L-KARNİTİNİN TANIMI
L-karnitinin tanımlanmasıyla ile ilgili olarak bazı farklılıklar vardır.
L-karnitin basit bir tanımlama ile, B grubu vitaminleri ile ilişkili, amino asit ve vitamin benzeri bir besleyici element olarak açıklanabilir. Esas olarak yağ asitlerinin enerjiye dönüştürülmesinde görev alan esansiyel bir elementtir.
Bir diğer tanımlamada ise şöyle denilmektedir, L-karnitin tam manasıyla bir amino asit değildir. Çünkü bir neurotransmitter olarak yada protein sentezinde görev yapmamaktadır. Bununla birlikte, amino asitlerle benzerlik taşıması nedeniyle bu başlık altında gruplandırılabilir.
TARİHÇESİ
- L-karnitin 1905 yılında iki Rus bilim adamı (Gulewitcsh ve Krimberg) tarafından kas dokudan izole edilen bir bileşik olarak keşfedilmiştir ve bu keşiften sonra, latince et anlamına gelen "carnis" ismi verilmiştir.
- 1927 yılında L-karnitinin kimyasal yapısı onaylanmıştır. 1935 yılında, Leipzig Üniversitesinden Prof. Dr. Strack L-karnitin hakkında ilk makaleyi yayımlamış ve yıllarca süren L-karnitinin fizyolojik fonksiyonları ile ilgili araştırmaların temelini oluşturmuştur.
- Carter ve arkadaşları 1952 yılında, L-karnitini besleyici bir element olarak tanımlamışlardır.
- 1952'de, Fraenkel ve Freidman adlı iki araştırıcı, Tenebrio molitor'un (un kurdu) metaformoz aşamasında vitamin ihtiyacı üzerine yaptığı çalışmada, L-karnitinin gelişme için esansiyel olduğunu tespit etmişlerdir. L-karnitini Vitamin BT olarak adlandırmışlardır.
- 1958 yılında Fritz, L-karnitinin mitokondride yağların yakılmasını arttırdığını ve yağ asitleri oksidasyonunda önemli bir rol oynadığını saptamıştır.
- Karnitinin D ve L sınıflandırılması ilk kez 1962'de Kaneko ve Yoshida tarafından yapılmıştır. Doğal olarak bulunan L formu "fizyolojik karnitin" olarak tanımlanmıştır.
- 1973'de ilk kez, L-karnitin eksikliğinde meydana gelen primer rahatsızlıkların teşhisiyle ilgili çalışmalar yapılmıştır.
- 1950 ve 80'li yıllar arasında L karnitinin metabolik fonksiyonları üzerine birçok araştırma yapılmış, 80'li yıllardan sonra ticari olarak bulunabilen bir ürün halini almıştır.
- L-karnitinle ilgili araştırmalar günümüzde halen devam etmektedir.
L-KARNİTİNİN DOĞADAKİ KAYNAKLARI
- L-karnitin doğada sadece L formunda bulunur. D formu ise kimyasal olarak üretilir. Ayrıca bir diğer form olan D-L formu ise bu iki aktif maddenin %50'sini içerir.
- Çalışmalardan elde edilen verilere göre, D formu, L-karnitinin yağ asitlerinin taşınmasından (sitoplazmadan mitokondriye) sorumlu karnitin translokaz enzimini inaktif ettiği ve böylece vücutta enerji kaybına yol açtığı belirlenmiştir.
- Mikroorganizmalar, bitkiler ve hayvanlar için esansiyel bir bileşik olan L-karnitin doğada birçok besin maddesinde değişen miktarlarda bulunur.
- Bitkisel besinler az miktarda L-karnitin içerirken, hayvansal besinler L-karnitin açısından daha zengindir. Bitkisel ve hayvansal kaynaklı yağlar L-karnitin içermemektedir.
- İnsan vücudunda, karaciğer ve böbrekte doğal olarak az miktarlarda (20 mg/gün) L- karnitin üretilir. Daha yüksek konsantrasyonları ise kalp ve iskelet kaslarında bulunur. Çizelge 1'de bazı besin ham maddelerinde bulunan doğal L- karnitin içerikleri görülmektedir.
