Arama

Enerji (Erke) Nedir? Enerji Birimleri ve Enerji Türleri

Güncelleme: 28 Eylül 2018 Gösterim: 71.314 Cevap: 11
Misafir - avatarı
Misafir
Ziyaretçi
6 Mayıs 2007       Mesaj #1
Misafir - avatarı
Ziyaretçi

Enerji


Enerji, iş yapabilme kapasi­tesi olarak tanımlanabilir. Madde ve enerji, dünyadaki yaşamın temeli­ni oluştururlar. Madde, enerjiden çok somut bir kavramdır. Enerji ise, mad­deyi ısıtarak, hareket ettirerek ya da elektrik yükleyerek varlığını belli eder.
Sponsorlu Bağlantılar
Enerji sürekli bir değişim ile bir­likte var olur. Enerji bir durumdan başka bir duruma geçerken madde üzerinde birtakım fiziksel, kimyasal ya da biyolojik değişimler olur. Örneğin kömürün içinde bulunan kimyasal enerji, ısı enerjisine dönüşürken, kömürde de birtakım değişimler gözlenebilir. Bütün bu enerji dönüşümlerinde, enerji hiç bir zaman değişmez. Yani enerji hiç bir zaman hiçbir şekilde yaratılmaz, yok edilemez.
Şimşek , enerji aktarımının oldukça görülebilir bir biçimidir.
Ad:  663px-Lightning_in_Arlington.jpg
Gösterim: 6189
Boyut:  50.6 KB

Enerji veya erke, fiziğin temel birimlerdendir. E sembolü ile temsil edilir. Doğrudan ölçülemeyen bir değer olup fiziksel bir sistemin durumunu değiştirmek için yapılması gereken iş yoluyla veya enerji türüne göre değişik hesaplamalar yoluyla bulunabilir. Sözcük, Eski Yunan dilindeki εν = içinde ve εργον = iş kelimelerinden türemiştir, bu açıdan anlam olarak 'işe dönüştürülebilen' bir şey olduğu söylenebilir. Fizikte kullanılmaya başlamadan önce genel anlamda güç kelimesi yerine kullanılmaktaydı. Enerjinin başka bir tanımı ise, iş ailesinden olup bir fiziksel sistemin ne kadar iş yapabileceğini ya da ne kadar ısı değiş tokuşu yapabileceğini belirleyen bir durum fonksiyonudur. Birimi, iş birimi ile aynıdır:
kg m²/sn² = N-m = j
Albert Einstein kütle ile enerjinin eşdeğer olduğunu çok bilinen E = m.c² dönüştürülen, suyun formülü ile göstermiştir. Enerji korunumlu bir büyüklüktür aynı zamanda biçim değiştirebilir. Bunun en sıradan örneği Hidroelektrik Santrallarında elektrik enerjisinepotansiyel enerjisidir. Bu dönüşüm işlemi pratikte birebir olamaz, kayıplar oluşur. Enerji korunumlu bir büyüklük olmasına rağmen diğer biçime dönüştürülemeyen ve dolayısıyla ısı olarak etrafa yayılan enerji, teknik terimle kayıp olarak nitelendirilir. Enerjinin korunduğunu ilk gösteren James Prescott Joule' dur. Joule, deneyinde m kütleli bir cismi, bir makaraya bağlayarak belirli bir yükseklikten aşağıya bırakmıştır. Makara aynı zamanda termal olarak yalıtılmış bir ısı kutusunun içindeki çarklara bağlıdır. Cisim aşağıya indikçe kutunun içindeki çarklar döner ve içerdeki sıvının sıcaklığını ölçen termometrede ΔT kadar bir artış gözlemlenir. Isı kutusunun özısısına ve makaranın sürtünmesine harcanan enerji bu dönüşümdeki kayıplar olarak varsayılırsa, enerjinin biçim değiştirebildiği ve korunumlu olduğu bu sayede gösterilmiş olur.

Enerji Birimleri


Enerji kullanıldığı yerlere göre farklı birimlerde ele alınır.
  • Newton meter (Nm), 1 N-m =kg /sn²
  • Joule [J] 1 N-m = 1 J
  • Kalori (cal) 1 J = 0.239 Calorie (cal) 1 cal = 4.18 J 1 Kcal=4184 J
  • Elektronvolt (eV)
  • British Thermal Unit (BTU) 1 BTU = 1,055 J, 1 kWh = 3412 BTU, 1 BTU = 0.0002931 kWh
  • Watt-saat (W.h) 1 Watt hours (Wh) = 3,600 J,
  • Kilo Watt-saat (kWh) 1 kWh = 1,000 Wh, 1 kWh = 3,600,000 J
  • erg (Yunanca ergon: iş) 1 erg= 1 g c s−2, 1 erg = 1.0×10−7 J.
  • Foot - pound (ft lb), 1 ft lb = 1.356 Nm
  • litre-atmosfer (l.atm)

Enerji Türleri (Enerji Biçimleri)


Enerji yaratılamaz, yok edilemez. Dünyada var olan enerji tu­tan da hiç bir zaman değişmeyeceğine göre, enerjiden herhangi bir şekilde yararlanıldığı zaman bu enerji yalnızca biçim değiştirir. Dünyada çeşitli biçimlerde var olan enerjiler vardır. Bunlara örnek olarak ısı, ışık, elektrik enerjilerini gösterebiliriz. Diğer enerji biçimleri pek bilmediğimiz biçimler bile olsa, kullanıldığı alanlar oldukça bilinen alanlardır.
'Potansiyel' sözcüğü durağan enerjiyi tanımlamak için kullanılan ol­dukça yaygın bir sözcüktür. Basit bir sapanın atışı, gerilmiş lastiğin üzerindeki potansiyel enerjinin kullanımı şeklinde açıklanabilir. Atom bombası, içinde sakladığı enerjiyle koskoca bir kenti yok edebilir. Buna karşın bir nükleer enerji istasyonu aynı güçteki enerjisini insanlığın yararına kullanır. Potansiyel enerji, bir pilin içindeki kimyasal potansiyel enerji şeklinde ya da bir hidroelektrik santralinde kul­lanılan suyun içinde, fiziksel potan­siyel enerji şeklinde bulunabilir.
Kinetik enerji, hareket halinde bu­lunan maddelerin taşıdıkları enerji türüdür. Gözle görünmeyecek kadar küçük olan atomun çevresinde dönen elektronlardan uzayda kocaman bir yıldızın çevresinde bulunan gezegen­lere kadar her maddenin kendi kütlesi ve hızıyla orantılı olarak bir kinetik enerjisi vardır.
Diğer enerji biçimleri arasında toprağı kazarken kullanılan mekanik enerjiyi, güneş ışığıyla ge­len, ısı ve ışık enerjisi şeklinde ortaya çıkan güneş (radyant) enerjisini say­abiliriz. Canlı hücreler tarafından kullanılan enerji ise, gövdeyle alınan be­sinin kimyasal enerjiye dönüştürülmüş şeklidir.
Bütün enerji biçimlerini yüksek ve düşük derecedekiler olarak kabaca iki grupta inceleyebiliriz. Elektrik enerjisi, yüksek derecede olarak ka­bul edebilir. Çünkü kolaylıkla diğer enerji biçimlerine dönüştürülebilir, kullanılabilir. Buna karşın ısı enerji düşük derecededir. Çünkü fazla sıcaklığı olamayan bir ısı enerjisini diğer enerjilere dönüştürüp kullanmak pek kolay değildir.
Enerji çeşitli şekillerde bulunabilir. Fakat bu şekillerin tamamı iki ana başlığa indirgenebilir. Bunlar kinetik enerji ve potansiyel enerjidir.
  • Potansiyel enerji: Bir nesnenin konumundan dolayı, diğer nesnelere bağlı olan enerjisidir. Depolanmış enerji olarak da adlandırılır.
    • Yer çekimi Potansiyel Enerjisi: Bir kütle, bulunduğu yerden düşey konumdaki alt bir noktaya göre yüksekte ise, sahip olduğu enerjiye Yer çekimi Potansiyel Enerjisi denir
    • Isı (Termal) Potansiyel Enerjisi: Isı sebebi ile oluşan enerji olup, aslında molekül ve atomların kinetik enerjisidir.
    • Elektrik Potansiyel Enerjisi: Elektrik yüklemesi sebebi ile ortaya çıkan enerjidir.Yüklenmiş partiküllerin hareket enerjisidir.
    • Kimyasal Potansiyel Enerji: Atomlar arasındaki kimyasal bağlar sebebi ile oluşan enerji olup, kimyasal bağlar tarafından depolanmış olan enerjidir.
    • Nükleer Potansiyel Enerji: Atom çekirdeklerinin kararsızlığı nedeni ile oluşan enerjidir. Bu durumdaki nesne, elektromanyetik dalga veya ışık yaydığı için yayınım enerjisi olarak da adlandırılır. Atom çekirdekleri tarafından depolanmış enerjidir.
    • Manyetik Potansiyel Enerji
    • Elastik Potansiyel Enerji
  • Kinetik enerji: Hareketin sebep olduğu enerjidir.

