
Bir dik üçgende ise kenar uzunluklarının çarpımının yarısı dik üçgenin alanını veriyordur =>a*b/2 (a ve b dik kenar uzunluklarıdır)!
BAKINIZ Üçgenlerin çevre ve alanı nasıl hesaplanır?
Üçgenin alanı nasıl hesaplanır?
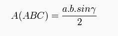
Açıdan yararlanarak alan hesaplaması![]()
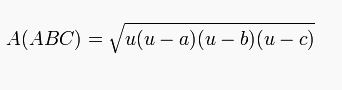
Heron Yöntemi![]()

Çevre = |AB|+|BC|+|CA|
DEVAMI Üçgenlerin çevre ve alanı nasıl hesaplanır?

| 14 Şubat 2010 / Misafir Cevaplanmış |
| 5 Nisan 2018 / Misafir Cevaplanmış |
| 12 Mayıs 2018 / matoma Cevaplanmış |
| 29 Şubat 2016 / efenaz Cevaplanmış |
| 6 Şubat 2015 / Misafir Cevaplanmış |
| Kapat Saat: 22:54 Hoş Geldiniz Ziyaretçi
Benzer Konular
Son MesajlarYenile Yükleniyor... |