşünelim. Yayı geren F kuvvetiyle x uzaması arasında
Alıntıdaki Ek 54160
bağıntısı bulunduğunu biliyoruz. (Hooke Yasası).

Burada k sabiti, yayın birim uzaması için gerekli olan kuvvete eşitti ve birimi de N/m idi. -Yay, x kadar uzatılırken F=kx kuvveti bir iş yapar. Kuvveti uygulayan biz olduğumuz için işi yapan da biz oluruz. Yapılan iş kadar enerji harcarız ve bu enerji gerilen (ya da sıkışan) yayda depolanır. F=kx kuvveti x’e bağlı olarak değişen bir kuvvet olduğundan yaptığı işi F-x grafiğinin altındaki alandan bulabiliriz. Grafikteki gibidir. Taralı alan, F=kx kuvvetinin yaptığı işi dolayısıyla yayda depolanan enerjiyi verir. Şekle göre;
Alıntıdaki Ek 54161
dir. O halde x kadar gerilen yayda depolanan enerji,
Alıntıdaki Ek 54162
dir. Buradaki x uzunluğu, sıkışma da olsa potansiyel enerji yine kx²/2 dir. Bu değişimin grafiği Şekildeki gibidir. Grafikte +x0 uzamayı anlatıyorsa, -x0 sıkışmayı anlatır.

Esneklik Potansiyel Enerjisi:
54140d1471304955 potansiyel enerji nedir 3

BAKINIZ Potansiyel Enerji Nedir?

Son düzenleyen Safi; 16 Ağustos 2016 04:06
Keten Prenses - avatarı
Keten Prenses
Kayıtlı Üye
15 Kasım 2008       Mesaj #2
Keten Prenses - avatarı
Kayıtlı Üye
esneklik potansiyel enerji: potansiyel enerjinin bir türüdür.
*Esneklik potansiyel enerjisi sıkıştırma veya gerilme miktarına ve maddenin esneklik özelliğine bağlıdır.
Sponsorlu Bağlantılar
*Her yayın esneklik potansiyel enerjisi farklıdır. Bu enerji yayın esnekliği , sertliği , yapıldığı maddenin cinsine ve yayın helozon sayısına bağlıdır.
*Esnekliğini kaybeden bir yay eski haline dönemez.

Yüksek atlama yapan bir sporcuyu düşünelim. Bu sporcu sırık ile koşarken kinetik enerji söz konusudur. Yüksek atlama sırasında sırık esner ve sporcunun kinetik enerjisi sırıkta, esneklik potansiyel enerjisine dönüşür. Sırık ile yükselen sporcu potansiyel enerji kazanır. Mindere düşerken ise bu sporcunun potansiyel enerjisi azalırken kinetik enerjisi artar. Kinetik enerji ile mindere çarpan sporcu minderin şeklini değiştirir hatta minderin bir miktar ısınmasını da sağlar. ilk aşamadan son aşamaya varıncaya kadar sporcunun sahip olduğu enerji türü değişmiş fakat toplam enerji miktarı aynı kalmıştır. Buna enerjinin korunumu denir. Enerjinin korunumuna göre enerji bir türden başka bir türe dönüşebilir ancak hiçbir zaman artmaz veya azalmaz.

Bir esnek yay x kadar sıkıştırılır veya uzatılırsa, yay bir esneklik potansiyel enerjisi kazanır.
Bir ucu sabit olarak bağlanmış bir yayı inceleyelim. Bu durumda yayın potansiyel enerjisi yoktur. Bir cisim v hızı ile gelerek yayı sıkıştırmaya başlasın. Cisim yaya kuvvet uygulayınca yayda cisme eşit ve zıt yönde tepki kuvveti uygular. Cisim yayı v hızıyla sıkıştırırken, hızından, dolayısı ile kinetik enerji-sinden kaybeder. Cismin kaybettiği kinetik enerjiyi yay, potansiyel enerji olarak kazanmıştır.
BEĞEN Paylaş Paylaş
Bu mesajı 1 üye beğendi.
Son düzenleyen Safi; 16 Ağustos 2016 04:02
Quo vadis?
Misafir - avatarı
Misafir
Ziyaretçi
1 Ağustos 2009       Mesaj #3
Misafir - avatarı
Ziyaretçi
Enerji" başlıklı yazımda size enerji ve enerji türleri hakkında bilgi vermiştim.Bundan sonra belli bir süre farklı enerji türlerini anlatacağım bu enerji türlerinin ilki mekanik enerji.Mekanik enerji de ikiye ayrılırotansiyel ve kinetik enerji.Mekanik enerji, potansiyel ve kinetik enerjinin toplamına eşittir.
EMekanik=Epotansiyel+Ekinetik
Enerjinin korunumu ilkesi nedeniyle cismin herhangi bir andaki mekanik enerjisiyle herhangi başka bir andaki mekanik enerjisi eşittir.
Ep1+Ek1-Ep2+Ek2=0
Potansiyel Enerji:

