Arama

Penisilin Nedir? Nasıl Bulunmuştur?

Güncelleme: 15 Eylül 2016 Gösterim: 20.704 Cevap: 5
ThinkerBeLL - avatarı
ThinkerBeLL
VIP VIP Üye
21 Temmuz 2009       Mesaj #1
ThinkerBeLL - avatarı
VIP VIP Üye

penisilin

Ad:  penisilin.jpg
Gösterim: 5274
Boyut:  31.9 KB

1928’de Sir Alexander Fleming tarafından bulunan ve ilaç tedavisinde yeni bir dönem açan antibiyotik. Fleming, Staphylococcus aureus adlı bakterinin kültüründe, kaza sonucunda Penicillium notatum küfüyle bulaşmış bölgelerde bakteri üremediğini gözlemledi. Kültürden ayırıp ürettiği küfün, içinde ürediği sıvıya, insanda enfeksiyon etkeni olan birçok bakteriyi öldürebilen bir madde saldığını buldu. İğneyle verilerek tedavide kullanılabilecek maddenin geliştirilmesi 1940’ta başka araştırmacılar tarafından gerçekleştirildi.
Sponsorlu Bağlantılar

Penicillium küfünün farklı türlerinin yaptığı penisilinler başlıca iki gruba ayrılabilir: Küfün mayalanma süresinde oluşan biyo-sentetik penisilinler ve 6-aminopenisilanik Penkovski, Oleg 170 asidin türevleri olan yarı sentetik penisilinler. Kimyasal yapısı değişen penisilin molekülünün özellikleri de değiştiğinden farklı enfeksiyonlarda kullanmak üzere farklı penisilin türleri bireşimlemek mümkün olmuştur. Benzilpenisilin ya da penisilin G. doğal olarak elde edilen ve klinik amaçlarla günümüzde de kullanılmakta olan tek penisilindir. Penisilin G asit ortam içinde yapısını koruyamaz, bu yüzden de midede bulunduğu sırada büyük bir bölümü yıkıma uğrar. Bu özelliği nedeniyle kas içine enjekte edilerek kullanılması gerekir, bu da ilacın yararını sınırlar. Yarı sentetik penisilinlerden bazıları aside daha fazla dayanıklı olduklarından ağızdan verilebilir.

Bütün penisilinler benzer biçimde, hücre duvarı bireşiminden sorumlu olan bakteri enzimlerini ketleyerek ve organizmaların koruyucu duvarlarını yıkan öbür enzimleri etkinleştirerek etki gösterir. Bu yüzden de hücre duvarı üretmeyen mikroorganizmalara karşı etkili değillerdir.

Penisiline duyarlı bakterilerin neden olduğu hastalıklardan bazıları boğaz enfeksiyonları, zatürree, omurilik menenjiti, gazlı kangren, difteri, frengi ve belsoğukluğudur. Penisilin, mikroorganizmanın hücre duvarının yapılabilmesi için temel önemi olan bir maddenin bireşimlenmesini önler; sonuçta hücrenin içindeki yapılar ortam değişikliklerine karşı daha duyarlılaşır. Bazı bakterilerde penisiline karşı doğal bir direnç, bazılarında da penisilin molekülünü parçalayan penisilinaz adlı bir enzim bulunduğundan antibiyotik bütün bakteriler karşısında aynı etkiyi göstermez.

Penisilinin başlıca yan etkileri deri döküntüleri, ürtiker, şişmeler ve anafilaksi ya da alerjik şoktur. Daha ılımlı olan semptomlar, kortikosteroitlerle tedavi edilmenin yanı sıra, ilaçları dönüşümlü kullanarak da önlenebilir. Penisiline karşı duyarlılık kazanmış kişilerde saniyeler ya da dakikalarla ölçülen süreler içinde ortaya çıkması olası olan anafilaktik şok durumunda, yaşamı tehdit eden süreci sona erdirmek için hemen epinefrin verilmesi gerekebilir.


BEĞEN Paylaş Paylaş
Bu mesajı 1 üye beğendi.
Son düzenleyen NeutralizeR; 15 Eylül 2016 01:09
Tanrı varsa eğer, ruhumu kutsasın... Ruhum varsa eğer!
Mira - avatarı
Mira
VIP VIP Üye
1 Temmuz 2012       Mesaj #2
Mira - avatarı
VIP VIP Üye

Penisilin


Bulunan ilk antibiyotiktir.
Sponsorlu Bağlantılar

Penisilin, 1929'da "Penicillium notatum" küfü bulaşmış bakteri kültürlerinin çoğalmadığını farkeden Alexander Fleming tarafından bulundu ve 1940'ta E.B. Chaine ile H.W. Florey tarafından tıpta kullanılabilir hâle getirildi. Penisilin, bakterilerin hücre duvarı oluşturmasını engelleyerek antibakteriyel bir faaliyet gösterir. Genellikle gram pozitif bakterilere karşı etkilidir. Tıpta belsoğukluğu, kızıl, deri iltihaplanmaları, gazlı kangren, tetanoz, frengi ve pnömoni tedavisinde kullanılır. Penisiline dayanıklı organizmalar arasında cüzama, vereme, koleraya, tifoya ve üriner sistem enfeksiyonlarına yol açanlar sayılabilir. Virüslere ve mantar enfeksiyonlarına karşı genellikle etkisizdir. Penisilin, hastaların ancak %1 ile %8'inde özellikle döküntü biçiminde alerjik tepkilere yol açar.

