Standart Sapma
MsXLabs.org & Vikipedi, özgür ansiklopedi
Olasılık kuramı ve istatistik bilim dallarında, bir anakütle veya bir örneklem veya bir olasılık dağılımı veya bir rassal değişken için standart sapma, veri değerlerinin yayılımının özetlenmesi için kullanılan bir ölçüdür. Matematik notasyonunda genel olarak, bir anakütle veya bir rassal degişken veya bir olasılık dağılımı için standart sapma σ (eski Yunan harfi olan küçük sigma) ile ifade edilir; örneklem verileri için standart sapma için ise s veya s' (anakütle σ değeri için yansız kestirim) kullanılır.
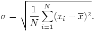
Standart sapma varyansın kare köküdür. Daha matematiksel bir ifade ile standart sapma veri değerlerinin aritmetik ortalamadan farklarının karelerinin toplamının veri sayısı -1'e bölümünün kare köküdür, yani verilerin ortalamadan sapmalarının kareler ortalamasının karekökü olarak tanımlanır. Standart sapma kavramının yayılma ölçüsü olarak kullanılmasını anlamak için ölçüm birimine bakmak gerekir. Diğer yayılma ölçüsü olan varyans verilerin ortalamadan farklarının karelerinin ortalaması olarak tanımlanır. Böylece varyans ölçüsü için veri birimlerinin karesi alınması gerekir ve varyansın birimi veri biriminin karesidir. Bu durum pratikte istenmeyen sonuçlar yaratabilir (Örneğin veriler birimi kilogram ise varyans birimi kilogram kare olur). Bundan kaçınmak icin standart sapma için varyansın kare kökü alınarak standart sapma birim veri birimi olması sağlanır ve verinin yayılımı böylece veri birimleri ile ölçülür.
Örneğin: Bir basit anakütle için kilogram birimi ile veri (4, 8, 12) olsun. Aritmetik ortalama 8 olur ve verilerin ortalamadan sapmaları (−4, 0 , 4) olur. Kare toplamlarının ortalaması olan varyans
Standart sapma genel olarak niceliksel ölçekli sayılar için en çok kullanılan verilerin ortalamaya göre yayılmasını gösteren bir istatiksel ölçüdür. Eğer bir çok veri ortalamaya yakın ise, standart sapma değeri küçüktür; eğer birçok veri ortalamadan uzakta yayılmışlarsa standart sapma değeri büyük olur. Eğer bütün veri değerleri tıpatıp ayni ise standart sapma değeri sıfırdır.
Konu Başlıkları
MsXLabs.org & Vikipedi, özgür ansiklopedi
Sponsorlu Bağlantılar
Olasılık kuramı ve istatistik bilim dallarında, bir anakütle veya bir örneklem veya bir olasılık dağılımı veya bir rassal değişken için standart sapma, veri değerlerinin yayılımının özetlenmesi için kullanılan bir ölçüdür. Matematik notasyonunda genel olarak, bir anakütle veya bir rassal degişken veya bir olasılık dağılımı için standart sapma σ (eski Yunan harfi olan küçük sigma) ile ifade edilir; örneklem verileri için standart sapma için ise s veya s' (anakütle σ değeri için yansız kestirim) kullanılır.
Standart sapma varyansın kare köküdür. Daha matematiksel bir ifade ile standart sapma veri değerlerinin aritmetik ortalamadan farklarının karelerinin toplamının veri sayısı -1'e bölümünün kare köküdür, yani verilerin ortalamadan sapmalarının kareler ortalamasının karekökü olarak tanımlanır. Standart sapma kavramının yayılma ölçüsü olarak kullanılmasını anlamak için ölçüm birimine bakmak gerekir. Diğer yayılma ölçüsü olan varyans verilerin ortalamadan farklarının karelerinin ortalaması olarak tanımlanır. Böylece varyans ölçüsü için veri birimlerinin karesi alınması gerekir ve varyansın birimi veri biriminin karesidir. Bu durum pratikte istenmeyen sonuçlar yaratabilir (Örneğin veriler birimi kilogram ise varyans birimi kilogram kare olur). Bundan kaçınmak icin standart sapma için varyansın kare kökü alınarak standart sapma birim veri birimi olması sağlanır ve verinin yayılımı böylece veri birimleri ile ölçülür.
Örneğin: Bir basit anakütle için kilogram birimi ile veri (4, 8, 12) olsun. Aritmetik ortalama 8 olur ve verilerin ortalamadan sapmaları (−4, 0 , 4) olur. Kare toplamlarının ortalaması olan varyans
olur ve kilogram kare birimi ile verilir. Standart sapma 16'nın karekökü olup 4 değerdedir ve kilogram birimi ile ölçülür.
Standart sapma genel olarak niceliksel ölçekli sayılar için en çok kullanılan verilerin ortalamaya göre yayılmasını gösteren bir istatiksel ölçüdür. Eğer bir çok veri ortalamaya yakın ise, standart sapma değeri küçüktür; eğer birçok veri ortalamadan uzakta yayılmışlarsa standart sapma değeri büyük olur. Eğer bütün veri değerleri tıpatıp ayni ise standart sapma değeri sıfırdır.
Mavi olarak gösterilen bir rassal değişken dağılımı için standart sapma değeri σ rassal değişken değerlerinin ortalama μ değeri etrafında yayılmasını gösterir.
Konu Başlıkları
- Tanımlama ve hesaplama
- 1.1 Rassal değişken için standart sapma
- 1.2 Anakütle standart sapma değerinin örneklem standart sapma kullanılarak kestirimi
- 1.3 Bir sürekli rassal değişken için standart sapma
- Açıklama ve uygulama
- 3.1 Normal dağılım gösteren veriler için kurallar
- 3.2 Çebişev'in eşitsizliği
- Standart sapma ve ortalama arasındaki ilişki
- Örnekler
Tanrı varsa eğer, ruhumu kutsasın... Ruhum varsa eğer!

Standart Sapma

değerlerini eşit olasılıkla alırsa, o rassal değişken için standart sapma şöyle hesaplanır:
, şu toplam olarak tanımlanır:
arasında olan farklar
olarak bulunur.
örneklem değerleri ve 



şöyle hesaplanır: 


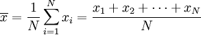
> Bu aritmetik ortalamadır.
değerini bulma:




> Bu standart sapma değeri olur.
= 5² + 2² + 11² + 12² + 3² + 6²