Enerjinin Korunumu


Kapalı bir sistemde, potansiyel enerjinin, kinetik enerjiye veya kinetik enerjinin, potansiyel enerjiye dönüşümünde, her birindeki artma, diğerindeki azalmaya eşittir. Kapalı bir sistemde enerji korunacağından sabit bir değeri vardır. Dolayısıyla enerjideki değişim sıfırdır. T kinetik enerji, U da potansiyel enerji olmak üzere formüle edilirse:
Ad:  1.JPG
Gösterim: 2926
Boyut:  17.2 KB


Son düzenleyen Safi; 28 Eylül 2018 01:27
LaDymm - avatarı
LaDymm
Ziyaretçi
17 Şubat 2008       Mesaj #2
LaDymm - avatarı
Ziyaretçi

ENERJİ


Kinetik enerji.


Sponsorlu Bağlantılar
Klasik mekanikte, kütlesi m ve hızı v olan noktasal bir parçacığın kinetik enerjisi, tanım gereği Ec = - mv2
bağıntısıyla verilir. Bir parçacık kümesinin toplam kinetik enerjisi, bu parçacıkların enerjilerinin toplamına eşittir; örneğin, V hızıyla ötelenme devinimi yapan, M toplam kütleli katı bir cismin kinetik enerjisi - MV2 dir.

iş ve kinetik enerji değişimi.


Bir cismin kinetik enerjisini değiştirmek için hızını değiştirmek, dolayısıyla cisme bir F kuvvetiyle etkimek gerekir, t, ve t2 anları arasındaki kinetik enerji değişimi, cismin f, ve (2 anları arasında M,M2 yerdeğiştirmesi boyunca F kuvvetinin yaptığı işe eşittir.
Dolayısıyla iş, kinetik enerji artıyorsa devingen, azalıyorsa direngen denen bir enerji alışverişi sürecidir.

Potansiyel enerji


iş genellikle M,'den M2’ye gitmek için izlenen yola bağlıdır. Kimi hallerde F kuvvetinin yaptığı iş yola değil, yalnızca ilk ve son konumlara, yani M, ve M2'ye bağlıdır. Bu durumda M, ile M2 arasındaki iş U'nun değişimine bağlı olmak üzere, F’ye M noktasının konumuna bağlı bir U(M) fonksiyonu eşlik ettirilebilir: W=(M > M2) U(M) U(M2)
U(M) niceliğine potansiyel enerji adı verilir. F kuvveti iki cisim arasındaki etkinleşimden kaynaklanır; bu etkinleşime eşlik eden U(M) potansiyel enerjisi, kendi aralarında etkileşen iki cisimlik bütünün bir özelliğidir ve bu cisimler arasındaki göreli uzaklıkla belirlenir; oysa kinetik eneri, tek bir cisme ve onun hızına bağlıdır. Dolayısıyla bir parçacıklar kümesinin toplam potansiyel enerjisi, etkileşim halindeki her parçacık çittinin potansiyel enerjileri toplamına eşittir. Her etkileşim tipini özel bir potansiyel enerji biçimi karşılar: elektrostatik. çekim, esnek vb.

Mekanik enerji;


enerjinin korunumu. Mekanik enerji, kinetik enerji ile potansiyel enerjinin toplamıdır. Yukarıdaki bağıntılar, başka sistemlerle etkileşmeyen, yalıtılmış bir sistemin toplam mekanik enerjisinin, zaman içinde değişmez olduğunu gösterir:
MV2 + U(M,) = - MV2(t,) + U(M2) =değişmez
Devinim sırasında, toplamları değiş- meksizin, kinetik enerji potansiyel enerjiye ya da potansiyel enerji kinetik enerjiye dönüşebilir. Salınan bir sarkaç, bu tür alışverişlere yalın bir örnek oluşturur:
- MV2 kinetik enerji, V’ye bağlı olarak
artıp azalırken Mgz potansiyel enerjisi (z sarkacın izlediği yolun en alt ve en üst noktaları arasındaki uzaklığı gösterir),
~ MV2 + Mgz = değişmez
olacak biçimde ters yönde değişir.
Sözkonusu yalıtılmış sistem, sarkaç ve Yer'den oluşur; bu sistemde devinimsiz varsayılan Yer salınıma yol açan çekim kuvvetini doğurur.

Enerji ve görelilik.


Görelilikte, enerjinin korunumu yasası geçerliğini korur, ama, kinetik enerjiyi veren bağıntı değişime uğrar: bir v hızıyla yerdeğiştiren, M kütleli bir cismin enerjisi şu eşitlikle gösterilir: Mc2 eşitlikte c, ışık hızıdır. Bu bağıntıdan, v=0 olduğunda, enerjinin sıfır olmadığı ve değerinin E0=Mc2olduğu sonucu çıkar; E0'a dinginlik enerjisi ya da kütle enerjisi adı verilir. Klasik mekanikte bilinmeyen bu bağıntı, birbirine dönüşebilen kütle ve enerji arasındaki bir eşdeğerliği gösterir: bu dönüşüm türü, çekirdek ve temel parçacıklar fiziğinde çok sık kullanılır.

Yukarıdaki bağıntının bir başka sonucu da, kütlesi sıfır olmayan bir parçacığın, c hızına ulaşmasının olanaksızlığıdır, çünkü böyle bir hız için parçacığın sonsuz bir enerji taşıması gerekir (enerji bağıntısında, v=c eşitliğini kullanarak da kanıtlanabilir).

enerji biçimleri, kaynakları dönüşümleri, üretimi ve kullanımı


Enerji biçimleri.


Güneş'ten gelen ışık (ya dâ Işıma) enerjisi, günümüzde var olan hemen bütün enerji biçimlerinin kökenini oluşturur: odun ve besinler doğrudan Güneş enerjisinden kaynaklanır; kaynağı yine Güneş olan fosil yakıtlar çok uzun süreli bir enerji depolanmasından doğar; nitekim petrol, doğal gaz ve kömür gibi fosil yakıtlar milyonlarca yıl önce yaşamış organizmaların dönüşüm ürünleridir.
Güneş'in yeryüzünde, biri termodinamik ve ısıl, öbürü fotobiyolojik (fotosentez) olmak üzere iki temel işlevi vardır. Güneş enerjisi bitkisel ve hayvansal yaşamın biyokimyasal tepkimeleri için zorunlu sıcaklık ve ışık koşullarını sağlayan tek etkendir Organizmalar Güneş enerjisini soğurur ve vücutlarında depolar. Yeşil bitkiler Güneş enerjilini kullanarak fotosentezle, C02+H20 İkilisini indirger ve kimyasal bireşimler gerçekleştirir:
6H20+6C02+ güneş enerjisi (fotonlar) - (CH20)6+602.

Kimyasal enerji


besinlerin, bitkilerin, yakıtların potansiyel enerjisi biçiminde, doğrudan ışık ya da Güneş enerjisinden türer. Dolayısıyla bu enerji biçimi büyük ve yoğun enerji stokları sağlar. En yaygın kullanım biçimleri, yanıcı maddelerin hızlı ve tam yükseltgenmesinden kaynaklanan ve ısı açığa çıkaran yanma ya da daha yavaş, kimi zaman sınırlı yükseltgenme şeklinde oluşan mayalanma ve solunum'dur. Çok hızlı yanma (patlama), barutlar ve patlayıcılarla elde edilir.
Isıl enerji, kimyasal enerji ile birlikte, insanoğlunun ısınmak ve besinlerini pişirmek için kullandığı ilk enerji türlerinden biridir. Bu enerji, ışımanın kullanımı şeklinde doğrudan Güneş enerjisinden ya da yakıtlardan ve bunların depoladığı kimyasal enerjiden elde edilir. Öte yandan ısıl enerji, ısıl makinelerle başka enerji biçimlerine dönüştürülür.