Çok sınırlı olsa da, penisiline aşırı duyarlı kimselerde ölüm olayları gözlenmiştir. Bunun için ilk kez penisilin tedavisi uygulanacak kimselere, derialtına enjeksiyon yoluyla "penisilin testi" yapılır. Doğal penisilinler (G,X,F ve K) kimyasal bileşimleri ve antibakteriyel etkileri bakımından kimi farklılıklar gösterir. En çok kullanılan penisilin G'dir. Sentetik olarak üretilmekle birlikte küfünün kültürlerinden üretilmesi daha ekonomiktir.

MsXLabs.org & MORPA Genel Kültür Ansiklopedisi

Son düzenleyen Safi; 10 Eylül 2016 20:02
Safi - avatarı
Safi
SMD MiSiM
10 Eylül 2016       Mesaj #3
Safi - avatarı
SMD MiSiM

Penisilin Nasıl Bulunmuştur?


Penisilin, antibiyotik grubu ilaçların ilk örneğidir. Alexander Fleming 1928'de bu ilacı bulduğunda birçok hasta için yeni bir umut ışığı doğmuştu. Çünkü doktorlar ve kimyacı­lar yıllardan beri mikrobik hastalıkların önü­nü alabilmek için hastalara zarar vermeksizin mikropları öldürebilecek bir madde arıyorlar­dı. Gerçi kireçkaymağı, iyot, arsenik ve kinin gibi bazı maddelerin mikropları öldürdüğü biliniyordu, ama bu maddeler yanlış kullanıl­dığında ya da yüksek dozda verildiğinde hastaları da zehirleyebiliyordu. Oysa penisilin normal dozlarda zehirli değildir ve bu antibi­yotiğe direnç gösteren bazı türler dışında pek çok bakteri üzerinde etkilidir.

Yalnız bazı insanların penisiline alerjisi oldu­ğundan, ilacı kullanmadan önce bir duyarlık testi yapmak gerekir.
Penisilin bir rastlantı sonucunda bulunmuş­tur. Fleming'in stafilokok grubundan bakteri­leri ürettiği besi yerine havadan küçük bir küf parçacığı düşmüştü. Bu mantarlar, özel ola­rak hazırlanmış besi ortamında hızla çoğaldı ve birkaç gün sonra Fleming küf mantarları­nın çevresindeki bakteri kolonilerinin (toplu­luklarının) yok olduğunu fark etti.

Pénicillium cinsinden olan bu mantarlar, peynirde, bayat ekmekte ve nemli mahzen duvarlarında her zaman görülebilen küf man­tarlarıyla yakın akrabadır. Mikroskopla bakıldığında minicik boya fırçalarını andıran bu canlıların oluşturduğu gruba, "fırça" anlamındaki Latince penicilin sözcüğünden türetile­rek bu ad verilmiştir.

Fleming, şeker ve et suyuyla hazırladığı özel besi yerinde bu küf mantarlarını ürettik­ten sonra bu suyu süzdü ve penisilin adını verdiği bir sıvı elde etti. Bu sıvıyla yaptığı deneylerde birçok bakteri türünün, örneğin difteri, zatürree ve boğaz iltihaplarının etkeni olan mikropların üremesinin durduğunu gör­dü. Böylece, vücut dokularına zarar vermek­sizin mikropları öldürebilen antibiyotik grubu ilaçların ilk örneği bulunmuş oldu.

O tarihten yıllar sonra Howard Florey ve Ernst Chain adında iki bilim adamı, penisili­ni, bozulmadan saklanabilecek kuru bir toz halinde ve bol miktarda üretmeyi başardılar. 1941'de bu ilaç ilk kez hastaların kullanımına sunuldu ve 1945'te penisilini insanlığa arma­ğan eden Fleming, Florey ve Chain'e Nobel Fizyoloji ya da Tıp Ödülü verildi.

MsXLabs.org & Temel Britannica
BEĞEN Paylaş Paylaş
Bu mesajı 3 üye beğendi.
SİLENTİUM EST AURUM
Safi - avatarı
Safi
SMD MiSiM
10 Eylül 2016       Mesaj #4
Safi - avatarı
SMD MiSiM

PENİSİLİN


a. (ing. penicillin; lat. penicillium'dan).
1. Penicillium notatum ve P chrysogenum gibi çeşitli penicillium türlerinden yalıtılarak elde edilen, betalaktaminler grubundan, C6H18N204S formüllü antibiyotik. (Bk. ansikl. böl.)
2. Aminopenisilanik asitten yararlanılarak yapılan antibiyotiklerin genel adı.