Karnitin Biyosentezi ve Metabolizması
L-karnitin vücutta ilk olarak karaciğer ve böbrekte sentezlenir ve diğer dokulara taşınabilir. L-karnitinin karbon zincirleri ve nitrojeni L-lisinden, metil grupları ise metiyoninden gelmektedir. Bu nedenle, sentez için, iki esansiyel amino asit, lizin ve metiyonin yanı sıra C vitamini, demir, B6 vitamini ve niasine gerek duyulmaktadır. Bütün bu esansiyel besleyicilerin eksikliğinde sentez olumsuz yönde etkilenir ve ayrıca metiyonin sentezi için gerekli olan B12 vitamini eksikliğinde L-karnitinin fonksiyonu bozulmaktadır.
Yağ metabolizması ve enerji üretiminde önemli bir role sahip olan karnitin, endojen sentezle ve besinlerle organizmaya alınır. Toplam beş basamakta şekillenen biyosentez, lizin aminoasitinin metilasyonu ile başlar, deoksikarnitin hidroksilaz katalizörlüğünde deoksikarnitinin karnitine dönüşmesi ile sonlanır. Enzimatik aktivite yönünden karaciğerde, insanlarda ise karaciğere ilaveten böbreklerde bu son basamak reaksiyonu aktif olup karnitin sentezi yapılırken, kas ve kalp dokusunda söz konusu enzim aktivitesi olmadığından karnitin sentezi yapılamaz.
Biyosentez için; 4-butiro-betain hidroksilaz enzimi yanısıra, primer olarak lizin ve metiyonin, kofaktör olarak ise vitamin B3, B6, C, folik asit ve demire gereksinim vardır. Bu sentez işleminde metil grubu metiyoninden, karbon zincirleri ve azot grupları ise lizin amino asitinden sağlanır.
Ağız yolu ile alınan karnitin ince barsaklardan aktif transport ya da pasif difüzyon ile %80’lere varan oranda emilerek asetile edilir. İnsanlarda toplam karnitin oranının %75’i besinsel, %25’i ise endojen kaynaklıdır. Kanda bulunan karnitin %80’i serbest formda, %20’si ise ester (asil karnitin) formunda bulunur. Bu metabolik düzenleme ile uyumlu olarak doku karnitin düzeylerinin kan düzeyleriden 100-500 kat fazla olduğu bildirilmiştir. Besinlerle organizmaya alınan ve endojen sentezlenen toplam karnitin primer filtrata geçerek %95’ten fazlası reabsorbe edilir. Bu geri emilim mekanizmasında bir bozukluk olmadığı taktirde karnitin yetersizliği canlılarda normal beslenme şartlarında ortaya çıkmaz. Diğer bir ifade ile tubuluslarda şekillenen bu geri emilme, besinlerle alınan karnitin miktarına, organizmanın karnitin gereksinimine ve de plazma karnitin düzeylerine göre düzenlenir. Organizma karnitininin %98 i kalp ve iskelet kasında depo edilir. Çünkü sözü edilen bu dokular karnitin bağımlıdırlar. Kalan %2’lik kısmı ise karaciğer, böbrek ve beyin gibi organlardadır. Plazma ve eritrositlerdeki kısım %1’in altındadır (%0,6). Diğer bir deyişle karaciğer ve böbrek gibi primer sentez bölgelerinden gelen ve emilimle elde edilen karnitin, karnitin bağımlı dokular olan kalp ve iskelet kaslarına yönlendirilerek depo edilir.
L-karnitinin kas dokusundan plazmaya geçişi oldukça yavaş olmasına rağmen, karaciğerden kana geçişi daha kolaydır. Bu nedenlerle plazma karnitin seviyeleri doku düzeylerini yansıtmaktan uzaktır.
Karnitin Biyokimyası ve Fizyolojik Etkileri
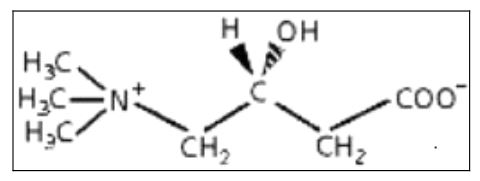
Karnitin, "Gama-Trimetil amino beta hidroksi bütirik asit" yapısında ve (CH3)3N- CH2CH(OH)CH2-COOH formülünde olup, suda iyi çözünen 161 Dalton moleküler ağırlıklı bir bileşiktir. Bir asimetrik karbon atomuna sahip olması nedeniyle D ve L formlarına sahiptir. Dokularda sadece L formu sentez edilir ve sadece bu formu metabolik olarak aktiftir. D formu metabolik olarak L formu kadar bir aktiviteye sahip olmamasının yanısıra yüksek dozlarda toksik etkisinin olduğu bildirilmektedir.