Hidrolik enerji


ya da "beyaz kömür” de Güneş'e dayanır. Güneş ışıması, denizlerin, göllerin vb.’nin suyunu buharlaştırarak bulutları oluşturur; bunlar dağlara kar ya da yağmur biçiminde düşüp su çevriminin sürekliliğini sağlar. Dağ göllerinde (doğal ya da yapay) biriken suyun potansiyel enerjisi, türbinlerde mekanik enerjiye dönüştürülerek hidrolik enerji biçiminde elektrik enerjisi üretiminde (alternatörler) kullanılır.

Mekanik enerji,


işe dönüşmüş biçimiyle, insanoğlunun bütün gereksinimlerini karşılayan, kaçınılmaz bir enerji türüdür. Eskiden insan, yer değiştirmek ya da yiyecek, giysi, konut vb. üretmek için yalnız kendi kas enerjisinden yararlanıyordu. Daha sonra hayvanları, rüzgârı ve suyu kullandı; nihayet enerji dönüşümleriyle doğrudan ısıl motorları çalıştırmak ya da elektrik enerjisi üretmek için, çok çeşitli yakıtlara baş vurdu.

Elektrik enerjisi


günümüzde, başka enerji biçimlerine (ısıtma, aydınlatma, mekanik enerji vb.) dönüştürme ve iletim olanakları nedeniyle kullanışlı ve çok yaygın bir geçiş enerjisidir (ne birincil ne de son). Genellikle santrallarda mekanik enerji üreteçlerle ya da alternatörlerle çevrilerek elde edilir.

Nükleer enerji


kökeni Güneş olmayan tek enerji türüdür. Kütle-enerji eşdeğerlik bağıntısıyla (E=mc2), kimi hafif elementlerin çekirdekleri düzeyindeki kaynaşma ve kimi ağır elementlerin çekirdekleri düzeyindeki parçalanma tepkimelerinden doğar. Günümüzde bu enerji, uranyum atomlarının ya da uranyumun başkalaşından doğan plütonyum atomlarının parçalanmasıyla üretilir. Parçalanmanın açığa çıkardığı ısı enerjisi genellikle doğrudan mekanik enerjiye ve ardından elektrik enerjisine dönüştürülür.

Enerji kaynakları.


Enerji kaynakları (ya da enerjinin ilk biçimleri), yenilenebilir enerjiler ve yenilenemeyen enerjiler ya da fosiller biçiminde sınıflandırılır.
Fosil enerjileri, gerçek anlamda ancak birkaç yüzyıldan bu yana kullanılagelen katı, sıvı ve gaz yakıtlar oluşturur. Çok büyük ölçülere varan tüketimi sonucu bu kaynakların tükenme tehlikesi ortaya çıkmıştır.(Bakınız Fosil yakıtlar)
Jeolojik zamanlar boyunca, bitki örtüsünün aşırı bolluğu ile yerkabuğundaki dönüşümlerin birleşimi çok derinlerde hidrokarbonlu maddelerin (eğreltiler, ağaçlar vb.) birikimine yol açtı. Bu maddeler sıcaklığın, basıncın ve mikroorganizmaların etkisi altında hidrojen ile oksijenin büyük bir bölümünü yavaş yavaş yitirdi; böylece az çok arı karbon katmanları yani taşkömürü ve linyit oluştu; günümüzde işletilen katı yakıtlar işte bunlardır.

Öbür organik artıklar, aynı etkenlerin etkisiyle petrol ve doğal gaz1 a dönüştü. Kimi kayaçların kütlesi içinde, ince hidrokarbon damlacıkları oluştu, bunlar basınç altında göç ederek, gözenekli ya da çatlak kayaçlarda yoğunlaştı. Böylece oluşan sıvı ya da gaz hidrokarbonlar geçirimsiz bir katmana rastlayarak durdurulunca petrol içeren cepler ve yataklar ortaya çıktı. Petrol ve doğal gaz rezervleri Yer yüzeyinde eşit dağılmamıştır; bu rezervler çok az sayıda ülkede yoğunlaştığı görülür ve çoğu kez ulaşılması çok güçtür (okyanusların dibi, Arktika bölgeleri), insanın ve geliştirdiği sanayinin artan gereksinimleri ile kaynak sınırlığı enerji bunalımını gündeme getirdi, iki yüzyıl içinde, dünya petrol rezervleri büyük olasılıkla tükenecektir.

Bitümlü şistler ve kumlar önemli bir hidrokarbon rezervi oluşturur; ne var ki bunların işletilmesi, çözümü güç çevre kirliliği sorunlarını da beraberinde getirir. Kömür rezervleri ise bir süre sıvı ve gaz yakıtların yerini alabilecek düzeydedir; nitekim bu rezervler yerkabuğunda çok daha bol bulunur ve dağılımları daha dengelidir. Ama bu alanda da, ocaklarda ya da yerinde işletme (gazlaştırma, sıvılaştırma), çevre ve toplum sağlığını bozucu etkilere yol açar. Üstelik katı yakıtların kullanımı daha kısıtlı, daha güçtür.

Nükleer enerjinin temelini oluşturan uranyum da yenilenemeyen bir enerji kaynağıdır ve fosil denen klasik yakıtların tersine, parçalanabilir bir yakıt türüdür. Çok düşük oranlarda da olsa, yerkabuğunun birçok kayaç türü içinde uranyuma rastlanır. Çıkarma, özütleme ve enerjiye dönüştürme giderleri çok yüksektir. Kaldı ki bir gün için işletilebilir rezervler sınırlıdır; oysa yeryüzünde her yanda deniz suyunda bile, göz ardı edilemeyecek ölçüde uranyum vardır, ama aşırı seyreltik haldedir. Cevheri önce yoğunlaştırmak, sonra, nükleer santrallarda kullanmadan önce metali parçalanabilir izotoplar (U 235) biçiminde zenginleştirmek gerekir.

işletilebilir uranyum rezervleri, günümüzdeki klasik yöntemlerle işlenirse ve başka teknikler bulunamazsa, fosil yakıtlardan daha çabuk tükenme tenlikesiyle karşı karşıyadır. Bununla birlikte kuluçka reaktörler, parçalanabilir madde rezervlerini hemen hemen tükenmezleştirme olanağını sunmaktadır. Nükleer parçalanma enerjisi, yenilenebilir enerji kaynaklarının kullanımı yaygınlaşıncaya dek, insanlığın gereksinimlerini karşılayacağı sanılmaktadır.
Gerçekten, fosil ve hatta parçalanabilir yakıtların sınırlı olması, kimi kez "yeni enerji” adıyla belirtilen, yenilenebilir enerji kaynaklarına olan ilgiyi artırmıştır; bu yeni seçenekler, etkili biçimde olmasa bile, insanların ilk kullandığı, daha sonra kömür, özellikle petrol ve doğal gaz gibi daha yoğun, kullanımı daha kolay enerjiler yüzünden terk ettiği enerji türleridir. Yenilenebilir enerjilenn, çoğu kez, çevreye fosil enerjilerden daha az zarar vereceği düşünülmekte ve kolay yararlanılabilir bazı enerji türlerine yeğlenmektedir.

Odun (ya da genel olarak biyokütle), uzun süre insanlığın hammadde ve enerji kaynağını oluşturdu. Sanayileşmiş ülkelerde yerini fosil enerji kaynaklarına bırakan odun, gelişmekte olan ülkelerde, hâlâ en yaygın yakıttır. Dünyada yaklaşık bir milyar metre küp odun yakıt olarak kullanılmıştır. Öte yandan bitkisel ya da hayvansal artıklar da enerji kaynağı olarak kullanılır (mayalanma biyogazı).

Hidrolik enerji
de yenilenebilir bir enerji biçimidir; eskiden su değirmenlerinde kullanılan bu enerji kaynağından, günümüzde hidroelektrik santrallarda (baraj ve akarsu tipi) ve mikrosantrallarda yararlanılır.
Gelgit enerjisi, gelgit olaylarından kaynaklanan çok büyük su kütlelerinin düzenli salınımlarına dayanır. Bu enerji ancak, rezonans olaylarının yüksek ve alçak sular arasındaki yükselti farkını güçlendirdiği belli bölgelerde işletilebilir. Rance'da kurulan gelgit santralı, bu alandaki ilk işletmedir.
Soluğan ve dalga enerjisi'ni kontrol altına almak güçtür; bu enerjinin kullanımı henüz küçük ölçekli deneme evresini aşamamıştır.

