Kenarortay
Vikipedi, özgür ansiklopedi
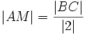
Bir üçgende ağırlık merkezi kenarortayı 2'ye 1 oranında böler. Yani bir üçgende köşeye A, kenarortayın kenarı kestiği noktaya D dersek;
Bir üçgende kenarortayın uzunluğunu bulmak için;
Dik Üçgende Kenarortay
Bir dik üçgende A noktasından hipotenüse ait çizilen kenarortay doğru parçası hipotenüsün yarısına eşittir:
Eğer bir üçgende herhangi iki kenarortay dik olarak kesişiyorsa şu bağıntılar ortaya çıkar:
Vb ve Vc dik kesişen kenarortaylar olmak üzere;
Vikipedi, özgür ansiklopedi
Sponsorlu Bağlantılar
Kenarortaylar ve ağırlık merkezi
Bir üçgende bir kenarın orta noktasını karşı köşeye birleştiren doğru parçasına o kenara ait kenarortayı denir. Kenarortayların kesiştiği noktaya o üçgenin ağırlık merkezi denir. O nokta G harfi ile adlandırılır.
Bir üçgende ağırlık merkezi kenarortayı 2'ye 1 oranında böler. Yani bir üçgende köşeye A, kenarortayın kenarı kestiği noktaya D dersek;
| AG | = 2 | GD |Kenarortay Teoremi
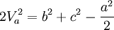
Bir üçgende kenarortayın uzunluğunu bulmak için;
bağıntısı kullanılır Yukarıdaki teoremi tüm kenarortaylar için alıp, taraf tarafa toplarsak, karşımıza;
bağıntısı çıkar.
Dik Üçgende Kenarortay
Muhteşem Üçlü
Bir dik üçgende A noktasından hipotenüse ait çizilen kenarortay doğru parçası hipotenüsün yarısına eşittir:
Bir dik üçgende dik kenarlara ait kenarortaylarının karelerinin toplamı Hipotenüse ait kenarortayın karesinin 5 katıdır:
Dik Kesişen Kenarortaylar
Eğer bir üçgende herhangi iki kenarortay dik olarak kesişiyorsa şu bağıntılar ortaya çıkar:
Vb ve Vc dik kesişen kenarortaylar olmak üzere;
Tanrı varsa eğer, ruhumu kutsasın... Ruhum varsa eğer!

Kenarortay ve Kenarortay Teoremi