Okside edilecek uzun zincirli yağ asitlerinin asil CoA esterleri ancak karnitin varlığında sitoplazmadan mitokondrilere girebilirler. Bu mekikte sorumlu enzim karnitin asil transferaz olup, karnitin asil transferaz I ve II olmak üzere iki ayrı formda bulunur. Karnitin, karnitin asil transferaz I in katalizi ile asetil CoA ile birleşerek asil karnitin oluşur. Bu şekilde mitokondri matriksine gelen asil karnitin, karnitin asil transferaz II enzimi etkisiyle karnitin ve asetil CoA şeklinde bileşenlerine ayrılır ve açığa çıkan asetil CoA’ lar ise P-oksidasyonla enerji sentezine hizmet ederler.
Karnitin yetersizliğinde yağ asitleri oksidasyonu azalır, bunun yerine yağ asitlerinden karaciğerde trigliserit sentezi gerçekleştirilir. Ayrıca karnitin yetersizliğinde mitokondride toksik asil CoA metabolitleri sentezlenir ve bu toksik metabolitin miktarındaki artış sitrat siklusunun, glikoneogenesisin, üre siklusunun ve yağ asiti oksidasyonunun yetersiz oluşmasına neden olur. Bu olgularda karnitin uygulamaları, toksik asil gruplarının idrar ile atılımını kolaylaştıran güvenli bir tedavi şeklini oluşturabilir. Yağ asitlerinin yetersizliğinde vücutta depolanmış yağların P-oksidasyon oranı arttığından kaslarda ve karaciğerde karnitine olan gereksinim yükselir. Yağ asitlerinin fazla olması durumunda ise yağ asitlerinin bir bölümü vücutta birikirken, aşırı miktardaki yağ asitlerinin vücuttan atılması sırasında detoksifikasyonun sağlanması için karnitine olan gereksinim artar. Bu önemli görevi yanı sıra karnitin lipolizis, termogenezis, ketogenesis, antioksidan etki ve azot metabolizmasında da birçok reaksiyona katılır. Örneğin özellikle kış uykusuna yatan hayvanların ve küçük vücutlu memelilerin kahverengi yağ dokularında, termogeneziste rol oynar.
Yağ asitlerinin katabolizması için ana yol yağ asitlerinin mitokondri içine taşınımı ve enerji amaçlı beta oksidasyonudur.

Kandan hücre içine alınan serbest yağ asitlerinin öncelikle hücre içinde asil-KoA derivelerinin şekillenmesi ile aktive edilmeleri gereklidir. Mitokondriyal iç membranda “asil-KoA sentetaz” enzimi orta zincir yağ asitleri (4-10 karbonlu) ve kısa zincir yağ asitlerini (asetat ve propiyonat) aktive eder. Kısa zincir yağ asitleri sitoplazmadan mitokondriye serbestçe geçebilirlerken uzun zincir yağ asitleri (22 karbon ve yukarısı) geçemez. Dış membranın aşılabilmesi için adı geçen esterin karnitinle kombine olup asilkarnitine dönüşümü gereklidir. Asilkarnitin oluşum reaksiyonu "Karnitin palmitoil transferaz-I (CPT-I)" enzimi tarafından katalize edilir. Bu enzim yağ asitlerinin trigliseridlere dönüşümünde ara basamağı teşkil eden uzun zincirli asil-koA’yı lipojenaz yolundan oksidasyon yoluna sevkeder. Mitokondrial dış membranda bulunan bu enzim uzun zincir asilkoA’ yı asilkarnitine dönüştürür. Asilkarnitinin mitokondriyal iç membrandan geçişine mitokondriyal translokaz enzimleri aracılık ederler. Bunlar hem serbest karnitinin hem de esterlerinin membranlarda her iki yöne transportunu sağlarlar. Karnitin-asilkarnitin translokaz enzimi iç membran karnitin değişim taşıyıcısı gibi hareket eder, asilkarnitin içeri taşınır. İç membran iç yüzeyinde bulunan "Karnitin palmitoyl tranferaz-II (CPT-II)" enzimi, bu yüzeye transloke olan asil grubunun KoA havuzundan çekilen KoA’ ya transferini katalize eder, mitokondriyal matrikste tekrar asil-KoA şekillenir, karnitin açığa çıkar.
