Ziyaretçi
Potansiyel Enerji Nedir?
Potansiyel enerji, birden fazla sayıda parçacıktan oluşan bir sistemin, parçacıklar arasındaki etkileşme kuvvetlerinden kaynaklanan ve parçacıkların birbirlerine göre konumuna bağlı olan, ‘iş yapma kapasitesi’, yani enerji türü şeklinde tanımlanabilir. ‘Potansiyel’ olarak nitelendirilmesi, parçacıkların konumlarının değiştirilmesiyle, kısmen ya da tümüyle ‘açığa çıkartılabilir’ veya ‘geri alınabilir’ olmasından dolayı. Bunun bir örneği, elimizdeki bir taş parçası ve yerküre. İkisi birbirini çekiyor. Dolayısıyla bu ikili sistemin, kütlemerkezleri arasındaki uzaklığa bağlı olarak değişen miktarda potansiyel enerjisi vardır. Taşı bıraktığımızda yerçekimi kuvveti doğrultusunda hareket edeceğinden, ‘kuvvet çarpı yol’, yani yerçekimi kuvveti tarafından taşın üzerinde yapılan ‘iş’ pozitif olacak ve taş dünyaya doğru hızlanacaktır.
Sponsorlu Bağlantılar
Aslında, dünya da taşa doğru hızlanmakta, ikili sistemin ‘kütleçekimsel potansiyel enerji’si kısmen, parçaların kinetik enerjisine dönüşmektedir. Bu sırada, dış etkiler yoksa eğer ve sürtünme kuvvetlerini de gözardı edecek olursak; taşla dünyanın kinetik ve potansiyel enerjilerinin toplamı sabit kalır. Bu toplama ‘mekanik enerji’ deniyor. Ancak, dünyanın kazandığı kinetik enerji, kütlesi görece çok daha büyük olduğundan, sıfıra yakındır. Dolayısıyla, bu durum genelde, sanki sadece taşın potansiyel enerjisi değişiyormuş gibi değerlendirilir. Gerçi bu bize anlatım kolaylığı sağlar. Fakat potansiyel enerji, iki veya daha fazla sayıda parçacıklı sistemlerle ilgili bir nicelik olup, tek bir parçacık için anlamsızdır. Nitekim, örneğimizdeki taşın yakınında yerküre olmasaydı, kinetik enerjisi hala olabilir, ama potansiyel enerjisi olamazdı.
Biz de anlatım kolaylığı uğruna, sadece taştan bahsediyor olalım. Bıraktığımız taşın düşerken, kinetik enerjisi artmakta, potansiyel enerjisi azalmaktadır. Eğer tam tersine, taşı bırakmak yerine, ilk bulunduğu konumdan daha da yüksek bir konuma kaldırırsak; taş yerçekimi kuvvetine ters yönde hareket ediyor olacağından, bu kuvvet tarafından taşın üzerinde yapılan iş negatif olacaktır. Bu negatif iş, dışarıdan gelecek bir pozitif iş katkısıyla sağlanmak zorundadır. Taşı kaldıran biz olduğumuza göre, kuvvet uygulayıp iş yapmak zorunda kalırız ve kaslarımızdaki kimyasal enerjiden harcayarak taşın potansiyel enerjisini arttırıyor oluruz (ΔU=mgΔh). Bir de taşı önce yukarı kaldırıp, sonra ilk yüksekliğine geri indirdiğimizi düşünelim. Taşı kaldırırken biz onun üzerinde iş yaparız, indirirken o bizim üzerimizde iş yapar ve sonuç olarak, taş başlangıç konumuna döndüğünde, üzerinde yaptığımız toplam iş sıfır olur. Gerçi biz yine de sonuçta biraz yorulmuş oluruz. Ama bu, indirme sırasında taşın üzerimizde yaptığı işi besin olarak değerlendiremediğimizdendir. Önemli olan şu ki; yerçekimi kuvvetinin etkisi altındaki bir cismi, bir noktadan başlatıp harekete geçirerek tekrar aynı noktaya geri getirdiğimizde, yani cisme herhangi bir kapalı eğri üzerinde tur attırdığımızda, cismin üzerinde yaptığımız net iş sıfır olur. Böyle kuvvet alanlarının ‘muhafazakar’ olduğu söylenir. Yerçekimi veya daha genel olarak kütleçekimi kuvvetinin muhafazakarlığı, büyüklüğünün uzaklığın karesiyle ters orantılı olarak değişmesinin bir sonucudur (F12=Gm1m2/r122). Halbuki, örneğin sürtünme kuvvetleri muhfazakar değildir. Çünkü, hangi yönde hareket ettirirsek ettirelim, cisim üzerinde yapmamız gereken iş pozitiftir.