Denizlerin ısıl enerjisi, sıcak denizlerin yüzey suları ile derin suları (her yerde 4 °C) arasındaki sıcaklık farkından yararlanmaya dayanır ve bu alanda çok sayıda araştırma yapılmaktadır, ilk denemeleri, 1930'a doğru Georges Claude gerçekleştirdi. Verim düşük, ama kullanılabilir enerji çok büyüktür.
Jeotermik enerji, çok derinlerde yer alan yeraltı örtülerinin sıcakları ve buharından ya da gayzerlerin buharından kaynaklanır; bu enerji özellikle, engebeli, volkanik bölgelerde kolayca işletilebilir; çünkü çok sıcak sular yüzeye yakındır.
Rüzgâr enerjisi'nden, yel değirmenlerini, aerojeneratörleri çalıştırma ve yelkenlerle gemilerin itme gibi çok çeşitli, ama verimi sınırlı birçok uygulamada yararlanıldı. Düzensiz niteliğinden dolayı, bu enerji kaynağının kullanımındaki güçlük henüz yenilememiştir.

Güneş enerjisi'nin birçok kullanım biçimi vardır: düzlem kolektörlerle düşük sıcaklıkta ısıya çevirme ya da yoğunlaştırarak orta, yüksek ve çok yüksek sıcaklıkta ısıya dönüştürme; fotovoltaik hücrelerle doğrudan elektrik elde etme. Bu enerjinin sanayide kullanımında kesikli ve dağınık olmasından, depolama gerektirmesinden kaynaklanan sakıncaları vardır. Bununla birlikte XXI. yy. için, insanlığın en önemli ve tükenmez enerji kaynağı olarak büyük umut vermektedir.
Son olarak, potansiyel olarak tükenmez enerjiler arasında, yerküre üzerinde çok büyük miktarlarda bulunan hafif çekirdeklerin (özellikle döteryum, trityum) kaynaşmasından doğan termonükleer enerjiyi de saymak gerekir. Denetimli kaynaşma yolunda belli gelişmeler görülse bile, sanayisel işletimi henüz uzak bir hedef olmaktan kurtulamamıştır ve bu enerji türünün bir patlama yapması bugün için olanaksızdır.

Dönüşümler


insanlığın gereksinim duyduğu toplam enerji miktarı, Yer üzerinde bulunan potansiyel enerjiye oranla çok küçüktür; ne var ki bu enerjinin doğal biçimlerinden tam yararlanmak olanaksızdır; dolayısıyla bu potansiyel enerjiyi başka enerji türlerine dönüştürmek zorunludur.
Her enerji dönüşümü, çok büyük ölçülere varan yitimler'e yol açar. Bu yitimler değersizleşmiş denen eperjinin (ısıl enerji), daha değerli enerji biçimlerine (örneğin mekanik enerji) dönüşümünde sözko- nusudur; bu tür dönüşümlerin maksimum kuramsal verimini Carnot hesapladı. Buna karşılık, değerli enerjiden (mekanik enerji, elektrik ve ışıma enerjisi) değersizleşmiş enerjiye geçiş, oldukça düşük yitimlerle sağlanabilir.
Çok sayıda enerji dönüşüm olanağı vardır.

Üretim ve kullanım.


Enerji vektörü, ilk biçimiyle enerjiyi her zaman kullanma, taşıma ya da depolama olanağı yoktur. Dolayısıyla insan enerji vektörleri denen, kullanışlı, dönüştürülmüş (ya da ikincil) enerji biçimlerinden yararlanmak zorundadır. Elektrik, taşıma ve öbür enerji biçimlerine dönüşme bakımından çok uygun bir enerji vektörüdür. Hidrojen, değerli enerji biçiminde depolanabilen bir enerji vektörü oluşturur. Doğal gaz (fosil) hem bir kaynak, hem de bir enerji vektörü olabilir; bireşim ya da ornatma gazı ise, taşıma, dönüştürme ya da depolama için elverişli bir enerji vektörüdür. Yaygın bir başka enerji vektörü de, konutlarda sıcak su, sanayisel uygulamalarda az çok yüksek basınçta su buharı gibi ısı taşıyıcı akışkanlardan oluşur.
Enerji depolama, insanın enerji gereksinimi ve enerji üretimi çok değişkendir; üretim ve tüketim hiçbir zaman doğal biçimde dengelenemez; bu yüzden üretim fazlasını, gereksinim arttığında kullanmak için depolamak gerekir Kaldı ki üretim ve tüketimi dengelemek için de depolama kaçınılmazdır. Yapıları gereği fosil yakıtları yoğun ve basit biçimde depolama çok kolaydır: depolanmış fueloil, kömür, gereksinim duyuldukça yakılır. Hidrolik enerji, engebenin elverişli olması koşuluyla, büyük miktarda su depolamayı (baraj gölü) gerektirir. Bununla birlikte yeni enerji türleri (nükleer enerji, Güneş enerjisi) çok önemli depolama sorunları yaratır (hidrojen, hidrolik pompalama, sıkıştırılmış hava, ısıl depolama).

Enerji tasarrufu.


Fosil enerji kaynakları tükenmeye yüz tutmuştur, nükleer enerji yetersizdir ve çok büyük yatırımlar ister; yeni enerjiler ise 2000 yılına değin ancak sınırlı bir etkinlik gösterebilir. Enerji kaynaklarının, istenen yaşam düzeyini ve insanlığın gereksinimlerini karşılamada yetersiz kalacağı kuşkusu vardır. Dolayısıyla enerji tasarrufu yapmak, yani gereksinimleri kısmak, aygıtların, yöntemlerin, enerji dönüşümlerinin verimini artırmak zorunludur. Bu amaçla yeni teknolojiler geliştirilmiştir. Bu teknolojilere şu örnekler verilebilir: toplam enerji, yani tek yakıtla aynı anda ısı ve mekanik ya da elektriksel enerji üretimi (gaz türbinlerinden ve gerikazanım kazanlarıyla birlikte ısıl motorlardan ya da karşıbasınçlı buhar türbinlerinden yararlanma); mekanik sıkıştırma enerjisiyle dış ortamın (hava, su) ısısını alan ısı pompalarının kullanımı. Ayrıca bu amaçla klasik teknolojiler de kulanılabilir: çok iyi bir yalıtım, sürtünmeleri azaltma vb. Sonuç olarak enerji tasarrufu, yeni bir enerji kaynağına eşdeğerdir.
enerjinin coğrafyası insan toplulukları, enerjileri farklı biçim ve verimle kullanır: 1 kg petrol yandığında, 10 000 kilokalori verir; aynı miktar doğal gazdan ortalama 8 000 kcal, kömürden 7 000 kcal ve linyitten 2 300 kcal elde edilir; 1kWh’lık elektrik enerjisi 2 800 kcal sağlar. Bu nedenle, karşılaştırma yapmak için eşdeğerlik birimleri hazırlandı. Kömürün eski üstünlüğü nedeniyle yıllarca karşılaştırma birimi olarak kömür eşdeğer tonu (tec) kullanıldı; hâlâ güncelliğini koruyan hidrokarbonların üstünlüğü nedeniyle birim olarak petrol eşdeğer ton (tep) benimsendi. Petrolün ısıl gücü, kömürün yaklaşık bir buçuk katıdır, dolayısıyla iki eşdeğerlik sistemi arasında, eşit enerji miktarlarıyla aynı oran vardır.

