Disakkaritler
Disakkaritler, bir monosakkarit molekülü üzerindeki anomerik karbon hidroksil grubunun bir diğer monosakkarit molekülü üzerindeki bir hidroksil grubu ile reaksiyonlaşması sonucu oluşturulan bir O-glikozidik bağ vasıtasıyla birbirine bağlanmış iki monosakkarit molekülünden oluşmuş bileşiklerdir:

O- glikozidik bağ, bir yarı asetal ve bir alkolden bir asetal oluşumunu gösterir. Molekülünde bir serbest anomerik karbon atomu bulunan disakkaritler, monosakkaritler gibi indirgeyici özellik gösterdikleri halde molekülünde bir serbest anomerik karbon atomu bulunmayan disakkaritler indirgeyici özellik göstermezler. Maltoz, laktoz ve sellobioz indirgeyici özelliktedirler; sukroz ve trehaloz ise indirgeyici özellikte değillerdir.
Glikozidik bağlar, asit vasıtasıyla kolayca hidroliz edilebilirler, fakat baz vasıtasıyla yıkılmaya karşı dirençlidirler. Disakkaritler sulu asit ile kaynatma suretiyle ve enzimatik olarak hidroliz edildiklerinde kendilerini oluşturan monosakkaritler ortaya çıkar. Sukrozun hidrolizi sonucunda çoğu kez eşit miktarlarda glukoz ve fruktoz karışımı oluşur; bu karışım da invert şeker olarak adlandırılır.
1) Maltoz:
İki glukoz molekülünün Glc(α1→4)Glc biçiminde kondensasyonu ile oluşmuş molekül yapısına sahip bir disakkarittir. Maltoz, Malt şekeri olarak bilinir. Maltoz, serbest yarı asetal hidroksili içerdiğinden indirgeyici özelliktedir; Fehling çözeltisindeki 2+ değerlikli bakırı (Cu2+), 1+ değerlikli bakıra (Cu+) indirger; yani Fehling pozitif reaksiyon verir. Maltoz, doğada serbest halde bulunm az; bir polisakkarit olan nişastanın yapısında yer alır; nişastanın
enzimatik hidrolizinin başlıca ürünüdür. Maltoz, oldukça tatlıdır ve suda kolaylıkla çözünür.
2) Laktoz:
Bir galaktoz molekülü ile bir glukoz molekülünün Gal(pi^4)Glc biçiminde kondensasyonu ile oluşmuş molekül yapısına sahip bir disakkarittir. Laktoz, Süt şekeri olarak bilinir; önemli miktarda yalnızca sütte bulunur. Laktoz, serbest yarı asetal hidroksili içerdiğinden indirgeyici özelliktedir; Fehling çözeltisindeki 2+ değerlikli bakırı (Cu2+), 1+ değerlikli bakıra (Cu+) indirger; yani Fehling pozitif reaksiyon verir. Sütte bulunan çeşitli mikroorganizmalar, laktozu laktik asite çevirebilirler; bu da sütün ekşimesine ve kaynatıldığında kesilmesine neden olur.
Laktoz, ancak ağız yoluyla verildiği zaman vücut tarafından kullanılabilir. Ağızdan alınan laktoz, sindirim kanalında laktaz enzimi etkisiyle parçalanır. Laktaz noksanlığında, bağırsaklarda sindirilip emilemeyen laktoz, bakteriyel fermantasyon ile, asetik asit, laktik asit, propiyonik asit gibi kısa zincirli metabolitlere ve H2, CO2, CH4 gibi gazlara çevrilir; ayrıca laktoz ve laktik asidin oluşturduğu ozmotik etki ile diyare (ishal) ortaya çıkar.
3) Sukroz (Sakkaroz):
Bir glukoz molekülü ile bir fruktoz molekülünün Glc(a1^2)Fru biçiminde kondensasyonu ile oluşmuş molekül yapısına sahip bir disakkarittir. Sakkaroz, Çay şekeri veya sofra şekeri olarak bilinir. Sakkaroz, serbest yarı asetal hidroksili içermediğinden indirgeyici özellikte değildir; Fehling çözeltisindeki 2+ değerlikli bakırı (Cu2+), 1+ değerlikli bakıra (Cu+) indirgeyemez; yani Fehling negatif reaksiyon verir. Sakkaroz, doğada başlıca şeker kamışı ve şeker pancarından elde edilir; meyve ve sebzelerin çoğunda da serbest olarak bulunur; oldukça tatlı bir maddedir. Sakkaroz 200oC’ye kadar ısıtılırsa su kaybeder ve kahverengi amorf bir kütle halini alır; buna karamel denir. Sakkaroz, ancak ağız yoluyla verildiği zaman vücut tarafından kullanılabilir; sakkaroz ve glukoz, besinlerimizdeki en önemli şekerlerdir.