Cismin esnekliğinden, yada yüksekliğinden dolayı sahip olduğu enerjidir.Esneklik potansiyel enerjisi ve yerçekimi potansiyel enerjisi olmak üzere iki türü vardır.Esneklik potansiyel enerjisi cismin özelliklerine göre değişeceğinden tam bir hesaplama yolu yoktur.Ancak yapılan işin değerini ölçerek harcanan enerjiyi bulabilirsiniz.Yerçekimi potansiyel enerjisi -adı üstünde- cismin bir çekim kuvvetinin etkisindeyken ağırlığından dolayı sahip olduğu enerjidir.Yerçekimine karşı bir iş yaparak bir cismi havaya kaldırdığınızda, cisme yaptığınız iş kadar potansiyel enerji kazandırırsınız.
Ep=G.h ,
Ep=m.g.h ve
G=m.g
Buradaki Ep potansiyel enerji, G cismin ağırlığı, m cismin kütlesi, h cismin yerden yüksekliği, g kütleçekimi ivmesidir.Kütleçekimi ivmesi enleme göre 9,7m/s2 ile 9,8 m/s2 arasında değişir.Ancak bir çok yerde kütleçekimi ivmesi 9,8 veya 10 alınır.

Kinetik Enerji:
Kinetik enerji bir çeşit hareket enerjisidir.Cismin hızı ve kütlesiyle doğru orantılıdır.Bir cismin sahip olduğu kinetik enerji;
Ek=m.v2.0,5'tir.
Buradaki Ekkinetik enerji, m kütle, v2 ise cismin hızının karesidir.0,5 ise bir çeşit sabittir.Yok, ben 0,5'le bile uğraşamam diyorsanız m.v2 değerini direk 2'ye bölebilirsiniz.

Potansiyel ve Kinetik Enerjinin Birbirine Dönüşmesi:
Enerjinin korunumu nedeniyle potansiyel ve kinetik enerji birbirine dönüşebilir.Bu dönüşüm en rahat sarkaçların salınımı sırasında farkedilir.Eğimli bir yüzeyde hareket eden bir topun hareketi de buna benzer.
Ad:  1.JPG
Gösterim: 4805
Boyut:  7.6 KB
A noktasındaki topa K cismi diyelim.Bu durumda bu cismin potansiyel enerjisini EpAşeklinde gösterebiliriz. Cismin hızının uygulanan bir kuvvet nedeniyle 0 olduğunu farzedersek kinetik enerji o anda sıfırdır.A noktasının yerden yüksekliği (h) 5 m, kütlesi 2kg, kütleçekimi ivmesini de 9,8 alırsak potansiyel enerjisi 98 Jul olur.Cisme uygulanan kuvvetin yok olduğunu ve cismin ağırlığı nedeniyle ivme kazanarak harekete başladığını farzedelim.C noktası yerden, daha doğrusu deniz seviyesinden 0m yüksekteyse potansiyel enerjisi sıfırdır. Yere düşüş sırasında kütle değişemeyeceğine göre, hız da 98m/s olursa(ki olması gerkir) cismin sahip olduğu kinetik enerji (yani EkC)yine 98 Jul'dür.Cisim B noktasına yükselirken potansiyel enerji artar ve B noktasında yeniden 98 Jul olur.Ancak böyle bir ortamda çoğu zaman sürtünme kuvveti de olacağından mekanik enerji zamanla ısı enerjisine dönüşür.Bu nedenle cisim durur.