XX. yy. başlarına değin düşük olan enerji gereksinimi (1900’de 770 Mtec), Birinci Dünya savaşt'ndan önce gözle görülür biçimde arttı (1913'te 1 800 Mtec), sonra bir çeyrek yüzyıl boyunca kararlılığını korudu (1929'da yaklaşık 1 900 Mtec, 1937’de 2 000 Mtec'den biraz fazla). 1945’ten sonra istem daha hızlı arttı: 1950’de yaklaşık 2 500 Mtec, 1960'ta 4 200 Mtec, 1970’te 6 800 Mtec, 1975'te 10 000 Mtec’ın üstünde (yaklaşık 6 500 Mtep); bu tarihten sonra istem hemen hemen kararlılaştı.
Öte yandan, çeşitli enerji kaynaklarının rolü yıllar boyunca değişikliğe uğradı. 1820'de, kulanılan toplam enerjinin % 90’ını oluşturan odunun, 1913'te ancak altıda birlik bir payı vardı. Bu enerji kaynağı, özellikle 1850'li yıllardan başlayarak yerini, enerji verimi yüksek olan kömüre bıraktı (1850'de tüketilen enerjinin % 10'u; 1880'de % 40; 1913'te °/o 84). Böylece kömürün yarım yüzyıllık saltanatı başladı; bu saltanat önce tartışılmaz düzeydeydi (1929'da, kullanılan enerjinin % 80'ini oluşturuyordu), sonra gittikçe zayıfladı (1937’de % 75, 1961'de % 50) 1970'li yılların başına değin hidrokarbonların kullanımında şaşırtıcı bir tırmanış görüldü: bu tırmanış her şeyden önce petrolde (günümüzde tüketilen enerjinin % 45'i) ve yaygınlaşması gecikmişde olsa,yavaş yavaş doğal gazda (tüketilen enerjinin yaklaşık °/o 20’si) gerçekleşti. Büyük rezervleri olan petrol şirketlerinin, 1971’e değin düşük fiyat politikası uygulamaları (1960-1970 arasında, afişe petrol fiyatları ancak % 25 arttı), hidrokarbonların enerji değerini daha da artırdı. 1991 yılında dünyanın tükettiği 7,8 milyar tep enerjinin % 39,7'si ham petrolden, % 26,9’u katı yakıtlardan, % 21,7'si doğal gazdan, % 11,5'i elektrikten elde edilmiştir. 2000 yılında, 16,58 milyar tep civarında olacağı tahmin edilen dünya enerji tüketiminin ise, % 28 kömür, % 25 petrol, % 22 doğal gaz, % 9 nükleer enerji, % 8 yenilenebilir enerji ve % 6 hidrolik enerji şeklinde dağılacağı öngörülmektedir.

Dünya nüfusunun yaklaşık % 23'ünü oluşturan sanayileşmiş ülkeler, enerjinin % 75'ini tüketir. Bu nedenle, kişi başına
tüketim ortalaması (dünya ortalaması yaklaşık 1,45 tep) ülkelere göre büyük tutarsızlıklar gösterir: Kanada'da 9,63 tep, ABD'de 7,96 tep, Norveç'te 7,71 tep, İsveç'te 6,63 tep, Avustralya'da 5,5 tep, Hollanda'da 5 tep, Finlandiya'da 4,83 tep, Avusturya'da 3,5 tep, Japonya'da 3,26 tep, İtalya'da 2,69 tep, Yunanistan'da 2,27 tep, Portekiz'de 1 tep, Türkiye'de 0,96 tep, Çin'de 0,67 tep, vb.
Belli birkaç ülke dışında, hidrolik ya da nükleer olanaklarla elde edilen elektrik tüketiminin çok düşük oluşu, kömür ve hidrokarbonların rolünün ülkeden ülkeye değişiklik göstermesinden kaynaklanır. Doğu Avrupa ülkelerinde petrol ve doğal gazdan çok, kömür ve linyit kullanılır; ancak Rusya kömürden (% 22,2) çok, hidrokarbon (% 31,1 petrol ve % 39,3 doğal gaz olarak) tüketir; Çin'de ise, hidrokarbon tüketim oranının toplam enerji tüketimi içindeki payı, % 13,8'i petrol ve % 1,8'i doğal gaz olmak üzere toplam % 15,6’ya ulaşır. Kuzey Amerika ve Batı Avrupa ekonomilerinin, azalan oranlarda da olsa, özellikle petrol ve doğal gaz yakmalarına rağmen kömür istemleri de oldukça büyüktür. Buna karşılık Latin Amerika'da, Ortadoğu’da ve zenci Afrika ülkelerinin birçoğunda petrolün yeri hâlâ önemlidir. Gene bu ülkelerde, başta kırsal kesimler olmak üzere hâlâ geniş çapta geleneksel enerjiler kullanılmaktadır; örneğin Orta Amerika'da enerjinin % 30'u odun kömüründen ve % 9’u şekerkamışından elde edilir.

Dünyanın her yerinde, sanayilerin birçoğunun geliştiği ve yaşam düzeyi daha yüksek bir nüfusun yaşadığı kentlerin enerji istemi, kırsal kesimlerden daha yüksektir; bu fark az gelişmiş ülkelerde, sanayileşmiş ülkelere oranla daha belirgindir. Öte yandan, özellikle kışları sert geçen sanayileşmiş ülkelerde, mevsimden mevsime değişen istem farkları da görülür.
1991 yılı dünya enerji üretimi toplam 7 796,4 Mtep; tüketimi 7 807,6 Mtep olarak gerçekleşmiştir. Gene aynı yıla ait verilere göre, toplam enerji tüketiminin bazı ülkelere dağılımı şöyledir: Amerika Birleşik Devletleri 1 940,8 Mtep (479,8 Mtep katı yakıt, 789,2 Mtep ham petrol, 460,2 Mtep doğal gaz, 211,6 Mtep elektrik); Çin 726,7 Mtep (581,1 Mtep katı yakıt, 100,7 Mtep ham petrol, 13,4 Mtep doğal gaz, 31,5 Mtep elektrik); Japonya 399,9 Mtep (76,2 Mtep katı yakıt, 222,2 Mtep ham petrol, 39,2 Mtep doğal gaz, 62,3 Mtep elektrik); Almanya 341,6 Mtep (112,4 Mtep katı yakıt, 133,1 Mtep ham petrol, 56,8 Mtep doğal gaz, 39,3 Mtep elektrik); Büyük Britanya 216,3 Mtep (63,4 Mtep katı yakıt, 82,9 Mtep ham petrol, 54,2 Mtep doğal gaz, 15,8 Mtep elektrik); Fransa 211,5 Mtep (20,3 Mtep katı yakıt, 94,4 Mtep ham petrol, 27,6 Mtep doğal gaz, 69,2 Mtep elektrik); İtalya 151,6 Mtep (15 Mtep katı yakıt, 91,7 Mtep ham petrol, 41,4 Mtep doğal gaz, 3,5 Mtep elektrik). Türkiye’deyse 1991 yılı enerji üretimi 4,4 Mtep (0,2 Mtep doğal gaz, 4,4 Mtep elektrik).

Üretim/tüketim


bilançosuna çeşitli enerji kaynakları girer. Kömür, Çin’de, Polonya'da, Güney Afrika’da ve Hindistan’da, linyit ise Almanya’da önemli yer tutar. Kömür, Japonya'nın ürettiği küçük miktardaki enerjinin yarıdan çoğunu (1989’da 10 milyon tondan fazla), Kuzey Amerika'da yeraltından çıkarılan cevherlerin büyük kısmını (600 Mtep), Rusya'da linyitle aynı oranı ve Batı Avrupa'da 270 Mtep’lik enerjiden fazlasını oluşturur. Buna karşılık Afrika'nın (Güney Afrika dışında), Latin Amerika’nın ve Ortadoğu'nun enerji üretim bilançolarında kömürün önemi azdır.

Sanayileşmiş ülkeler enerjinin büyük bir bölümünü üretseler bile, üretim payı gittikçe azalmakta ve bu yüzden bağımlılıkları artmaktadır. Nitekim Japonya, kullandığı enerjinin ancak % 20'sini üretir. Batı Avrupa’da ise bu oran % 40 ila 45 düzeyindedir; bununla birlikte petrol tüketiminin düşmesi ve nükleer kökenli elektrik üretimindeki gelişmeler sonucu bağımlılığı oldukça azalmıştır. Bu bağımlılık ülkeden ülkeye büyük oranda değişmektedir. Danimarka, Fransa, Belçika, İtalya ve Ispanya enerjisinin çok küçük bir bölümünü kendi ülkelerinde elde ederler. Büyük Britanya, Hollanda ve Norveç, hidrokarbon alanlarını değerlendirmeye başlamalarından bu yana, gereksinim duydukları enerjinin yarısından çoğunu kendileri üretir.. Orta ve Doğu Avrupa (özellikle kömür ve linyit) gibi, Kuzey Amerika da (ABD’nin ham petrol dışalımı çok artmış olmasına rağmen), enerjinin büyük kısmını elde eder. Gerçekte, 1991 yılına dek, sanayileşmiş ülkeler arasında, tükettiğinden daha çok enerji üreten, dolayısıyla dışsatım yapan tek ülke eski SSCB olagelmiştir.

Toplam olarak, Üçüncü dünya tükettiğinin iki katı enerji üretir (bu da tüketiminin ne denli düşük olduğunu gösterir). Üçüncü dünya'da, her büyük coğrafi topluluğun üretimi, tüketimden yüteek olsa da, Çinhindi, Latin Amerika ve Afrika (büyük petrol üreticileri Venezüella, Cezayir, Libya ve Nijerya dışında) petrolden yoksundur. Bu dengesizlik, ÖPEC üyesi ülkelerdeki, özellikle Ortadoğu’daki üretimin önemini yansıtır.

