Pisagor Teoremi ve Pisagor'un Matematiğe Katkıları
Samos’lu Pisagor’un, Milattan önce 596 yıllarında doğduğu tahmin ediliyor. Doğumu gibi ölüm tarihi de kesin değildir. Bugünkü adıyla bilinen Sisam Adasında 596 veya 582 yılında doğmuştur. Hayatı hakkında çok az bilgiler vardır. Bu bilgilerin birçoğu da kulaktan kulağa söylentiler biçiminde gelmiştir.
Fakat, önceleri doğduğu yer olan Sisam Adasında okuduğu, daha sonraları Mısır ve Babil’e giderek oralarda bilgilerini ilerlettiği ve ülkesine geri dönerek dersler verdiği söylenir. Kendisinden önceki bilgilerin tümünü öğrenmiş ve derlemiştir. Kendisi, bir Yunan filozofu ve matematikçisidir. Ülkesinde hüküm süren politik baskılardan kaçarak, İtalya’nın güneyindeki Kroton şehrine gelmiş ve ünlü okulunu burada açarak şöhrete kavuşmuştur. Yarı söylentilere göre felsefe okulunun kurucusudur.
Bu okul aynı zamanda dini bir topluluk ve o zamanın politikasına oldukça egemendir. Yine söylentilere göre, Pisagor’un matematik, fizik, astronomi, felsefe ve müzikte getirmek istediği yenilik, buluşlar ve ışıkları hazmedemeyen bir takım siyaset ve din yobazları halkı Pisagor’a karşı ayaklandırarak okulunu ateşe vermişler, Pisagor ve öğrencileri bu okulun içinde alevler arasında M.Ö. 500 yıllarında ölmüşlerdir. Bu nedenle Pisagor ve yaptıkları hakkında az bilgiler bize kadar gelmiştir. Pisagor’un ve öğrencilerinin yaptıklarının birçoğu bu alevler arasında yok olup gitmiştir.
Pisagor, M.Ö. altıncı yüzyılda, dünyanın güneş etrafında hareket ettiğini ileri sürdüğü zaman oldukça sert olan bir hareketle karşılaşmıştır. O tarihlerde kağıt olmadığı için, bu buluşların nasıl elde edildiği, yine bu devirlerdeki bilgilerin hangisinin Pisagor’a ait olduğu kesin olarak bilinmemektedir. Hatta, okuldaki öğretim araçlarının masa üzerindeki ıslak kum olduğu söylenir. Bu koşullar altındaki ilmi gerçeklerin tümü o zaman yazıya geçmediği için, birçoğu da zamanla kaybolup gitmiştir.

Bu nedenle, Pisagor’un okulu ve öğrencileri ile birlikte yanmalarından, eser bırakıp bırakmadığı da kesin olarak belli değildir. Geometride, aksiyomlar ve postülatlar her şeyden önce gelmelidir. Sonuçlar bu aksiyom ve postülatlardan yararlanılarak elde edilmelidir düşüncesini ilk bulan ve ilk uygulayan matematikçi Pisagor’dur. Matematiğe aksiyomatik düşünceyi ve ispat fikrini getiren yine Pisagor’dur. Çarpma cetvelinin bulunuşu ve geometriye uygulanması, yine Pisagor tarafından yapıldığı söylenir. En önemli buluşlarından biri de, doğadaki her şeyin matematiksel olarak açıklanması ve yorumlanması düşüncesidir. Yaşayış ve inanışı, ilimle açıklama ve yorumlamayı o getirmiştir.
Müzik üzerine de çalışmaları vardır. Müzik tonlarının, telin uzunluğunun oranlarına bağlı olduğunu keşfetmiş ve bunun tüm sayılara yorumlamasını düşünmüştür. Bir yerde bugünkü gerçel ekseni söylemeden düşünmüştür. Bu da, bugünkü kullandığımız gerçel eksenin sayı sisteminde kullanılmasından başka bir şey değildir. Fakat, eski Yunan matematikçileri gerçel sayıları bilmiyorlardı.
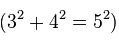
O zamanlar, rasyonel sayıları uzunlukları ölçmek için kullanıyorlardı. Bunun için belli bir birim alıyorlar ve bu birime oranlayarak iki nokta arasındaki uzunluğu ölçüyorlardı. Rasyonel sayılarla ölçülemeyen uzunluğun keşfi 2600 yıl önce Yunan matematikçileri tarafından yapılmıştır. Bu sonuçta, halen değerini koruyan ve koruyacak olan ünlü Pisagor teoremine dayanır. Pisagor teoremi, matematikteki en büyük buluşlardan biridir.