4) Trehaloz:
İki glukoz molekülünün Glc(a1^a1)Glc biçiminde kondensasyonu ile oluşmuş molekül yapısına sahip bir disakkarittir; indirgeyici özellikte değildir. Trehaloz, böceklerin dolaşım sıvısının büyük kısmını oluşturur; enerji depolayan bir bileşik olarak işlev görür.
5) Sellobioz:
İki glukoz molekülünün Glc(P1^a4)Glc biçiminde kondensasyonu ile oluşmuş molekül yapısına sahip bir disakkarittir; indirgeyici özelliktedir. Sellobioz, doğada serbest olarak bulunmaz; sellüloz polisakkaritinin disakkarit birimidir.
Polisakkaritler (Glikanlar)
Polisakkaritler, pek çok sayıda monosakkarit veya monosakkarit türevi molekülün art arda O- glikozid bağları vasıtasıyla bağlanması suretiyle oluşmuş molekül yapısındaki karbonhidratlardır. Doğada bulunan karbonhidratların çoğu, yüksek moleküler ağırlıklı polimerler olan polisakkaritler halindedirler.
Polisakkaritler birbirlerinden zincirleri boyunca tekrarlayan monosakkarit ünitelerinin benzerliği, bu üniteleri bağlayan bağların tipi ve dallanma derecesi bakımından farklıdırlar; buna göre homopolisakkaritler ve heteropolisakkaritler olmak üzere iki grupta incelenirler.
Homopolisakkaritler (homoglikanlar)
Homopolisakkaritler, tek tip monomerik ünite içeren polisakkaritlerdir. Bunların bazıları, yakıt olarak kullanılan monosakkaritlerin depo formları olarak işlev görürler ve depo homopolisakkaritler olarak adlandırılırlar; bazıları ise bitki hücre duvarlarında ve hayvan dış kabuklarında yapısal elemanlar olarak işlev görürler ve yapısal homopolisakkaritler olarak adlandırılırlar. Bu iki gruba girmeyen homopolisakkaritler de vardır.
Depo homopolisakkaritler
Depo homopolisakkaritler, organizmada yakıt olarak kullanılan monosakkaritlerin depo formları olarak işlev gören polisakkaritlerdir. Doğadaki en önemli depo homopolisakkaritler, bitki hücrelerinde nişasta, hayvan hücrelerinde glikojendir; her iki polisakkarit de intrasellüler olarak büyük kümeler veya granüller halinde meydana gelirler.
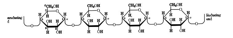
Nişasta:
Bitki hücrelerindeki depo homopolisakkarittir; amiloz ve amilopektin olmak üzere iki tip glukoz polimeri içerir:
Amiloz, (a 1--->4) bağları vasıtasıyla birbirine bağlanmış glukoz ünitelerinin dallanmamış uzun zincirlerinden oluşmuş bir glukoz polimeridir; zincirde birkaç bin glukoz kalıntısı bulunabilir ve bir ucu indirgeyicidir.
Amilopektin, (a 1--->4) bağları vasıtasıyla birbirine bağlanmış glukoz ünitelerinin uzun zincirlerinin her 24-30 glukoz kalıntısında bir dallanması suretiyle oluşmuş bir glukoz polimeridir; dallanma noktalarındaki bağ, (a 1--->6) bağıdır ve dolayısıyla molekülde bir indirgeyici uç fakat dal sayısı kadar çok sayıda indirgeyici olmayan uç vardır:
Yapısal homopolisakkaritler
Yapısal homopolisakkaritler, bitki hücre duvarlarında ve hayvan dış kabuklarında yapısal elemanlar olarak işlev gören polisakkaritlerdir; bitkilerin hücre duvarlarında sellüloz, eklem bacaklıların sert dış iskeletlerinde kitin önemlidir.