—ANSİKL. ilkel mantarların (küf mantarları) bakteriler üzerinde antagonist etki gösterdiği daha önce fransız askeri hekimi E. Duchesne tarafından bulunmuştu (ANTİBİYOTİK), ama penisilinin keşfi 1928'de Fleming'in Penicillium notatum kültürleri üzerinde yaptığı gözlemlere dayanır. 1943'te soğutma tekniğiyle kültürden alınan suyun deriştirilmesi penisilinin tedavide kullanılmasını ve sanayi ürünü olarak hazırlanmasını sağladı. 1954'ten sonra mantar yalnız ortamın yüzeyinde değil, derinliğinde de yetiştirilebildi, bu da verimi artırdı. Mantardan penisilin elde edilmesi çok nazik bir işlemdir; her türlü mikrop ve pislik bulaşmasından sakınmayı gerektirir. Saf penisilin potasyum, sodyum, ya da kalsiyum tuzlarına dönüştürülür. Bütün penisilinler amino 6 penisilanik asit (A-6 PA) türevidir. 1959'da Doyle ve Robinson bu asidi sanayide üretmeyi başardılar. Bu çekirdekten yararlanılarak, yarı sentetik türevler hazırlanabileceği gibi çekirdeğe yeni moleküller eklenerek sentetik penisilinler de yapılabilir; bu yöntemle hazırlanan yüz kadar penisilinin ancak bazıları tedavide kullanılır.

Penisilin türevi olarak dört grup ilaç vardır:


1. G grubu penisilinler (benzilpenisilin tipi).
Bu bileşikler Gram"+" ve yüksek dozda Gram"-" bakterilere karşı etkilidir. Penisilinaz etkisiyle bozuldukları için ağız yoluyla alındıklarında etki gösteremezler Çeşitli aminlerle birlikte olursa G penisilinleri prokain penisilinin gösterdiği gibi retard etki gösterir. Penisilin-retarla bir penisilin tuzunun karıştırılması sonucu "bipenisilin" elde edilir ve böyle kullanıldığında hem tedavi için, hem tedaviyi sürdürmek için gerekli doz bir arada şırınga edilebilir;

2. V grubu penisilinler (fenoksi-metil-penisilin tipi).
Daha çok Gram"+" ve biraz da Gram"- " bakterilere karşı etkilidir, ağızdan alınabilir. Penisilinaz etkisine de duyarlıdır;

3. M grubu penisilinler (metisilin tipi).
Penisilinaza dayanıklıdır, ağızdan alındığında etki göstermez, ama aynı gruptan olan izoksazolil penisilin komprime olarak verilebilir;

4. A grubu penisilinler (ampisilin tipi).
Gram"+" ve Gram"-" bakterilere karşı etkilidir, damardan ya da ağızdan verilebilir, penisilinaza duyarlıdır.

Penisilinler, kahdaki derişimleri az olduğunda bakteriyostatiktir, ama derişimleri arttığında bakterisit olur ve bu etki mikrobun türüne ve kullanılan bileşiğe göre değişir. Bakterisit etki, mikropların çeperini oluşturan mukopeptitlerin biyosentezinde rol oynayan enzim sistemlerinin işlemez duruma getirilmesiyle gerçekleşir.

Penisilinlerin doz ölçüleri sodyum benzil-penisilat’ın uluslararası bir ölçeğe göre antibiyotik etkinliğine bakılarak belirlenir. Bu ölçü enternasyonal ünite (U. i., unitö internationale) olarak ifade edilir.

Penisilin şişelerinde 100 000 enternasyonal ünite ile 5 milyon enternasyonal üniteye dek değişen miktarlarda penisilin bulunur. Tüm penisilinler normal sıcaklığa dayanıklıdır ve G grubundan olan penisilinler 5 yıl tazeliğini korur.

Penisilinle tedavi sırasında oluşan igM ya da igG doğasında bir antipenisilin antikor vardır. Ancak, damardan yüksek dozda penisilin verilmesi sonucu, yalnız İgG tipindeki antikorların doğrudan pozitif Coombs testi ile bağışıksal-alerjik bir hemolitik anemiye yol açtığı sanılmaktadır.