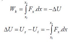
Muhafazakar kuvvetlerin yukarıdaki özelliğini şöyle de ifade etmek mümkün: Böyle kuvvetlerin etkisi altındaki bir cismi herhangi bir A noktasından diğer bir B noktasına hareket etirirken üzerinde WAB kadar iş yaptığımızı varsayalım. Bu sırada cismin potansiyel enerjisi, üzerinde yapılan iş kadar değişmiştir ve WAB pozitifse, cismin potansiyel enerjisi A’dan B’ye artmış olur (UB-UA=WAB). Şimdi cismi B’den A’ya geri getirmek istiyoruz diyelim. Bunun için hangi patikayı izlersek izleyelim, yapmamız gereken iş miktarı -WAB kadar olmak zorundadır. Ki, A-B-A kapalı eğrisi üzerindeki tur tamamlandığında yapılan net iş WAB+(-WAB)=0 olsun. Bu durum, cismi herhangi iki nokta arasında hareket ettirmek için yapılması gereken iş miktarının, izlenen patikadan bağımsız olduğu anlamına gelir. O halde, A ve B noktaları arasındaki potansiyel enerji farkı, arada izlenecek patikadan bağımsız olarak özgün bir değere sahiptir. Dolayısıyla, belli bir A noktasını, örneğin sonsuzu ‘başvuru noktası’ olarak alabilir ve bu noktadaki potansiyel enerji değerinin sıfır kabul edip, diğer herhangi bir B noktası için potansiyel enerji değerini UB-UA=WAB veya UB=UA+WAB=0+WAB=WAB olarak yazabiliriz. Böylelikle, uzayın her noktasını bir sayıyla eşleştirmek suretiyle elde edilen fonksiyona, ‘potansiyel fonksiyonu’ denir. Potansiyel fonksiyonun ‘vektör türevi’ (‘gradiyent’), sözkonusu muhafazakar kuvvetin negatifini verir (F=-gradU).
Bu kavramları uygulamak üzere yukarıdaki şekle bakalım. Elimizde yerden h yüksekliğinde bir top var. Z ekseni yukarı doğru. Potansiyel enerjinin sıfırı yerde alınmış. Dolayısıyla topun, daha doğrusu yer-top ikili sisteminin potansiyel enerjisi U=mgh. Top başlangıçta duruyor, kinetik enerjisi sıfır (KE=0). İkisinin toplamı, mekanik enerji, ME=KE+U=mgh. Serbest bıraktığımızda, top yerçekimi kuvveti doğrultusunda düşmeye başlar. Kuvvetle aynı yönde hareket ettiği için, üzerinde pozitif iş yapılmaktadır. Topun kinetik enerjisi artmakta, sistemin potansiyel enerjisi azalmaktadır. Dünya’nın kinetik enerjisinin değişmediğini varsayabiliriz. Havanın sürtünme kuvvetini de gözardı edelim. Top yere ulaştığı anda, kinetik enerjisi en büyük değerine ulaşırken (KE=mgh), topun, daha doğrusu ikili sistemin potansiyel enerjisi sıfıra iner. Mekanik enerji yine ME=mgh. Topun ideal esnek bir top olduğunu varsayalım. Yere çarptıktan sonra aynı hızla sekip, yukarı doğru tırmanmaya başlar. Bu sefer yerçekimi kuvvetine ters yönde hareket ettiğinden, kuvvet tarafından üzerinde negatif iş yapılmaktadır. Topun kinetik enerjisi azalmakta, sistemin potansiyel enerjisi artmaktadır. Top h yüksekliğine ulaştığında durur. Potansiyel enerji mgh, kinetik enerji sıfırdır. Döngü tamamlanmıştır. Top başlangıç konumuna geri döndüğünden, yerçekimi tarafından üzerinde yapılmış olan net iş sıfırdır. Mekanik enerji yol boyunca mgh olarak sabit kalmıştır. Z ekseni yönündeki birim vektör k olsun. Top herhangi bir z yüksekliğinde iken, potansiyel enerji U(z)=mgz ifadesiyle verilir. Bu potansiyel fonksiyonun ‘vektör türevi’nin negatifi –mgk olur. Yani, F=-mgk. Bildiğimiz yerçekimi kuvveti...