Sellüloz: (P1—>4) bağları vasıtasıyla birbirine bağlanmış glukoz ünitelerinin dallanmamış uzun zincirlerinden oluşmuş bir glukoz polimeridir:

Sellüloz, fibröz, çok sert, suda çözünmeyen bir maddedir; bitkilerin hücre duvarlarında, özellikle yaprak sapları, ağaç gövdeleri ve bitki dokularının odun kısımlarında bulunur. Sellüloz, odun kütlesinin çoğunu oluşturur; pamuk, hemen hemen saf sellülozdur. Sellülozun insanlar için besinsel değeri yoktur; sadece ruminantlar sellülozdan faydalanabilirler.
Kitin: (P1—>4) bağları vasıtasıyla birbirine bağlanmış N-asetil glukozamin ünitelerinin dallanmamış uzun zincirlerinden oluşmuş bir N-asetil glukozamin polimeridir:

Kitin, sellülozunkine benzer şekilde uzayabilen lifler oluşturur; bir milyona yakın eklem bacaklı türünün sert dış iskeletlerinin esas komponentidir ve olasılıkla doğada sellülozdan sonra en bol bulunan polisakkarittir.
İnulin: (P1—>2) bağları vasıtasıyla birbirine bağlanmış fruktoz ünitelerinin dallanmamış uzun zincirlerinden oluşmuş bir fruktoz polimeridir:

İnulin, doğada çeşitli bitkilerin köklerinde,
enginar, soğan, sarımsak gibi bitkilerin yumrularında bol miktarda bulunur; besinsel değeri yoktur.
Diğer homopolisakkaritler
Galaktoz ünitelerinden oluşan galaktanlar, mannoz ünitelerinden oluşan mannanlar, pentoz ünitelerinde oluşan pentanlar ile galakturonik ve mannuronik asit polimerleri de homopolisakkaritlerdendirler.
Agar-agar: Galaktoz ünitelerinden kurulu bir homopolisakkarit yani bir galaktandır; doğada deniz yosunlarından elde edilmektedir; bakteriyolojide kültür vasatlarının hazırlanmasında kullanılır.
Dekstranlar: Glukoz ünitelerinden oluşmuşlardır; mikroorganizmaların sakkaroz üzerine etkileri sonucu meydana gelirler. Dekstranlar, hekimlikte kan kayıplarından sonra plazma yerini tutan ya da plazma hacmini genişleten maddeler olarak, özellikle şok giderici etkileriyle önemlidirler; molekül ağırlıkları 25.000-75.000 kadar olanlar bu amaçlar için kullanılırlar; viskoziteleri yüksek, osmotik basınçları düşüktür, parçalanmaları ve kullanılmaları yavaş olduğundan dolaşım kanında saatlerce kalabilirler.
Dekstranlar, çeşitli kimyasal tekniklerle işlenerek sephadex ticari ismi altında laboratuvarlarda kolon kromatografisi ve jel filtrasyon tekniklerinde sıkça kullanılırlar; ayrıca yapay böbrek uygulamalarında önemli yararlar sağlarlar.
Mannanlar: Keçi boynuzunda, hindistan cevizinde, mayada, mantarlarda ve bakterilerde bulunur.
Pektinler: Galakturonik asit ünitelerinin a 1^6 glikozidik bağlarının en az 200 defa tekrarlamasıyla oluşmuşlardır. Pektinler, kısmen etil alkol ile esterleştikten sonra ortamı jelleştirdikl erinden, meyva konserveciliğinde yaygın olarak kullanılırlar. Pektinler, özellikle turunçgillerin meyvalarında, elma, pancar ve havucun hücre duvarlarında sellüloz ile birleşmiş olarak yer alırlar. Pektin, sıcak seyreltik asitlerle hidroliz edildiğinde pektik asit ve metanole ayrılır; heteropolisakkarit olarak da incelenir.