Kaynak: Büyük Larousse
BEĞEN Paylaş Paylaş
Bu mesajı 3 üye beğendi.
Son düzenleyen Safi; 10 Eylül 2016 21:32
SİLENTİUM EST AURUM
Safi - avatarı
Safi
SMD MiSiM
10 Eylül 2016       Mesaj #5
Safi - avatarı
SMD MiSiM

PENİSİLİNLER


Tıp alanında kullanılan en eski antibiyotiklerdir. Bakterisid aktiviteye sahip olmaları, tüm vücuda dağılım gösteren iyi bir farmakokinetik özellikleri, toksisitelerinin az olması, ucuz olması ve duyarlı olan bakteriyel enfeksiyonlarda etkin sonuçlar oluşturması gibi özelliklerinden ötürü pek çok enfeksiyonun tedavisinde yaygın olarak kullanılmaktadır. 

Penisilin grubu antibiyotikler, bakterinin hücre duvar sentezi sırasında transpeptidasyon aşamasında görevli olan ve transpeptidaz ismi ile de anılan penisilin bağlayan protein (PBP)'lere bağlanarak sentez aşamasında enzimin baskılanmasına neden olur. Enzimin baskılanmış olması peptidoglikan tabakalarına sağlam peptidoglikan monomerlerinin eklenmesini engelleyerek duvar bütünlüğünün bozulmasına ve bakterinin dış ortama karşı direncinin kaybına yol açar, stoplazma zarının parçalanmasına ve hücrenin ölmesine neden olur.

Penisilinlerin oral absorbsiyonları belirgin olarak farklıdır. Doğal penisilinlerden fenoksimetilpenisilin, bazı penisilinaza dirençli penisilinler, aminopenisilinler ve bazı beta-laktamaz inhibitörlü penisilinler hariç, diğer penisilinler mide asidinde parçalandıkları için oral kullanımları uygun olmamakta ve parenteral olarak kullanımları önerilmektedir. Midede parçalanmayanlar duedonumda emilirler ve 1-2 saat içerisinde pik konsantrasyonlara ulaşırlar. Gıda varlığında genellikle pik düzeylerine ulaşması gecikir ve ilacın absorbsiyonu azalır. Serum yarı ömürleri kısadır. Bu süre benzilpenisilin için 30 dakika, geniş spektrumlu penisilinler için bir saattir. Yarı ömürlerinin kısa olması nedeniyle penisilinler kısa aralıklarla ve genellikle 4 saatte bir uygulanmalıdır. Bu ilaçlar çoğunlukla minimal düzeyde metabolize edilirler. Penisilinlerin birkaç türü dışında çoğu böbreklerden glomerüler filtrasyon ya da tübüler sekresyon yoluyla atılır. Nafsilin ve oksasilinin safra yoluyla atılmaları nedeniyle böbrek fonksiyon bozukluğunda doz ayarlamasına gerek kalmaz. Penisilin türü antibiyotiklerin kısa yarılanım ömürleri, doza bağlı yüksek toksisite gelişme olasılığını da azaltır.

Doku dağılımı iyi olan bir farmakokinetik gösterirler. Penisilinlerin tümü inflamasyon bulunmayan meninksler ile prostat ve göz dokusu hariç diğer dokulara çok iyi penetre olurlar. Penisilinlerin farmakodinamik etkinliği ve dokulara dağılımı, moleküler yapılarına ve proteine bağlanma oranlarına göre değişiklik gösterir. Penisilinler moleküler yapılarına göre, doğal penisilinler, penisilinaza dirençli penisilinler, aminopenisilinler, karboksipenisilinler, üreidopenisilinler ve beta-laktamaz inhibitörlü penisilinler olmak üzere 6 grupta sınıflandırılırlar (Tablo 1).
Ad:  penisilin.JPG
Gösterim: 4981
Boyut:  68.3 KB

Doğal Penisilinler


Moleküler yapıları diğer penisilin türlerine göre daha sade olan gruptur. Gram pozitif mikroorganizmalara en fazla etkinlik gösteren penisilin türleridir. Günümüzde A grubu beta-hemolitik streptokokların neden olduğu enfeksiyonların tedavisinde ve proflaksisinde, meningokokların ve kısmen de gonokokların oluşturduğu enfeksiyonların tedavisinde halen kullanılmaktadır. Penisilinaz salgılayan Bacteriodes kökenleri dışında anaerobik bakterilere ve Listeria monocytogenes'e de etkilidir. Bunun dışında A, B, C ve G grubu streptokokların toleran suşları dışında diğerlerine ve Streptococcus viridans suşlarına etkilidir. Günümüde giderek artış gösteren penisilin direnci nedeniyle pnömokok enfeksiyonlarının ampirik tedavisinde kullanımı giderek azalmaya başlamıştır.
Penisilin G aside dayanıksız olduğu için parenteral kullanılan ve intramüsküler (i.m.) injeksiyonu ile iyi emilen doğal penisilin grubu üyesidir. Intramüsküler injeksiyonu iyi emilir ve 1 milyon Ü'lik (600 mg) bir dozdan 30 dakika sonra plazmada 12 mg/l pik konsantrasyonuna ulaşır. Erişkinlerde serum yarı ömrü 30 dakika olup ciddi böbrek yetmezliklerinde yarılanma ömrü 10 saate çıkar. Penisilin G, Na+ ya da K+ tuzu şeklinde bulunur ve 1 milyon Ü'de 2.0 mEq Na+ ya da 1.7 mEq K+ içerir. Bu nedenle böbrek ve kalp yetmezliğinde dikkatle kullanılmalıdır.