Lunapark Eğlencesi!
Pek çok kişi lunaparklarda havada bulunan trenlerin elektrik enerjisiyle çalıştığını düşünür.Oysa ki bu trenler enerjinin korunumu ilkesiyle çalışır.Bir düşünelim:Trenler ilk önce belli bir mesafeye taşınır.Taşındıkları yükseklikte bir potansiyel enerjisi olur.Bir kuvvet uygulanarak tren harekete başladığında potansiyel enerji giderek kinetik enerjiye dönüşür.Şimdi trenimiz gelebileceği en alçak seviyeye gelsin.Trenimizin tekrar yükselebilecek kadar kinetik enerjisi vardır.Ancak düşüş sırasında sürtünme nedeniyle oluşan başka enerji dönüşümleri ve burada tam olarak açıklayamadığım bazı sebepler gözönüne alındığında cisim yeniden yükselebileceği nokta, harekete başladığı noktadan daha düşük olmalıdır.
BEĞEN Paylaş Paylaş
Bu mesajı 1 üye beğendi.
Son düzenleyen Safi; 16 Ağustos 2016 04:02
_EKSELANS_ - avatarı
_EKSELANS_
Kayıtlı Üye
8 Aralık 2014       Mesaj #4
_EKSELANS_ - avatarı
Kayıtlı Üye
Bu mesaj 'en iyi cevap' seçilmiştir.

Esneklik Potansiyel Enerjisi Nedir – Formülü


Esneklik potansiyel enerjisi, esnek cisimlerde şekil değişikliği oluşturulması sırasında depolanan enerjidir. Buna bir örnek olmak üzere yay tamponda (sarmal bir çelik yayda) depolanan enerjiyi bulmaya çalışacağız.
Sarmal bir yayı, Şekildeki gibi, gererek boyunu x kadar uzattığımızı düşünelim. Yayı geren F kuvvetiyle x uzaması arasında
Ad:  1.JPG
Gösterim: 6349
Boyut:  8.1 KB
bağıntısı bulunduğunu biliyoruz. (Hooke Yasası).

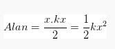
Burada k sabiti, yayın birim uzaması için gerekli olan kuvvete eşitti ve birimi de N/m idi. -Yay, x kadar uzatılırken F=kx kuvveti bir iş yapar. Kuvveti uygulayan biz olduğumuz için işi yapan da biz oluruz. Yapılan iş kadar enerji harcarız ve bu enerji gerilen (ya da sıkışan) yayda depolanır. F=kx kuvveti x’e bağlı olarak değişen bir kuvvet olduğundan yaptığı işi F-x grafiğinin altındaki alandan bulabiliriz. Grafikteki gibidir. Taralı alan, F=kx kuvvetinin yaptığı işi dolayısıyla yayda depolanan enerjiyi verir. Şekle göre;
Ad:  2.JPG
Gösterim: 6314
Boyut:  9.3 KB
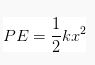
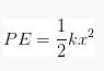
dir. O halde x kadar gerilen yayda depolanan enerji,
Ad:  3.JPG
Gösterim: 6347
Boyut:  8.7 KB
dir. Buradaki x uzunluğu, sıkışma da olsa potansiyel enerji yine kx²/2 dir. Bu değişimin grafiği Şekildeki gibidir. Grafikte +x0 uzamayı anlatıyorsa, -x0 sıkışmayı anlatır.

Esneklik Potansiyel Enerjisi:
54140d1471304955 potansiyel enerji nedir 3

BAKINIZ Potansiyel Enerji Nedir?
Son düzenleyen Safi; 16 Ağustos 2016 04:06

Benzer Konular

16 Ağustos 2016 / Misafir Fizik
20 Haziran 2014 / Misafir Cevaplanmış
16 Ağustos 2016 / Misafir Cevaplanmış
5 Ağustos 2015 / Misafir Cevaplanmış