Heteropolisakkaritler (heteroglikanlar)
Heteropolisakkaritler, tekrarlayan iki veya daha fazla farklı tip monomerik ünite içeren polisakkaritlerdir. Heteropolisakkaritler, tüm organizmalar için ekstrasellüler destek sağlarlar. Hayvan dokularında ekstrasellüler aralık, tek tek hücreleri bir arada tutan, hücre, doku veya organlara koruma, şekil ve destek sağlayan bir matriks oluşturmak üzere birkaç tip heteropolisakkarit tarafından doldurulur. Bazı heteropolisakkaritler, ekstrasellüler salgıların yüksek viskozite ve kayganlaştırıcı özelliklerinden sorumludurlar.
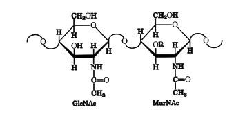
Peptidoglikan,
N-asetil glukozamin (GlcNAc) ve N-asetil muramik asit (MurNAc) ünitelerinin art arda (P1 —>4) bağları vasıtasıyla birbirine bağlanmasıyla oluşmuş heteropolisakkarittir:
Glikozaminoglikanlar (mukopolisakkaritler)
Glikozaminoglikanlar, tekrarlayan disakkarit ünitelerinin düz polimerlerinden oluşmuş bileşiklerdir. Glikozaminoglikanlarda tekrarlayan disakkarit ünitelerinde iki monosakkarit türevinden biri daima ya N-asetil glukozamin (GlcNAc) ya da N-asetil galaktozamin (GalNAc)dir; diğer monosakkarit türevi, çoğu durumda genellikle glukuronik asit (GlcUA) olan bir üronik asittir. Glikozaminoglikanlara, yapılarında bulunan üronik asitler ve asit karakterleri nedeniyle asit mukopolisakkaritler de denir. Bazı glikozaminoglikanlarda aminoşekerlerin hidroksillerinin biri veya daha fazlası sülfat ile esterleşmiştir. Bazı glikozaminoglikanlarda amino şeker ve monosakkaritler bulunur; üronik asitler bulunmaz.
Glikozaminoglikanlar, ait oldukları dokularda kısmen de olsa proteine bağlı bir şekilde ve mukoprotein halinde bulunurlar. Glikozaminoglikanlarda sülfat grupları ve üronik asit kalıntılarının karboksilat grupları, moleküle çok yüksek bir negatif yük yoğunluğu verir. Bu moleküller, çözeltide, komşu yüklü gruplar arasındaki itme gücünü en aza indirmek için uzamış bir yapı alırlar; bunun sonucu olarak da bu uzun ve ince moleküllerin çözeltilerinin viskozitesi çok yüksektir.
Hiyaluronik asit: Fizyolojik pH’da hiyaluronat halindedir; hayvansal dokuların ekstrasellüler matriksinin glikozaminoglikanıdır. Hiyaluronik asit, glukuronik asit (GlcUA) ile N-asetil- glukozamin (GlcNAc) birimlerinin P1 —>3 ve P1 —>4 bağları ile birleşmeleriyle oluşan heteropolisakkarittir:

Hiyaluronik asit, genel olarak sinoviyal sıvıda, korpus vitreumda, göbek kordonunda bulunur, bağ doku ve başka dokuların jel benzeri ana maddesinin yapısına katılır. Sinoviyal sıvıdaki hiyaluronik asit, eklem yüzeylerinin ıslak ve kaypak kalmasını sağlar. Hiyaluronik asit, dokularda metabolizma maddelerinin geçmesini sağlayan, bakteriler ve başka enfeksiyon etkenlerinin geçmesini engelleyen bir set oluşturduğu için biyolojik yönden büyük önem taşır.
Bazı patolojik bakteriler, hiyaluronidaz enzimi salgılarlar; bu enzim de hiyaluronik asitlerin glikozidik bağlarını hidroliz eder ve böylece dokular, bakterilerin yayılmasına daha uygun hale gelirler. Spermdeki benzer bir enzim de, birçok organizma ovumunun dış yüzündeki glikozaminoglikan örtüyü hidrolize eder; böylece sperm, ovuma girebilir.
Kondroitin sülfatlar: Art arda gelen glukuronik asit (GlcUA) ve N-asetil-galaktozamin sülfat (GalNAcSO4-) ünitelerinden kurulmuşlardır:

Sülfat grubu (SO4), kondroitin sülfat A’da 4.karbona bağlanmıştır; kondritin sülfat C’de ise 6.karbona bağlanmıştır.