L-KARNİTİNİN METABOLİK GÖREVLERİ
L-karnitin vücutta enerji üretimi ve yağ metabolizmasında önemli bir rol oynar. L- karnitinin 3 önemli metabolik fonksiyona sahip olduğu bilinmektedir.
Uzun Zincirli Yağ Asitlerinin Mitokondrial Matrikse Taşınması
Uzun zincirli yağ asitlerinin mitokondriye taşınması L-karnitin aracılığıyla gerçekleştirilir.

Enerji üretimi için, mitokondri dış ve iç membranlarında bulunan 3 enzime gereksinim vardır. İskelet ve kalp kası hücrelerinin dış mitokondri membranında, karnitin-palmitoil transferaz I (CPT I) enzimi vasıtasıyla, açil-CoA (yağ asidi+CoA)'dan açilkarnitin (yağ asidi+L-karnitin) formu elde edilir. Bir protein taşıyıcısı olarak kabul edilen karnitin:açilkarnitin translokaz (CT) açilkarnitini iç mitokondrial membrana taşır. Karnitin-palmitoil transferaz II (CPT II) iç mitokondrial membranda bulunur ve açil-CoA oluşumunda görev alır. Açil-CoA beta-oksidasyon olarak adlandırılan bir proses boyunca metabolize olabilir. En sonunda propiyonil CoA ve asetil CoA elde edilir.
CoA Havuzunun Tamponu ve Açil Gruplarının Detoksifikasyonu
İntramitokondrial asetil-CoA üretimi karbonhidrat, yağ ve amino asitlerin yıkılması ile sonuçlanır. Asetil-CoA'nın birikimi yukarıda yıkım proseslerini inhibe eder ve toksik etkiler belirli bir konsantrasyonda olur.
L-karnitinin önemli bir fonksiyonu, fazla miktardaki asetil gruplarının detoksifikasyonu ve serbest CoA'nın önlenmesiyle asetil-Coa/CoA havuzunun sağlanmasıdır. Bu süreçte L-karnitin, CoA serbest kalırken asetil grupları ile bağlanır ve daha sonra asetil grupları böbreklere taşınır ve burada sonunda elimine edilirler. Mitokondrial asetil-CoA/CoA oranı serbest CoA'ya dönüştürülür.
Böylece, geriye kalan CoA karbonhidrat metabolizması için kullanılabilir. Pürivat glikolisiz boyunca salınır. Aynı zamanda, pürivatın fazla miktarları asetat yoluyla depo edilir. L-karnitine ters olarak bağlandığında sitrat döngüsünde de kullanılabilir.
Asetil CoA/CoA oranının dengelenmesi, ATP'nin sonraki mitokondriden taşınmasına indirekt olarak destek sağlar. Asetil-CoA'nın mitokondri içinde birikmesinden dolayı adenin nükleotit translokaz fonksiyonu inhibe olur.
Kısa ve Orta Zincirli Yağ Asitlerinin Mitokondriden Taşınması
Mitokondrial matrikste kısa ve orta zincirli yağ asitleri CoA'dan L-karnitine transfer olabilir. Kısa ve orta zincirli yağ asitleri açiL-karnitinlerce mitokondriden transfer edilmesi sağlanır. Bu süreç, enerji metabolizması için ihtiyaç duyulan serbest CoA'yı ve aynı zamanda mitokondriden fazla miktardaki asetil ve açil-CoA gruplarının taşınmasını sağlar. Bu mekanizma, belirli ilaçların kullanımı süresince L-karnitinin tüketilmesinde rol oynayabilir (Arrigoni-Martelli ve Caso, 2001).
