ÜSLÜ SAYILARIN TARİHÇESİ
Üslü olarak verilen bazı ifadelerin gerçek değerlerini, doğrudan doğruya bulmak, matematik yönünden yapılması zor bir işlemdir. Kaynaklar, bu tür, birtakım hesaplamaları, kolaylıkla yapılmasını sağlayan, logaritmayı ilk kullananı, John Napier (1550 - 1617) olduğunu göstermekte.
Sponsorlu Bağlantılar
John Napier tarafından, bu konuda "Minifici Logaritmorum Canonis Descripto" (bir logaritma cetveli tanımı ve iki ayrı trigonometri ile bütün matematik hesaplarında kolay ve çabuk kullanılmasına genel açıklaması) adlı, zamanın bilim dili olan Latince olarak kaleme alınmış eser, ilk kez 1614 yılında Edinburg şehrinde yayınlandı. Böylece logaritma adını da John Napier koymuştur.
Bir logaritma çizelgesinin hazırlanmasında, taban olarak 1 den büyük sayı seçilebilir. Napier, çizelgesini (e) tabanına göre hazırlamıştır. Fakat çizelgeyi tamamladıktan sonra, (e) sayısını almakla, zor bir sistem ortaya koyduğunu, uygulaması sırasında farkına vardı. Daha sonraki yıllarda, 10 tabanlı, yeni bir logaritma sisteminin hesaplama işlerinde büyük kolaylıklar sağlayabileceğini düşündü. Fakat, bu yeni sisteme ait, düşündüğü temel ilkeleri, bizzat ortaya koyamadan öldü. Ömrünün son günlerinde, arkadaşı olan, İngiliz matematikçi ve astronom Henri Briggs'ten (1551 - 1630) düşüncelerinin tamamlanmasını istedi.
Henri Biggs, bu isteğe uyarak, 10 tabanına göre, bir logaritma cetveli hazırlayarak, 1617 yılında yayımlamıştır. Bu eser, 1'den 1000'e kadar olan sayıların 14 ondalıklı logaritmalarını gösterir. Henri Briggs, ilk logaritma cetvellerinin yayımından 7 yıl sonra, yani 1624 yılında; önceleri, 1'den 20.000'e daha sonra da, 90.000'den 100.000'e kadar olan sayıların 14 ondalıklı logaritmalarını kapsayan Logaritmik Aritmetik adlı bir eser daha yayımladı.
Daha sonra, Hollandalı matematikçi Adrien Vlacq, Henry Briggs'ten eksik kalan, 20.000'den 90.000'a kadar olan sayıların logaritmik değerlerini hesap etti ve cetvellerini 1626 yılında, Briggs' in adı altında, Goude'de yayımladı. Bu yeni çizelgeler, 10 ondalıklı olup, 1'den 1.000.000'a kadar sayılan , ve 0 dereceden 90 dereceye kadar olan açıların, 1'er açı dakikası aralıklı olarak, için sinüs, tanjant ve sekantın logaritma değerlerini kapsıyordu. Ayrıca, her biri 10" için, sinüs ve tanjantın logaritmalarına ilişkin bir çizelge yayımlandı. Logaritma cetvelleri üzerine eser hazırlayanlar, Adrien Vlacq' ın bu eserini temel kabul ederler.
Son düzenleyen Safi; 2 Kasım 2016 00:15
Quo vadis?

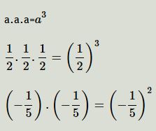
Üslü Sayılar
ifadesine üslü sayı denir.

olur.



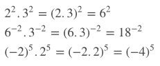
sayılarının sonucu tabanları pozitif sayı olduğu için daima pozitiftir. Kuvvetlerinin yani üssün ne olduğu önemli değildir. Negatif sayıların çift kuvvetleri pozitif, tek kuvvetleri ise negatif sayıdır. Parantezin kullanımı önemlidir.












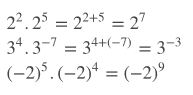
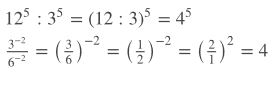
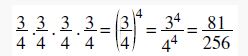
işleminin sonucunu ,üslü sayı olarak bulalım. 
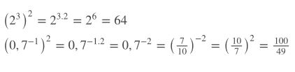
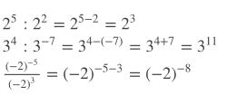
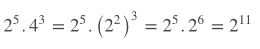
işleminin sonucunu bulalım. 
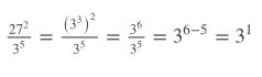
işleminin sonucunu bulalım. 



Sıfır dışındaki tüm sayıların sıfırıncı kuvveti (+1) dir.
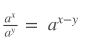
ve
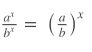
hariç üslü doğal sayılarda üs ile taban yer değiştirilirse sayının değeri de değişir.

ile ifade edilir. Bu ifadeye üslü sayı denir. 