Türkiye'de, Cumhuriyet kurulmadan önce enerji üretimi ve tüketimi oldukça sınırlıydı. Cumhuriyet kurulduktan sonra enerji sanayiden çok, ısıtma amacıyla konutlarda kullanılmaktaydı. Aydınlatma için ise, gazyağı tüketilmekteydi. 1933-1942 dönemi için hazırlanan 1. ve 2. beş yıllık sanayi planlarında enerjiyle ilgili olarak üretimi artırmak, dışa bağımlılığı azaltmak ve döviz tasarruf etmek amaçlandı. Bu dönemde kömür üreten yabancı şirketler ulusallaştırıldı ve Maden tetkik ve arama enstitüsü (MTA), Elektrik işleri etüd idaresi, Etibank ve Petrol ofisi kuruldu. MTA tarafından Raman'da petrol ilk kez bu dönemde, 1940 yılında bulundu.

1950-1960 döneminde liberalizmi benimseyen Demokrat parti hükümeti, altyapı girişimlerine önem verdi, hidrolik ve termik santrallar kurulması planlandı. Enerji üretimi ve tüketimi sanayileşmeye ve ekonomik büyümeye koşut olarak artırıldı. Bu dönemde sanayi kesiminde enerji tüketimi de giderek arttı. Devlet su işleri genel müdürlüğü (DSİ), Türkiye petrolleri anonim ortaklığı (TPAO), Başbakanlık atom enerjisi kurumu, Türkiye kömür işletmeleri (TKİ) bu dönemde kuruldu. Sarıyar (1956), Seyhan (1956), Kemer (1956), Göksu (1959) hidrolik santralları ile Tunçbilek (1956) ve Soma (1957) termik sant- ralları üretime geçti.

1963 yılında planlı kalkınma dönemine girildi.
1. (1963-1967) ve 2. beş yıllık (1968-1972) kalkınma planlarında hidrolik enerji kaynaklarına gereken ağırlığın verilmesi ve elektrik tesislerinin verimli bir şekilde işletilmesi önem kazandı ve 1970’te Türkiye elektrik kurumu (TEK) kuruldu. 3. beş yıllık planda (1973-1977) ise, enerji konusunda dWletçi görüş benimsendi. Gereksinim duyulan elektrik enerjisinin sürekli ve etkin bir biçimde elde edilebilmesi için TEK'in çalışmaları hızlandırıldı. Planlı dönemde TEK'ten başka, Yol su ve elektrik işleri genel müdürlüğü (YSİ) ve Enerji ve tabii kaynaklar bakanlığı kuruldu. 3. beş yıllık plan döneminde başlıca Keban (1974) hidrolik santralı ile Seyitömer (1973), Hopa (1973) ve Aliağa (1975) termik santralları devreye girdi. Bununla birlikte, 3. beş yıllık plan döneminde ekonominin gereksinimi olan enerji, zamanında ve yeterli derecede karşılanamadı. Kömür ve su gibi birincil enerji kaynakları, gereksinimi karşılayacak kadar geliştirilemedi, petrol üretimi artırılamadı ve bu durum enerji kesiminde pır uaıuuyazın oluşmasına neden oldu. 4. beş yıllık kalkınma planında, dönem sonuna değin toplam enerji tüketiminin yüzde 53’ünün birincil enerji kaynaklarından üretilecek enerji ile karşılanacağı belirtilmişti. Yurtdışından elektrik enerjisi aliminin da artırılması planlanmakla birlikte, ilke olarak talebin özkaynaklardan karşılanması esas kabul edildi. (Linyit kömürü ve hidrolik, en önemli enerji kaynağı durumundadır. Ancak bu kaynaklardan yeterince yararlanılamamaktadır.)

Planlı dönemler boyunca toplam enerji üretimi artış hızı giderek azalırken, tüketim hızı arttı. 1977 sonunda enerji talebinin ancak yarısı ulusal kaynaklardan üretilen enerji ürünleri ile karşılanabildi. 3. plan döneminde Bulgaristan ile enerji bağlantısı gerçekleştirildi ve elektrik arzı artırılmaya çalışıldı.

Olgunlaşma dönemi öteki yatırımlara oranla daha uzun olan ve büyük çapta sermayeyi gerektiren enerji yatırımları daha çok devlet eliyle gerçekleştirilmiş, özel kesimin payı ise oldukça sınırlı kalmıştır. Bu yatırımların çoğunluğunun devlet tarafından yapılmasına karşın, enerji üretimi gereksinimi karşılayamamaktadır. Bu durum imalat sanayisine önemli girdi oluşturan enerji için yapılan yatırımların, imalat sanayisi yatırımlarının çok gerisinde kalmış olmasından kaynaklanmaktadır.
Enerji kesimi, sermayeyoğun bir yapıya sahiptir. Bu nedenle talebi karşılayabilmek için, her yıl giderek artan ölçüde yatırım yapmak gerekmektedir. Enferji kesiminin gerek duyduğu yüksek teknoloji olanakları, Türkiye’de yeterli düzpye ulaşamadığı için, yatırımlarda bir tıkanıklık olmuştur. Deneyimli, yetenekli, nitelikli eleman yokluğu ise, kurulan işletmelerin etkin bir şekilde yönetilememesine neden olmaktadır.

Türkiye’de birincil enerji kaynağı olarak, linyit, taşkömürü, hidrolik ve jeotermal enerji, hayvan ve bitki artıkları ve az miktarda Güneş enerjisi kullanılır, ikincil enerji türleri ise elektrik, kok ve havagazıdır.
Dünya enerji kaynakları rezervleri içinde Türkiye'nin payı taşkömürü, linyit ve asfaltta °/o 0,5, uranyumda % 0,1, toryumda °/o 77, hidrolik potansiyelde % 1'dir. Saptanmış petrol ve doğalgaz rezervleri ise önemsizdir.
Türkiye’de elektrik enerjisi üretiminin % 62,3'ünü termik santrallar sağlar. Bu santrallarda tüketilen birincil enerjilerin paylarını ise, şöyle sıralayabiliriz: taşkömürü % 2,1, linyit % 86,9, akaryakıt % 3,3 ve diğer (% 7,7). Hidroelektrik enerjisi üretiminin payı ise % 37,7'dir (1991). Öte yandan uranyum rezervlerinin 4 289 ton ve toryum rezervlerinin 358 000 ton olduğu sanılmaktadır. İlk nükleer santral; Mersin-Akkuyu'da kurulmak üzere ihaleye çıkarılmıştır, ikinci nükleer santralın ise Karadeniz kıyılarında kurulması düşünülmektedir.

—Zootekn.

Enerji alımı.


Hayvancılıkta yemle sağlanan enerji alımı çoğunlukla hayvanın ihtiyaçlarını karşılamakta yetersiz kalır ve bu yüzden hayvanın performanslarını sınırlayıcı başlıca etmen olur. Bu nedenle, bu alımın düzeyini hesaplayabilmek için besin enerji birimleri kabul edilmiştir. Alınan besinlerin kaloriyle hayvansal organizmaların ihtiyaçları göz önüne alınarak belirlenen bu birimler, enerji ihtiyaçlarının karşılanması için gerekli mik tarı belirlemeye yarar.

Ele alınan hayvan türüne göre, kullanılan enerji birimi ya sindirilen enerji anlamına gelir, yani sindirilen ham enerji ile dışkı yoluyla kaybedilen enerji arasındaki farktır (tek mideli hayvanlar) ya da metabolizma enerjisi anlamına gelir, yani sindirilen enerji ile sindirim sırasında oluşan gazlarla ve idrar yoluyla kaybedilen enerji arasındaki farktır (gevişgetiren hayvanlar).
Net enerji, hayvan için gerçekten etkili, olan enerjidir yani metabolizma enerjisi ile ısı olarak dışarıya verilen enerji arasında
ki farktır (bu ikinci enerji besinlerin tüketimine ilişkin kayıpları da içerir).