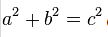
Hele zamanımızdan 2600 yıl önce bulunduğu göz önüne alınırsa, bundan daha büyük bir buluş düşünülemez. Pisagor’un adını 2600 yıldır andıran, onu ünlü yapan ve insanlığın varolduğu sürece de sonsuza kadar da andıracak meşhur teoremi şudur: Bir dik üçgende, dik kenarlar üzerine kurulan karelerin alanlarının toplamı, hipotenüs üzerine kurulan karenin alanına eşittir.
Pisagor teoremi, rasyonel sayılarla ölçülemeyen uzunluğun da varolduğunu gösterir. Örneğin, yukarıdaki şekilde olduğu gibi, dik kenarları birer birim olan dik üçgeni göz önüne alalım. Geometrik olarak, bu özel hal için, Pisagor teoremi gerçeklenir. Yani, büyük karenin alanı, dik kenarlar üzerine kurulan karelerin alanları toplamıdır. Diğer bir deyimle, x2=2 olur. Bu denklemin kökü de rasyonel olmayan karekök 2 uzunluğudur. Yunan matematikçileri gerçel sayılan bilmiyorlardı.Eudoxos tarafından bulunan oranlama yöntemini kullanıyorlardı.
Aslında, gerçel sayıların oluşumu kavramı bir ya da birçok insanın buluşu değildir. Rasyonel sayıların günlük hayatta kullanılması sırasında kendi kendine gelişmiştir. On tabanına göre sayıların sayılması ve yazılması, büyük bir olasılıkla iki eldeki parmakların sayılmasından doğmuştur. Şu sırada bile ilkel yaşam sürdüren bazı kabilelerde buna benzer sayma yöntemi vardır. On tabanına göre sayıların yazılması ve okunması, Avrupa’ya Crusades’ten sonra Arap dünyasından gelmiştir. Bunu Araplar Hintlilerden, Hintliler de Helen medeniyetinden aldılar. Yunan’lı astronomlar bu sayı sistemini, M.Ö. 1500 yıllarından beri kullanan, Babil’lilerden almışlardır. “Evrenin hakimi sayıdır. Sayılar evreni yönetiyor” sözleri de Pisagor’a aittir.
Pisagor, Archimedes’ten oldukça farklıdır. Pisagor hem mistik ve hem de matematikçidir. Mistik tarafları çoktur. Bunlar, efsaneleşmiş bir biçimde destan olarak anlatılmış, evren hakkında bu günkü gerçeklere uymayan düşünceler de ileri sürmüştür. Bunları bir tarafa bırakırsak, yine yaşadığı çağa göre matematikçi yönü çok ağır basar.
Pisagor, Mısır’da ve Babil’de çok gezdi. Rahiplerden ilim öğrendi. Çok tanrılı olan o zamanın dini inançlarını benimsedi. Yaşadığı çağı ve aldığı rahip eğitimi göz önüne alınırsa, bunda yadırganacak pek bir şey de yoktur. Oldukça doğaldır. Matematiğe ispat fikrini getiren Pisagor için, sosyal ve şahsi yaşantısı bu kadar eleştiriye değmez. Yalnız, Pisagor ve bazı Yunan filozofları, örneğin, Euclides, Eflatun ve Aristo gibi alimleri, yaşadığı devirlerde, bugün için bilinen ilmi gerçeklerde hataya düşmüşlerdir. Bu filozofların felsefeleri, modern matematiğin kurucusu Descartes (1596-1650) ve Newton (1564-1642) kadar, modern fiziğin kurucusu Galile (1564-1642) ve modern kimyanın kurucusu olan Lavoisier (1743-1794) zamanına kadar iki bin yıllık bir gecikmeye neden olmuşlardır.
Eğer Yunan’lılar Euclides, Eflatun ve Aristo yerine Archimedes’i izlemiş olsalardı, Descartes, Newton, Galile ve Lavoisier’in kurdukları modern ilme iki bin yıl önce ulaşır ve bugün içinde bulunduğumuz medeniyete iki bin yıl önce varılırdı. Yani, Archimedes’le Newton, Galile ve Lavoisier arasında tam iki bin yıllık ilmi boşluk vardır. Bu boşlukta kolay kolay doldurulamaz. Bu nedenle, Yunan’lıların medeniyetin ilerlemesine iki bin yıllık bir gecikmeye sebep oldukları bir gerçektir. Avrupa’da uzun yıllar egemen olan ve hüküm süren skolastik düşüncenin temeli Yunanistan’da atılmış ve İtalya’da geliştirilmiştir. Bu nedenle de uzun yıllar bu skolastik düşünce yenilememiştir. Bu uğurda çok sayıda ilim adamı yok edilmiştir.