Penisilin G bir depo tuzu ile i.m. olarak (pro- kain veya benzatin) verildiğinde daha uzun süre (saatler veya günler) maksimum düzeylerin elde edilmesi mümkündür. Ancak bu tür penisilinlerin yalnızca i.m. kullanımık mümkündür. Prokain penisilinin 300.000 Ü'lik formu yaklaşık 120 mg prokain içerir ve i.m. injeksiyonunun ardından yaklaşık 12 saat yüksek serum ve doku konsantrasyonu oluşturur. Penisilin G prokain i.m. enjeksiyondan sonra 2-4 saat içinde maksimal plazma konsantrasyonuna ulaşır. Bir doz 600.000 Ü ile 2-3 saatte 1.5 Ü/ml, 24 saatte 0.2 Ü/ml pik düzeyi elde edilir. Penisilin G benzatinin i.m. uygulanması ile 3-4 haftalık düşük düzey elde etmek mümkündür. Tek doz 1.2 milyon Ü, i.m. enjeksiyon ile 1. gün 0.15 Ü/ml düzeyine erişilebilmektedir. Penisilin G diğer penisilinler gibi meninkslerde inflamasyon olduğunda genellikle plazma konsantrasyonunun %5'i kadar BOS'a geçer. Verilen dozun yaklaşık %60-90'ı ilk saat içinde idrarla atılır. Bu özelliklerinden ötürü penisilin G, duyarlı suşlarla oluşan akut bakteriyel menenjit, osteomyelit, otitis media, alt solunum yolu enfeksiyonları ve yumuşak doku enfeksiyonlarında güvenle kullanılabilir.

Penisilin V (Fenoksimetilpenisilin) oral kullanımı olan tek doğal penisilindir. Gram pozitif bakterilere karşı etkinliği penisilin G'ye benzer. Enterik gram negatif bakteriler, Haemophilus ve Neisseria’ya karşı penisilin G'den 5-10 defa daha az aktif olduğundan sadece gram pozitif enfeksiyonlarda tercih edilmelidir. Yarılanma ömürleri kısa olduğu için dozlar gün içinde dörde bölünerek kullanılır. Penisilin V'nin yetişkinlerde 500 mg'lık oral uygulanımı, 600.000 Ü'lik prokain penisilin serum konsantrasyonuna eşdeğer serum konsantrasyonu oluşturur. Alışılmış doz çocuklarda 25-50 mg/kg/gün ve yetişkinlerde de 1-4 g/gün'dür. Çocuk ve yetişkinler için hazırlanan oral formları güvenle kullanılmaktadır.

Penisilinaza Dirençli Penisilinler


Penisilinleri parçalayan penisilinaz enzimi üreten stafilokoklar için geliştirilmiş bir beta-laktam antibiyotiktir. Doğal penisilinlerin etkili olduğu bakterilerden stafilokoklar dışındaki bakterilere daha az etkili ya da etkisiz olan, buna karşın stafilokokların büyük çoğunluğuna etkili penisilin türleridir. Bu nedenle bu penisilinlere 'antistafilokoksik penisilinler' de denir. Duyarlı stafilokok suşlarında 2-4 mg/ml'lik minimal inhibitör konsantrasyonları oluşturarak inhibe eder. Metisiline dirençli stafilokoklara karşı etkili değildir. Bu grupta yeralan metisilin, nafsilin ve oksasilin oral absorbsiyonları zayıf olduğundan parenteral kullanımları tercih edilen antibiyotiklerdir.

Metisilin klinik olarak kullanıma giren ilk penisilinaza dirençli semisentetik penisilindir. Metisilinin proteine bağlanması %38'dir ve %60-80 böbrek yoluyla atılır. Klinik kullanımı interstisiyel nefrite neden olmasından ötürü tercih edilmemektedir. Nafsilin ve oksasilin metisilinin yerini alan ve aynı etkinlikte kullanılan diğer antibiyotiklerdir. Nafsilin %90, oksasilin %94 proteinlere bağlanır ve her iki ilaç da esas olarak safra yolu ile atılır. Bu nedenle böbrek fonksiyonları bozuk olanlarda doz azaltılmasına gerek yoktur.