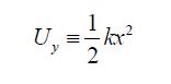
Bir de, bir yayın sıkıştırılması veya esnetilmesiyle depolanan ‘elastik potansiyel enerji’ye bakalım. Yandaki şekilde görüldüğü gibi, sürtünmesiz bir zemin üzerinde duran bir yayımız olsun. Sol ucu duvara sabitlenmiş, sağ ucunda bir bilya var. Yayın gevşek haldeki uzunluğu L, kütlesi sıfır diyelim. Bilyanın kütlesi ise m. Gerçek bir yayı sıkıştırırken üzerinde harcadığımız enerjinin bir kısmı, yayın mikroskopik yapısındaki sürtünme kuvvetleri nedeniyle ısınmaya veya plastik şekil değiştirmelere harcanır. Fakat biz yayımızın ideal esnek bir yay olduğunu varsayalım ve havanın sürtünme kuvvetini de gözardı edelim. Bilyayı elimizle tutup, yayın boyunu ΔL kadar uzattığımızda; ‘yay sabiti’ k ise, yayda U=(1/2)kΔL2 kadarlık bir potansiyel enerji depolamış oluruz. Bilya duruyor, kinetik enerji KE=0. Mekanik enerji, ME=0+U=(1/2)kΔL2. Yay tarafından elimize, sola doğru kΔL kadar bir kuvvet uygulanmaktadır. Bilyayı serbest bıraktığımızda, bilya bu kuvvetin etkisiyle sola doğru harekete geçer. Kuvvet yönünde hareket ettiğinden, kuvvet tarafından üzerinde pozitif iş yapılmaktadır. Bilyanın kinetik enerjisi artmakta, sistemin potansiyel enerjisi azalmaktadır. Yayın boyu kısaldıkça, bilyaya uyguladığı kuvvet azalır. Uzunluğu L’ye inip de yay tümüyle gevşediğinde, kuvvet sıfırdır. Bilyanın kinetik enerjisi en büyük değerine ulaşmış (KE=kΔL2/2), potansiyel enerji sıfırlanmıştır. Fakat bilya, sahip olduğu hızla sola doğru harekete devam eder. Yay sıkışmaktadır ve boyu L’nin altına indiğinden, bu sefer de sağa doğru bir kuvvet uygulamaya başlar.