Pisagor’dan önce, geometride, şekillerin aralarındaki bağlılıklar gösterilmeksizin elde edilenler, görenek ve tecrübeye dayanan bir takım kurallardı. Bu nedenle, daha önce gelen bir yetkili ne demişse o sürüp gidiyordu. Pisagor’un matematiğe ispat fikrini sokması bu yüzden çok önemlidir. O çağlarda çok tanrılı din vardı. Pisagor daha da ileri gidiyor ve “tanrı sayıdır” diyordu. Bu sayılar, 1, 2, 3…, şeklinde bugün bildiğimiz doğal sayılardı. Daha sonra, kendi kendine bir çelişkiye düştüğünü, tamsayıların hatta rasyonel sayıların bile matematiğe yetmediğini, kendi adıyla anılan Pisagor teoremiyle gördü. Buna bir süre karşı da çıktı. Fakat, sonunda bu yenilgiyi kabul etmesini de bilmiştir. Olayda karekök 2 şeklinde rasyonel bir uzunluğun olmaması problemidir. Halbuki Pisagor teoremine göre böyle bir uzunluk vardır.
Pisagor’un kuramını yıkan problem, a2=2b2 denklemini gerçekleyen a ve b gibi iki tamsayıyı bulmak olanaksızdır. Pisagor’un karşılaştığı ikinci güçlük, bir karenin kenarının köşegenine bölümünün rasyonel bir sayı olmayışıdır. Bu söylediğimiz, a2=2b2 denkleminde adı geçen olaya eşdeğer olduğu açıktır. Bu problemi bugünkü matematik diliyle söylersek, karekök 2 sayısı irrasyonel bir sayıdır. İşte, karenin köşegeni gibi basit bir uzunluk, Pisagor’un doğal sayılar kümesine meydan okuyarak, Pisagor’un ilk felsefe kuramını yalanlamıştır.
Böylece, hiç bir zaman tekrar etmeyen sonsuz ondalıklı olan irrasyonel sayı bulunmuş olunur. Pisagor’un bu buluşu, modern analizin kökünü keşfetmiştir. Bu problem bir yerde, sıfır ile iki sayısı arasını rasyonel sayılarla kaplayabilir miyiz sorusunu doğurur. Yanıt hemen hayır olacaktır. Çünkü, 0<2 olan karekök 2 sayısı rasyonel değildir. 1,41 ile 1,42 sayıları arasında rasyonel olmayan bir sayıdır.
Öyleyse, sayı doğrusu üzerindeki her bir noktaya bir gerçel sayı karşılık gelir postülatını şimdilik kabul edebiliriz. Bu görüşe Pisagor’culuk denir ve bu görüşe ileride Kronecker tarafından itiraz edileceğini hemen söyleyelim.
İşte, sayı doğrusu üzerinde rasyonel sayılarla sıfır sayısından iki sayısına sürekli olarak gitmek mümkün diyenlerle, mümkün değildir diyenler arasında uzun yıllar tartışma olmuştur. Yüzyılımızda çıkan Brouwer’e kadar bu tartışma çeşitli şekillerde karşımıza çıkmıştır.
Mümkün değil diyenler hiç bir ilerleme göstermeden yerinde saymışlar ve az hata yapmışlar fakat, mümkün diyenlerse çalışarak ve biraz da fazla hata yaparak bugünkü modern matematiğe ulaşmışlardır. Doğrunun sürekli olup olmadığı uzun yıllar tartışılmıştır.
Pisagor, bu kuramlarla, sayılar aracılığıyla ve kendi yöntemleriyle evrenin doğal dengesini ve evrendeki cisimlerin ilişkilerini açıklamaya çalışmıştır. Şüphesiz, bu görüş ve düşünüşlerin birçoğu bugün geçerli değildir. Yine de, modern matematiğin temelini Pisagor atmıştır. Halbuki, M.Ö. 500-428 yıllarında Pisagor devrinde yaşamış olan Anaksgoras, Güneş’i, Dünya’dan kat kat daha büyük kızgın bir demir kütlesi olarak tanımlamıştır. Ay ışığının Güneş’ten gelen ışınların bir yansıması olduğunu da öne süren kişi olduğu da sanılmaktadır. Bu nedenle, Pisagor mistik olduğu kadar üstün zekalı bir matematikçidir sıfatları yerinde kullanılmıştır.
Kaynak:Bilimnet