Yem rasyonlarını formüle bağlamayı kolaylaştırmak için, yem enerji birimleri belirlenmiştir. Örneğin Fransa’da yem birimi bir kilogram arpada bulunan net enerji miktarıdır. Almanya’da ve öteki Avrupa ülkelerinde nişasta birimi kullanılır; nişasta birimi, besi için gerekli bir kilogram nişastanın net enerjisidir (yem biriminin 3/4'ü). Anglosakson ülkelerinde genellikle Total Digestible Nutrients (toplam sindirilen besin) birimi kullanılır ki, sindirilen enerji birimi demektir. Ayrıca şunu da belirtmekte yarar var, kümes hayvanlarının beslenmesi için enerji ihtiyaç ve alımları kalori olarak hesaplanır.

Enerji ihtiyacı,


hayvansal organizmalar termodinamiğin ilkelerine uyarlar Her şeyden önce yaşamsal işlevlerini sürdürebilmeleri için enerjiye ihtiyaçları vardır; varlığını-sürdürmek için gerekli enerji ihtiyacı vücut yüzeyiyle orantılıdır; ayrıca, evcil hayvanlar bakımından, büyüme, gebelik, süt verme, yumurtlama, vb. işlemler için de enerjiye ihtiyaç vardır.
Enerji ajansı (Uluslararası—) [A.I.E.], 1974’te, Ekonomik işbirliği ve kalkınma teşkilatının bünyesinde, 18 kasım 1974 tarihli Uluslararası enerji programı’nı uygulamak amacıyla oluşturulan kuruluş. AET'nin 11 üyesi (Fransa hariç), Avusturya, Avustralya, ABD, İsveç, İsviçre, Kanada, Japonya, Norveç, Türkiye ve Yeni Zelanda kuruluşa üyedir.
Enerji ve tabii kaynaklar bakanlığı, enerji ve doğal kaynakların yararlı biçimde kullanılmasını ve geliştirilmesini sağlamak amacıyla 1963'te kurulmuş bakanlık. 19 şubat 1985 tarih ve 3154 sayılı yasayla bugünkü biçimini aldı.
Ana hizmet birimleri şunlardır: Maden dairesi, Enerji dairesi, Bağlı ve ilgili kuruluşlar dairesi, Teftiş kurulu, Araştırma planlama ve koordinasyon kurulu, Personel dairesi ve İdari ve mali işler dairesi başkanlıkları, Hukuk, Bakanlık ve Basın ve halkla ilişkiler müşavirlikleri, Savunma sekreterliği, Özel kalem müdürlüğü.

Bakanlığın bağlı kuruluşları Elektrik işleri etüd idaresi, Maden tetkik ve arama ve Petrol işleri genel müdürlükleridir.
İlgili kuruluşlar TEK, Türkiye kömür işletmeleri kurumu, Etibank, Türkiye taşkömürü kurumu işletmeleri, Türkiye demir- çelik işletmeleri ve Türkiye petrolleri anonim ortaklığı genel müdürlükleridir.
TEMSAN, ÇİNKUR, Karadeniz bakır işletmeleri, GERONSAN, BOTAŞ ve DİTAŞ genel müdürlükleri, bakanlıkla ilgili kuruluşlara bağlı yan kuruluşlardır.

Kaynak: Büyük Larousse

Son düzenleyen Safi; 14 Ağustos 2016 22:29
asla_asla_deme - avatarı
asla_asla_deme
VIP Never Say Never Agaın
10 Ekim 2008       Mesaj #3
asla_asla_deme - avatarı
VIP Never Say Never Agaın

Enerji


Günlük konuşma dilinde, çok iş yapan ve her an iş yapmaya hazır olan kişilere "enerjik" deriz. Fizik ve mühendislik bilimle­rinde de "enerji" ile "iş" arasında benzer bir ilişki vardır. Çünkü bir işin yapılabilmesi için mutlaka enerji gereklidir.
Enerji, bir yakıtın kimyasal enerjisinden bir pilin ya da başka bir elektrik kaynağının sağladığı elektrik enerjisine kadar çok değişik biçimlerde bulunabilir ve hangi biçimde bulu­nursa bulunsun belirli bir işin yapılmasını sağlayabilir. Örneğin bir lokomotif bir treni çekerek yaptığı işi motorunda yanan dizel yakıtının kimyasal enerjisine, ağır yükleri kaldıran bir vinç ise motorunu çalıştıran elektrik enerjisine borçludur.

Bir cismi iten ya da çeken bir kuvvet de o cismi hareket ettirebiliyorsa mekanik bir iş yapıyor demektir. Ama uygulanan kuvvet cismi yerinden oyna-tamadığı sürece iş yapmış sayılmaz. Sözgelimi ağır bir cismi kaldırıp rafa koyması istenen kişi bunu başarırsa bir iş yapmıştır. Ama yük kaldıramayacağı kadar ağırsa, ne kadar çaba harcamış olursa olsun, yararlı bir iş yaptığı söylenemez.

Cismin kaldırılıp rafa konulması örneğinde, bu işin yapılmasını sağlayan enerji, o kişinin kaslarını çalıştıran kimyasal enerjidir. Üstelik rafa kaldırılmış olan cismin de artık bir potansiyel enerjisi vardır. Çünkü o yükseklik­ten yere düşerek bir iş yapma "gücüne" kavuşmuştur ve yere düştüğü zaman yaptığı iş rafa kaldırılması için yapılmış olan işe denk­tir. Kısacası, o cismi rafa koyan kişi bu işi yaparak kaslarındaki kimyasal enerjiyi cismin potansiyel enerjisine dönüştürmüştür.
Cismin raftan aşağı düştüğünü varsayalım. Bu durumda, cismin kütlesi üzerine etki eden yerçekimi kuvveti cismin giderek daha hızlı düşmesine yol açar . Böylece raftaki cismin potansiyel enerjisi, yerçekimi kuvvetinin etkisiyle harekete geçen kütlenin kinetik enerjisine dönüşmüş olur. (Kinetik sözcüğü hareketle ilgili anlamındaki Yunanca kinesis sözcüğünden türemiştir.)

Görüldüğü gibi enerji bir biçimden başka bir biçime dönüşebilir; bu dönüşümü gerçek­leştiren de yapılan iştir. Enerjinin bir biçim­den başka bir biçime dönüşmesinde, dönüşü­mün sonundaki toplam enerji, dönüşüm ön­cesindeki toplam enerjiye eşittir. Bu, enerji­nin korunumu diye bilinen önemli bir ilkedir. Enerji dönüşümünü gerçekleştirmek için yapılan işin miktarı, yeni bir biçime dönüş­türülen enerjinin miktarına eşittir. İş biri­mi joule'dür (jul); enerji yapılan işle ölçüldü­ğü için enerji de joule'le ölçülür.

Potansiyel enerji ile kinetik enerji mekanik enerjinin değişik biçimleridir. Bir cismin yük­selmesinden kaynaklanan potansiyel enerji, cismin kütlesine ve çıkarıldığı yüksekliğe bağ­lıdır. Gerilen bir yayın da potansiyel enerjisi vardır: Eğer gergin bir yaya ağırlık bağlar ve sonra serbest bırakırsanız, yay bu ağırlığı kaldırarak iş yapmış olur.

Hareket eden bir cismin kinetik enerjisi ise kütlesine ve hızına bağlıdır. Cismin kütlesi iki katına çıkarsa kinetik enerjisi de iki katına çıkar; bu nedenle bir beyzbol topunu durdur­mak, bir tenis topunu durdurmak için gerekli olandan daha çok güç harcamayı gerektirir. Ama, hareket eden cismin hızı iki katına çıkarsa kinetik enerjisi dört katına çıkar. Bunu bilimsel bir anlatımla söylersek, kinetik enerji hızın karesiyle doğru orantılıdır. Saatte 100 km hızla yol alan bir otomobilin fren yapınca durma uzaklığı, saatte 50 km hızla giden otomobilin fren yapınca durabileceği uzaklığın dört katıdır.