L-karnitinin metabolizmadaki fonksiyonları aşağıdaki gibi özetlenebilir:
- Yağ asitlerinin taşınması
- Hücre membranlarının korunması ve ayarlanması
- Serbest CoA için gerekli ortamın sağlanması
- ATP'nin elde edilmesini optimize etmek
- Amonyak toleransını arttırma
- Bağışıklık sisteminin desteklenmesi
- Spermatogenesis ve sperm hareketliliğini destekleme
Karnitin’in Antioksidan Mekanizma Üzerine Etkisi
Organizma içerisinde alfa tokoferol, askorbik asit ve L-karnitin güçlü antioksidan özellikteki bileşiklerdir ve özellikle lipid peroksidasyonunu belirgin şekilde inhibe etmektedirler. Potansiyel antioksidan özelliklerinden dolayı bu yapıların oksidatif strese bağlı kronik hastalıkların önlenmesinde faydalı olduğu bilinmektedir. Karnitin’in, kalp kasında lipit esterlerinin birikimi ve lipit peroksidasyon ürünü malonyl dialdehid (MDA) yapımını önleyerek ATP sentezini artırdığı düşünülmektedir. Ayrıca, radikal oksijen türlerinin (ROS) sentezini hızlandıran Fe++’le kompleksler oluşturarak lipit peroksidasyonunu azaltmaktadır. L-karnitin antioksidan kapasiteyi artırarak doku bozulmasını azaltabilir. Gençlere oranla yaşlı ratlardaki lipid peroksidasyonun artması ve antioksidan etkiye sahip olan SOD, glutatyon ve katalaz, C ve E vitaminlerinin azalması ve karnitin ilaveleri ile artış gösterebilmeleri bu görüşü desteklemektedir. araştırmalarında karnitin ilavelerinin askorbik asit düzeyini artırdığını tespit etmişler ve bunun olası iki yoldan olabileceğini belirtmişlerdir;
1. Askorbik asit karnitin sentezinde önemli bir kofaktör olduğundan karnitin ilavesi organizmada askorbik asitin daha az harcanmasına olanak verir ve kandaki oranı Rebouche ve Engel (1980) tarafından da vurgulandığı gibi yüksek düzeylerde kalır.
2. Karnitin aynı zamanda bir şelatör olarak fonksiyon yapar ve lipid peroksidasyonuna neden olabilecek demiri bağlayarak düzeyini azaltır; böylelikle antioksidan olarak gerekli askorbik asit düzeyi azalmış olur. Arockia Rani ve Panneerselvam (2001), araştırmalarında yaşlı beyin dokusunda antioksidan kapasiteyi karnitin ilavelerinin artırdığını saptamışlardır. Bu antioksidanlar Se, GSH ve vitamin E olup, aktivitelerinin artması ile özellikle hücre membranları için lipid peroksidasyon riski azalmış olur. Diğer bir deyişle de L-karnitin aynı zamanda bir antioksidandır ve lipid peroksidasyonunun zararlı son ürünlerini yok eder.
Karnitin’in Fertilite Üzerine Etkileri
Asil karnitin, sperm enerji metabolizmasında ve sperm hareketinde önemli rolü olan başlıca kaynaktır. Sperm motilitesi bozuk hastalarda asil-L-karnitin/L- karnitin oranında azalma olduğu belirtilmiştir. Matalliotakis ve ark. (2000) tarafından karnitinin yoğun olarak epididimisde bulunduğu, sperm metabolizmasında karnitinin asil karnitine dönüşümünün önemli bir yer tuttuğu ve asil karnitinin normal spermatozoada karnitinden çok daha yüksek oranlarda bulunduğu tespit edilmiştir. İnfertil erkeklerde L-kamitin tedavisi sonrası sperm konsantrasyonu ve hareketliliğinde, sperm miktarında artış gözlenmiştir.
Karnitin ve Egzersiz
Karnitinin yağ asitlerinin oksidasyonunu, dolayısı ile enerjiye dönüşümünü aktive etmesi, egzersiz ve sportif çalışmalarda kullanımım gündeme getirmiş, son yıllarda bu konudaki çalışmaların yoğunlaşmasını sağlamıştır. Nitekim Coşkun ve ark. ile Sahlin tarafından yapılan çalışmalarda farklı kapasitede yapılan egzersizlerde organizma karnitin düzeylerinin değiştiği, özellikle yoğun egzersizlerde karnitin düzeyinin azalarak laktat seviyelerinin yükseldiği tespit edilmiştir. Düzenli egzersiz ve L-karnitin ilavelerinin bir arada uygulanması ile organizmanın dayanıklılık ve enerji kullanım kapasitesinin artabileceği, aynı zamanda artan serbest radikal üretiminin de karnitin etkisi ile baskılanabileceği ifade edilmektedi.