Bilya kuvvete ters yönde hareket etmekte olduğundan, kuvvet tarafından üzerinde negatif iş yapılmaya başlanır. Bilyanın kinetik enerjisi azalmakta, sistemin potansiyel enerjisi artmaktadır. Yayın boyu L-ΔL’ye indiğinde, bilya durur. Kinetik enerjisi sıfıra inmiş, sistemin potansiyel enerjisi en büyük değerine ulaşmıştır. Tam bu anda, yayın bilyaya uyguladığı kuvvet kΔL kadar olup, sağa doğrudur. Bilya bu kuvvetin etkisiyle sağa doğru harekete geçer. Kuvvet yönünde hareket ettiğinden, kinetik enerjisi artmakta, sistemin potansiyel enerjisi azalmaktadır. Bilya x=0 konumuna ulaştığında, yay bir kez daha tümüyle gevşek hale gelir ve uyguladığı kuvvet sıfıra iner. Sistemin potansiyel enerjisi sıfırlanmış, bilyanın kinetik enerjisi en büyük değerine ulaşmıştır. Bilya sahip olduğu hızla sağa doğru harekete devam eder. Yay uzamaktadır ve boyu L’yi aştığından, sola doğru kuvvet uygulamaya başlar. Sağa doğru hareket eden bilyanın üzerinde negatif iş yapmaktadır. Bilyanın kinetik enerjisi azalmakta, sistemin potansiyel enerjisi artmaktadır. Yayın boyu L+ΔL’ye uzadığında, bilya durur. Kinetik enerjisi sıfıra inmiş, sistemin potansiyel enerjisi en büyük değerine ulaşmıştır. Döngü tamamlanmıştır. Bilya başlangıç konumuna geri dönmüş olduğundan, yayın yol boyunca uyguladığı kuvvet tarafından üzerinde yapılmış olan net iş sıfırdır. Mekanik enerji döngü boyunca kΔL2/2 olarak sabit kalır. X ekseni yönündeki birim vektör i olsun. Bilya herhangi bir x konumunda iken, potansiyel enerji U(x)= kx2/2 ifadesiyle verilir. Bu potansiyel fonksiyonun ‘vektör türevi’nin negatifi –kxi olur. Yani, F=-kxi. Bildiğimiz yay kuvveti...
Potansiyel enerjinin bir başka türü, ‘elektrostatik potansiyel enerji’. Yükler arasındaki elektrostatik kuvvet de, kütleçekimi kuvveti gibi, uzaklığın karesiyle ters orantılı olarak değiştiğinden (F12=q1q2/4πε0r2), muhafazakar bir kuvvettir. Aynı işaretli yüklere sahip iki parçacığı birbirine yaklaştırmaya çalıştığımızda, bir yayı sıkıştırırken olduğu gibi, potansiyel enerji depoluyor oluruz. Daha sonra serbest bıraktığımızda, parçacıklar, aralarındaki itme kuvveti nedeniyle birbirlerinden uzaklaşmaya başlar. Üzerlerindeki kuvvetlerin doğrultusunda hareket ettiklerinden, kuvvetler tarafından üzerlerinde pozitif iş yapılmakta, kinetik enerjileri artarken, sistemin potansiyel enerjisi azalmaktadır. Zıt işaretli yüklere sahip iki parçacığı birbirinden uzaklaştırmaya çalıştığımızda da, bir yayı esnetirken olduğu gibi, yine potansiyel enerji depoluyor oluruz. Daha sonra serbest bıraktığımızda, parçacıklar, aralarındaki çekme kuvveti nedeniyle birbirlerine yaklaşmaya başlar. Üzerlerindeki kuvvetlerin doğrultusunda hareket ettiklerinden, kuvvetler tarafından üzerlerinde pozitif iş yapılmakta, kinetik enerjileri artarken, sistemin potansiyel enerjisi azalmaktadır. Parçacıkları belli bir göreli konumdan başlatıp dolaştırdıktan sonra aynı konuma geri getirdiğimizde, üzerlerinde yaptığımız net iş sıfır olur, vb. Bir yayın sıkıştırılması veya esnetilmesi sırasında depolanan potansiyel enerji de aslında, toplamda nötür olan atom veya moleküllerindeki yerel yük fazlalıklarının arasındaki elektrostatik kuvvetlerden kaynaklanmaktadır.
Vural Altın
TÜBİTAK Bilim ve Teknik
Son düzenleyen Safi; 15 Ağustos 2016 01:01

Potansiyel Enerji Nedir?

















. Buradan yayın uygulayacağı kuvveti yukarıdaki ifadeyi kullanarak bulabiliriz.