Kondritin sülfatlar, hayvansal dokunun temel yapı maddeleri arasında yer alırlar; genellikle proteinlere bağlı olarak bulunurlar. Kondritin sülfat A, kıkırdaklarda, yetişkinlerin kemiklerinde ve korneada bulunur; kondritin sülfat C, kıkırdaklarda ve tendonlarda bulunur.
Eskiden kondritin sülfat B diye adlandırılan madde, bugün dermatan sülfat olarak bilinmektedir;
Dermatan sülfat: Art arda gelen iduronik asit (IdUA) ve N-asetil-galaktozamin-4- sülfat (GalNAcSO4-) ünitelerinden kurulmuştur:

Iduronik asit, glukuronik asitin 5-epimeridir.
Dermatan sülfat, eskiden kondritin sülfat B olarak adlandırılırdı; başlıca deride, kalp kapakçıklarında ve tendonlarda bulunur.
Keratan sülfatlar: Art arda gelen galaktoz (Gal) ve N-asetil-glukozamin-6-sülfat (GlcNAcSO4-) ünitelerinden kurulmuşlardır:

Keratan sülfatlar, proteine bağlı olarak bulunurlar. Keratan sülfat I, N-glikozid bağıyla proteine bağlanmıştır; korneada bulunur. Keratan sülfat II, O-glikozid bağıyla proteine bağlanmıştır; kıkırdakta ve kemikte bulunur.
Proteoglikanlar
Proteoglikanlar, çok büyük, proteinli agregatlardır. Bir glikozaminoglikan olan hiyalüronatın çok uzun ipliklerine yaklaşık 40 nm aralıklarla ve nonkovalent olarak iç protein moleküllerinin bağlanması ve her iç proteine de kondroitin sülfat, keratan sülfat, heparan sülfat ve dermatan sülfat gibi birçok daha kısa glikozaminoglikan molekülü bağlanmasıyla Proteoglikanlar diye bilinen makromoleküller oluşur.
Heparin ve heparan sülfat: Yapıları en karmaşık ve en tartışmalı glikozaminoglikanlardır; Glukuronik asit (GlcUA), sülfatlanmış ve asetillenmiş olabilen glukozamin (GlcN) ve iduronik asit (IdUA) içerirler. Heparan sülfat, daha çok glukuronik asit kalıntısı, daha az O- sülfat esteri, daha çok N-asetil grubu içerir.
Heparin, karaciğer, akciğer, timus, dalak, geniş çeperli damarların duvarında ve kanda bulunur; birçok hücrenin yüzeyindedir, fakat mast hücrelerinin hücre içi bileşiğidir. Heparin, antikoagulan yani kanın pıhtılaşmasını önleyici bir maddedir; kalp ve damar hastalıklarında pıhtılaşmayı önleyici olarak kullanılır.
Diğer heteropolisakkaritler
Kan grubu polisakkaritleri: Genellikle glukozamin (GlcN) ya da galaktozaminden (GalN) birisi ile basit bir monosakkaritin tekrarlanır biçimde P1—>3 ve P1—>4 glikozid bağlarıyla birleşmesi sonucu oluşmuş heteropolisakkaritlerdir. Bazen glukozamin ve galaktozamin birlikte de bulunabilir; bu yapı içinde çoğunlukla fukoz ve sialik asit de yer alır.
Kan grubu polisakkaritleri, eritrositlerde, tükürük ve mide mukusu gibi salgılarda, kist sıvılarında ve yeni doğanların dışkısında bulunurlar; az miktarda süt, sperma ve idrarda da saptanmışlardır.
Kan grubu polisakkaritleri proteinlerle birleşerek A, B, O, Rh gibi eritrosit antijenlerini oluştururlar ve kan gruplarının farklılaşmasını sağlarlar.
Arap zamkı: Bitkisel kaynaklı bir heteropolisakkarittir; hidroliz edildiğinde galaktoz, arabinoz ya da ksiloz, bazen de bunların bir karışımını verir; ramnoz ve glukuronik asit de içerir. Arap zamkı, eczacılıkta, şekercilikte ve ofset baskı tekniklerinde yaygın olarak kullanılır.
Glikoproteinler
Glikoproteinler, %50 ’den daha fazla karbonhidrat içerebilen, fakat genelde protein içeriği baskın olan bileşiklerdir:
Karbonhidrat Biyokimyası