Isoksazolil penisilinlerden olan oksasilin bu grubun en düşük oranda oral absorbe edilen bileşiğidir. Bu sebeple parenteral kullanımı önerilmektedir. Penisiline duyarlı ve dirençli stafilokok suşlarında ortalama 0.2-0.4 g/ml'lik MlK düzeyi oluşturarak inhibe eder. Flukloksasilin ve dikloksasilinin i.m. uygulamadan sonra elde edilen plazma konsantrasyonları, aynı doz oral verildiğinde elde edilene benzerdir. Flukloksasilin ve dikloksasilin plazmadan daha yavaş temizlendikleri için serum konsantrasyonları, kloksasilin ve oksasilininkinden daha uzundur. Bunlardan dikloksasilin günde dört kez 250-1000 mg dozunda oral, nafsilinin 6-9 g/gün dozunda intravenöz (i.v.) yoldan kullanımı önerilmektedir. Isoksazolil penisilinler yüksek oranda (%92-98) proteinlere bağlandıkları için dokulara, interstisiyel sıvıya, seröz kaviteye ve normal BOS'a diffüzyonları sınırlıdır.

Aminopenisilinler


Bu grupta ampisilin, amoksisilin ve bakampisilin yeralır. Penisilin grubu beta-laktam antibiyotikleri içinde en sık kullanılan gruplardan biridir. Aminopenisilinler gram pozitif ve gram negatif bakterilerin beta-laktamaz enzimlerine dayanıklı değildir. S.pyogenes, S.pneumoniae ve S.agalactiae’ye karşı aktiviteleri penisilin G'ninkinden biraz daha az, enterokoklara ve L.monocytogenes’e karşı biraz daha fazladır. Enterokok ve L.monocytogenes enfeksiyonları ile endokardit proflaksisinde tercih edilen ilaçlardır. Clostridium, Actinomyces, Corynebacterium ve meningokoklara karşı etkileri penisilin G'ye benzer. Aminopenisilinler önceleri E.coli, P.mirabilis, Salmonella spp., Shigella spp., H.influenzae ve B.fragilis’e karşı etkiliyken, bu bakterilerin geliştirdikleri beta-laktamaz enzimleri nedeniyle günümüzde etkisiz hale gelmiştir. Bu nedenle aminopenisilinle- rin günümüzde gram negatif çomak enfeksiyonlarının ampirik tedavisinde yeri bulunmamaktadır. Aminopenisilinlere beta-laktamaz inhibitörlerinin eklenmesi ile bu bakterilere karşı güçlü bir etkinlik oluşturulmaktadır.

Bu grupta yeralan ampisilin ve amoksisilin oral ve parenteral, bakampisi- lin ise yalnızca oral olarak kullanılabilen bir aminopenisilindir. Ampisilinin biyoyararlanımı diğer ikisine göre çok daha düşüktür. Ampisilin oral alımdan sonra %30 emilir ve gıdalarla emilimi azalır. Ampisilinin 500 mg oral alımından 2 saat sonra serum pik konsantrasyonu 2-6 mg/l arasındadır. Aynı doz i.m. verildiğinde serum pik konsantrasyonu 7-14 mg/l, i.v. verildiğinde ise 1 saat sonra 12-29 mg/l'ye ulaşmaktadır. Ampisilinin vücuda dağılımı iyidir. Yeterli teröpatik konsantrasyonda asit, plevral, synoviyal ve oküler sıvılara ulaşır, ancak inflamasyon olmadıkça BOS'a geçişi zayıftır.

Amoksisilin ise %90 emilir ve gıdalardan etkilenmez. Amoksisilin barsaklardan hızla emildiği için intestinal kanalda daha az antibiyotik kalır ve antibiyotiğe bağlı ishal daha az görülür. Amoksisilin oral verildiğinde ampisiline oranla daha iyi bir biyoyararlanım elde edilir. Serum ilaç konsantrasyonu ampisilinin aynı dozundan yaklaşık 2-2.5 kat daha fazla olup, gıdalardan etkilenmez. L.monocytogenes ve E.faecalis’e karşı penisilin G'den daha etkili oldukları için aminoglikozidlerle kombine olarak tercih edilirler. Amoksisilinin doku dağılımı ampisilinle eşdeğerdir. Bu nedenle otitis media, pnömoni, sinüzit, bronşit, tifo, üriner sistem enfeksiyonlarında halen kullanımı önerilen antibiyotiklerdir.

Ampisilin esteri olan bakampisilinin antimikrobik etkisi ampisilin ve amoksisiline benzer. Bakampisilin inaktif bir formdadır ve absorbe edildikten sonra ampisiline dönüşür. Bakampisilin oral ampisiline göre daha iyi absorbe edilir ve 2-3 kat daha yüksek, amoksisiline ise eşit serum pik konsantrasyonu sağlar. Oral kullanılan penisilin grubu beta-laktam antibiyotikleri içinde biyoyararlanımı en iyi olan ajan bakampisilindir.