Sportif çalışmalarda, özellikle de tükenme egzersizlerini kapsayan çalışmalar için L- karnitinin oral kullanımına oranla intravenöz uygulamasının doğal olarak daha kısa sürede etki sağladığı ve bu nedenle tercih edilmesi gerektiği vurgulanmaktadır.
Karnitin Yetersizliği
Karnitin biyosentezinde gerekli olan lizin ve metiyonin aminoasitlerinin, bunun yanısıra özellikle ko faktör olarak fonksiyonel olan askorbik asit yetersizliklerinde, vejeteryan beslenme alışkanlığı durumlarında ya da kalıtsal olarak aktarılan enzim defekti olgularında karnitin yetersizliği oluşur. Temel olarak bu yetersizlik primer ve sekonder olmak üzere iki formda şekillenir:
a. Primer karnitin yetersizliğinde, renal reabsorpsiyonda ve kas hücrelerine karnitin tranferinde bozukluklar şekillenmiştir. Bu bozukluklar sonucunda kaslarda aşırı miktarda yağ depolanması gerçekleşerek özellikle kardiyak ve iskelet kaslarında fonksiyonel bozukluklar şekillenir. Serum ve doku karnitin seviyelerine göre de bu yetersizlik iki farklı formda tanımlanır:
1. Miyopatik form: Bu formda serum karnitin seviyesi normal, ancak kaslardaki seviyesi düşüktür. Kas liflerinde lipid birikimine bağlı deformasyon ve zayıflık şekillenir.
2. Sistemik form: Serum ve doku karnitin seviyeleri anormal oranda düşüktür. Öncelikle kardiyomiyopati ile karakterizedir, ayrıca ensefalopati, iskelet kası ve karaciğer dokusunda yağ depolanması dikkat çeker. Bu sendromun gelişiminde renal tübüler, intestinal mukoza ve kasta karnitin membran transportundaki bir yetersizlik sorumlu tutulmaktadır. Normalde karnitin başlıca idrar yolu ile atılır ve %98’i geri emilir, reabsorbsiyon bozulduğunda karnitinin üriner yoldan dışarı atılımı artar, geri emilim azalır, plazma-doku karnitin düzeyi düşer.
b. Sekonder karnitin yetersizliği ise bir çok metabolik hastalıkta tanımlanmıştır. Daha çok karnitin atılımının aşırı olduğu tübüler rahatsızlıklar ve kronik böbrek yetmezliğinde ortaya çıkmaktadır. Muhtelif dokulardaki eksikliğine rağmen serum karnitin seviyeleri normaldir. Kronik üriner enfeksiyonların tedavisinde kullanılan pivalat içeren antibiyotikler ve antiepileptik olarak kullanılan valproik asit yapısındaki ilaçlar uzun süreli tedaviler sonucunda sekonder karnitin yetersizliğine yol açabilmektedir.
Karnitin’in Medikal Tedavide Uygulama Alanları
L-karnitinin enerji metabolizmasındaki önemli görevi ve sağladığı faydalardan dolayı, insan sağlığı çalışmalarında ve hekimlikte son yıllarda yaygın olarak kullanılan alternatif bir tedavi ajanıdır. L-karnitin en çok; yaşlanmayı geciktirme, hafızanın (özellikle Alzheimer ve Parkinson gibi hastalıklardan korunmada) geliştirilmesi, kalp krizi ve diğer kalp rahatsızlıkların önlenmesinde koruyucu olarak, perifer damar hastalıklarının ve kronik böbrek yetmezliğinin (Vesela ve ark., 2001), sinirsel rahatsızlıklar ve depresyonun tedavilerinde, dengeli beslenme, diyet, obezite çalışmaları ve diyabet tedavisi , sperm olgunluğu ve hareketliliğini geliştirme ile sporcu sağlığı ile ilgili konularda fonksiyonel ve tedaviye destek preparatları amacı ile kullanım alanı bulmaktadır.