Karboksipenisilinler


Bu grupta yeralan karbenisilin ve tikarsilin, P.aeruginosa da dahil pek çok aerop gram negatif çomağa etkili olan ancak Klebsiella türlerine etkisiz penisilin türleridir. Bunun dışında indol pozitif Proteus türlerine de etkilidir. S.pyogenes, S.pneumoniae ve E.faecalis'e karşı ampisilinden daha az aktiftir. Gram pozitif ve gram negatif bakterilerin beta-laktamazları ile inaktive olur. Karbenisilin, aminoglikozidlerle (amikasin, gentamisin ve tobramisin gibi) kombine edildiğinde P.aeruginosa suşlarına karşı sinerjik etkinlik gösterir. Tikarsilinin antibakteriyel etkisi karbenisiline benzer ve P.aeruginosae’ya karşı 2-4 kat daha aktiftir. Tikarsilin sindirim sisteminden iyi emilemediğinden i.m. ya da i.v. uygulanmalıdır.
Günümüzde bu antibiyotiklere karşı gelişen beta-laktamaz türü dirençler nedeniyle ampirik tedavide kullanımları yaygın değildir. Karbenisilin 6 saat ara ile 1.5-5 g dozunda kullanılır.

Üreidopenisilinler


Bu grupta azlosilin, mezlosilin ve piperasilin bulunmaktadır. Sadece parenteral kullanılabilir. Aminoglikozidlerle kombine edildiklerinde ciddi gram negatif bakteri enfeksiyonlarının tedavisinde etkili olan geniş spektrumu sağlarlar. Azlosilin, P.aerugmosae’ya karşı karbenisilinden 8-16 kat daha aktiftir. Mezlosilinin antibakteriyel etkisi karboksipenisilinlere benzemekle birlikte, Klebsiella, H.influenzae ve B.fragüis’e karşı aktiviteleri daha iyidir. Piperasilin, pseudomonaslara, gram pozitif ve gram negatif kok ve basiller ile birçok anaerobik bakteriye etkilidir. Ancak gram pozitif ve gram negatif bakterilerin plazmid kökenli beta-laktamazları ile parçalanır. P.aeruginosae ve Enterobacteriacea türlerine karşı aminoglikozidlerle kombine edildiklerinde sinerjistik etki gösterirler.
Üreidopenisilinlerin karboksipenisilin grubundan karbenisilin ve tikarsiline tercih edilmesinin nedenleri Na+ miktarlarının düşük olması ve daha az sıklıkla hipopotasemi ve trombosit disfonksiyonlarına neden olmasından kaynaklanır. Bu grupta bulunan antibiyotikler de 6 saat ara ile 1.5-3 g dozunda kullanılırlar.

Beta-laktamaz İnhibitörlü Penisilinler


Diğer penisilinlere göre daha geniş bakteri spektrumu ile toplumdan kazanılmış enfeksiyonların tedavisinde hemen her yaş grubunda güvenle kullanılan antibiyotiklerdir. Bu grupta bulunan antibiyotikler pekçok beta-laktamaz enzimi üreten bakterilere karşı etkilidirler. Ancak bunlar tip I beta-laktamaz- lara dayanıklı değillerdir. Bu tip beta-laktamaz enzimlerine sahip olan Enterobacter, Citrobacter, Serratia ve P.aeruginosa türü bakterilere karşı etkili olamazlar.

Amoksisilin-klavulanik asit, ampisilin-sulbaktam, tikarsilin-klavulanik asit, piperasilin-tazobaktamdan oluşan çeşitli türleri bulunmaktadır. Amoksisilin-klavulanik asit oral kullunılan bir kombinasyondur. Amoksisilin ve klavulanik asidin her ikisi de gastrointestinal sistemden iyi absorbe edilir ve serum yarı ömrü yaklaşık 1 saattir. Gıdalarla birlikte alınımı ilacın yarılanma ömrünü etkilemez, gastointestinal semptomları azaltır. Bu kombinasyonun proteinlere bağlanması düşüktür (%18-25). Dokulara iyi penetre olur ve böbreklerle atılır. Ampisilin-sulbaktam, oral, i.v. ve i.m. olara uygulanabilir. Serum yarı ömrü 1 saattir ve böbreklerle atılır. Dokulara, vücut sıvılarına ve inf- lamasyonlu BOS'a geçişi iyidir. Amoksisilin-klavulanik asitle aynı antibakteriyel spektruma sahiptir.

Yan Etkileri


Penisilin grubu antibiyotiklerin en önemli yan etkileri allerjik reaksiyonlara neden olmalarıdır. Penisilin allerjisi toplumda oldukça yaygındır. Her 100 kişiden 3-10'u penisiline karşı allerjiktir. Bu duyarlılık çoğu kez hafif reaksiyonlarla kendini gösterir. Gerçekte penisilin allerjisi olarak tanımlanan anafilaktik reaksiyonlar nadir görülür ve genel oran 1 milyon kişide 4-15 olarak ifade edilir. Penisilin allerjisi nedeniyle ölüm oranları ise her 50.000-60.000 tedavi küründe bir olarak tanımlanır. Penisilin hapten yapısında bir molekül olduğundan, kullanım sayısı ile anaflaksi riski artış göstermektedir. Bu nedenle yetişkinlerde görülen anaflaksi riski çocuklara oranla daha yüksektir. Penisilin molekülleri arasında çarpraz reaksiyon bulunduğundan, allerji durumlarında penisilin dışında başka molekül yapısına sahip antibiyotiklerin kullanımı gerekmektedir. Bunun dışında anaflaksi genellikle injeksiyonu takiben ilk 10-20 dakika içinde geliştiğinden, penisilin uygulanan hasta 30 dakika gözlenmelidir.

Akilci Antibiyotik Kullanımı ve Erişkinde Toplumdan Edinilmiş Enfeksiyonlar
BEĞEN Paylaş Paylaş
Bu mesajı 1 üye beğendi.
SİLENTİUM EST AURUM
Safi - avatarı
Safi
SMD MiSiM
11 Eylül 2016       Mesaj #6
Safi - avatarı
SMD MiSiM

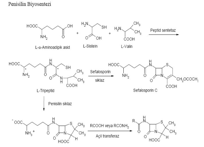
penisilin


Ad:  7.JPG
Gösterim: 4585
Boyut:  46.9 KB
Antibiyotikler içinde ilk keşfedilen Penisilinler
Antibiyotikler, antibakteriyel kemoterapötikler içinde önemli yer tutan ilaç grubudur.
1929 yılında penisilin Alexander Fleming tarafından tesadüfen keşfedilmiştir.
Ad:  1.JPG
Gösterim: 5023
Boyut:  41.8 KB
1940 yılında CHAIN VE FLOREY’in uzun süren denemelerinden sonra tedavi amacı ile Penisilin kullanılmaya başlanmıştır.
Ad:  2.JPG
Gösterim: 4339
Boyut:  32.0 KB
Florey ve arkadaşlarının kristalize penisilini saf olarak elde etmesi ile bakteriyel enfeksiyon hastalıklarla mücadelede kliniğe önemli bir olanak sunulmuştur.
  • Bir çok bakteriyel enfeksiyon hastalığı kontrol altına alınmış,
  • İnsanların ömür süresi uzamı,
  • İlaç sanayinin büyük bir kısmı antibiyotik üretimine kaymış,
  • Formülü çözümlenerek sentetik ve semisentetik penisilinler yapılmış,
  • Daha geniş spektrumlu antibiyotikler elde edilmeye başlanmıştır.
  • Günümüzde klinikte kullanılan çok sayıda antibiyotik, mantar veya bakteri gibi bir mikroorganizmanın fermentasyon ortamından kazanılarak tedaviye sunulmasından çok, biyosentetik ve sentetik yolla daha ekonomik ekilde üretilmekte ve tedaviye sunulmaktadır.

Doğal Penisilinler


Ad:  3.jpg
Gösterim: 4529
Boyut:  21.0 KB

  • Penisilin grubu antibiyotiklerin ilk örneği olan penisilin G, Penicillium notatum
  • kültüründen izole edilmiş ve benzilpenisilin olarak isimlendirilmiştir.
  • 6-Amino-3,3-dimetil-7-okso-4-tiya-1-azabisiklo[3.2.0]heptan-2-karboksilik asid (6-APA)
  • 6-Aminopenisilanik asid

Biyosentetik Penisilinler


1940-1954 Yılları arasında ilk elde edilen, klinik denemelerde ve tedavide kullanılan penisilinler, biyosentetik olarak elde edilen bileşiklerdir. Bu yıllarda penisilinin fenilasetik asit yan zincirindeki benzil grubu yerine çeşitli alkil ve aralkil grubu taşıyan birçok doğal penisilin hazırlanmıştır; bunlara “biyosentetik penisilinler” denir.
Ad:  4.JPG
Gösterim: 5020
Boyut:  39.7 KB
Ad:  5.JPG
Gösterim: 4699
Boyut:  94.1 KB


Semi-sentetik Penisilinler


(Yarı sentetik penisilinler)
Doğal penisilinlerin etki edemediği ya da doğal penisilinlere karşı direnç gösteren mikroorganizmalara karı kimyasal reaksiyonlarla yapıları değiştirilen penisilinlerdir.
Ad:  6.JPG
Gösterim: 4894
Boyut:  48.5 KB


kaynak: Biyolojik Sistemlerde Kimya
Son düzenleyen NeutralizeR; 15 Eylül 2016 01:08
SİLENTİUM EST AURUM

Benzer Konular

9 Kasım 2008 / Ziyaretçi Cevaplanmış
21 Aralık 2008 / Ziyaretçi Soru-Cevap
7 Nisan 2016 / Ziyaretçi Cevaplanmış
12 Eylül 2016 / Pasakli_Prenses Tıp Bilimleri
22 Temmuz 2017 / beyzii Cevaplanmış