Bir ırmağın suyu yüksek bir barajın ardında toplanırsa potansiyel enerji kazanır; önünde­ki set yıkılırsa büyük bir hızla vadiye akar ve önüne çıkan her şeyi sürükleyip götürür. Baraj gölünde toplanan su borularla aşağıya akıtılırsa, potansiyel enerji bu hareketle kine­tik enerjiye dönüşür. Bir türbini döndürerek mekanik bir iş yapan bu suyun kinetik enerji­si, türbine bağlı bir dinamo yardımıyla elek­trik enerjisine dönüştürülebilir. Böylece me­kanik iş, barajdaki suyun potansiyel enerjisini önce kinetik enerjiye dönüştürmüş, sonra bu kinetik enerji gene mekanik iş yardımıyla elektrik enerjisine dönüştürülmüş olur.
Yakın zamanlara kadar ısı da bir enerji biçimi sayılıyordu. Ama bugün bilim adamları bu konuda farklı düşünüyorlar ve ısıyı moleküler enerjinin bir cisimden başka bir cisme aktarıldığı bir süreç olarak kabul ediyorlar. Bir gazocağının üstündeki tencere, moleküllerinin mekanik enerjisi arttığı için ısınır. Yanan gazın kimyasal enerjisi açığa çıkar ve bu enerji gaz moleküllerinin daha yüksek hızla hareket etmesine, böylece daha çok mekanik enerji kazanmasına yol açar. Bu mekanik enerji ısı yoluyla tencerenin ve içindeki suyun moleküllerine aktarılır. Hem iş, hem ısı enerjiyi aktardığı ya da başka bir enerji biçimine dönüştürdüğü için iş ve ısı eşdeğer süreçler olarak kabul edilebilir.

Suyu yüksek bir depoya çıkarmak için, elektrik motoruyla çalışan bir pompa kullan­dığımızı ve böylece elektrik enerjisini potansi­yel enerjiye dönüştürdüğümüzü varsayalım. Kullanılan elektrik enerjisinin tümü suyun potansiyel enerjisine dönüşmez. Bir bölümü sese dönüşür; oldukça büyük bir bölümü de ısı yoluyla motorun tellerindeki, makine par­çalarındaki ve sudaki moleküler enerji kaza-nımına dönüşerek onları ısıtır. Bu olayda kullanılmış olan enerjide hiçbir kayıp olma­mış, yalnızca enerjinin bir bölümü "istenme­yen" biçimlere dönüşmüştür. Buna "enerji kaybı" denebilir. Enerji kaybının en önemli nedeni ısıdır. Bir elektrik ampulü kullanılan elektrik enerjisinin ancak beşte birini ışığa dönüştürür; geri kalanı ısı yoluyla yok olur. En verimli içten yanmalı motorlarda bile kullanılan yakıtın enerjisinin beşte üçü boşa gider.
Motorların çoğunda görülen bu enerji sa­vurganlığı çevre kirliliğine ve zaten kısıtlı olan doğal enerji kaynaklarının hızla tükenmesine yol açtığı için kaygı vericidir . Su, rüzgâr ve güneş enerjisi her zaman boldur; ama kömür, ham petrol ve doğal gaz gibi enerji kaynakları kısıtlıdır. Bilim adamları dünyadaki enerjiden yararla­nabilmenin yeni yollarını arıyorlar. Maddeyi oluşturan atomların içindeki çok büyük ener­jiyi açığa çıkarmak bu konuda atılmış önemli bir adımdır . Ama gü­nümüzde nükleer enerji üretiminde kullanı­lan uranyum kaynakları da bir gün tükene­cektir.
İnsan vücudu da sindirdiği besinlerdeki kimyasal enerjiyi yanmaya benzer bir süreçle kullanır

Msxlabs & Temel Britannica
Son düzenleyen Safi; 14 Ağustos 2016 22:33
Şeytan Yaşamak İçin Her Şeyi Yapar....
ener - avatarı
ener
Ziyaretçi
12 Ağustos 2011       Mesaj #4
ener - avatarı
Ziyaretçi
Morpa Genel Kültür Ansiklopedisi & MsXLabs.org

Enerji


Bir sistemin iş yapma yeteneğinin ölçüsü (simgesi E). Potansiyel ve kinetik enerji olmak üzere ikiye ayrılır. Potansiyel enerji ( U) , bir cismin ya da sistemin konumuna bağlı olan bir özelliktir ve sistemi belli bir standart konumdan bulunduğu konuma getirmek için yapılması gereken işe eşittir. Örneğin, ivmesi g olan yerçekimi alanında belli bir referans düzleminden (sözgelimi deniz seviyesinden) h kadar yükseğe konulan m kütlesinin potansiyel enerjisi U=mgh ile verilir. Cismin bulunduğu konumdan referans düzlemine düşerken bu enerji kinetik enerjiye dönüşür. Kinetik enerji ( T), hareketten kaynaklanır ve cismi durdurmak için gerekli işe eşittir. Yer değiştirme hareketi yapmakta olan bir cismin çizgisel hızı v ise, kinetik enerjisi T=mv2/2 formülüyle verilir. Dönme hareketi yapan bir cismin, dönme eksenine göre eylemsizlik momenti I ve açısal hızı x ise kinetik enerjisi T=I?2/2 formülüyle verilir. Dolayısıyla yuvarlanma hareketi yapan bir cismin kinetik enerjisi çizgisel hızından kaynaklanan kinetik enerjiyle açısal hızından kaynaklanan kinetik enerjinin toplamına eşittir. Enerji biçimleri arasında elektrik enerjisi, ısı enerjisi, kimyasal enerji, nükleer enerji, ışınım enerjisi ve mekanik enerji sayılabilir. Kapalı bir sistemde enerji yaratılmaz ve yok edilemez, ancak biçimi değiştirilebilir. Bu, enerjinin sakınımı ilkesi olarak bilinir ve bununla ilintili olarak madde de bir enerji biçimi olarak düşünülebilir.

Enerji ikiye ayrılır.


  • Potansiyel enerji: Depolanan enerjiye denir. Saat zembereği ya da pil gibi.
  • Kinetik enerji: Hareket enerjisidir. Rüzgar, akan sular, giden arabanın enerjisi gibi.
  • Kinetik enerji: Bir hareket sonucu açığa çıkan enerjiye denir. Örneğin rüzgar bir pervaneyi kinetik enerjisi nedeni ile çevirir. Bu pervaneye bağlı jeneratör de elektrik üretir. İşte rüzgarın kinetik (hareket) enerjisi elektrik enerjisine dönüşmüştür.
  • Hidrolik (su) enerjisi: Barajda biriken suyun yüksekten düşerken sahip olduğu kinetik enerji aşağıda bir su tribünün (pervanesi) çevrilmesi ile elektrik enerjisine dönüşür.
  • Kimyasal enerji: Bir maddenin moleküllerinin başka bir madde molekülleri ile yaptığı reaksiyon sonucu ortaya çıkan enerjiye denilir. Bunun en temel örneği yanan odun, kömür, petrol gibi fosil yakıtlar,kağıt vb. gibi birçok malzemelerdeki molekül ile havadaki oksijen molekülünün birleşerek ortaya çıkardığı ısıl enerjidir. Uzmanlar bunu termik enerji yada ısıl enerji olarak isimlendirmektedir.
  • Nükleer (çekirdek) enerji: atom çekirdeklerinin bölünmesi veya parçalanması neticesi açığa çıkan enerji olarak tanımlanır. Bu enerji miktarını belli eden Einstain formülü ise E=mc2 dir. Burada “m” kaybolan kütleyi “c” ise ışık hızını ifade eder. 300.000.000 m/sn olan bu değerin karesinin ne denli büyük bir enerjiye karşılık geleceği ortadadır. Dünyada mevcut 443 nükleer santral bu prensip ile çalışır.
  • Termonükleer (Termâl) enerji: Atom çekirdeklerinin birleşmesi neticesi ortaya çıkan bir çekirdek enerjisi olup Termonükleer olarak isimlendirilir. İki Hidrojen atomunun birleşmesi ile ortaya çıkan ve bilimin artık laboratuar da kolayca gerçekleştirdiği bir enerji dalıdır. Kısacası Güneş bu reaksiyon ile ayakta duran dev bir termonükleer enerji merkezidir. İlk FÜZYON yani termonükleer enerji santralin inşasına 10 milyar €-avro bütçe ile Fransa da 10 ülkenin ortaklığı ile haziran 2005 yılında başlanmıştır
  • Elektrik Enerjisi: Serbest elektronların hareketinden kaynaklanan bir enerjidir. Genelde bakır veya alüminyum tel ile iletilen “alternatif ve doğru” akım modelleri olan bir enerjidir. Elektrik insanlık tarihinde “tekerlekten” sonraki en önemli buluş olarak bilinir.
Elektrik enerji üretim kaynakları nelerdir?
Elektrik enerjisi üretim kaynakları İKİ ana başlık altında ifade edilir.
1. Ana enerji kaynakları.
2. Yenilenebilir (Alternatif) enerji kaynakları.
Ana enerji kaynakları 3 çeşittir.
  • Su enerjisine hidrolik,
  • Kömür,petrol ve gaz enerjisine termik,
  • Çekirdek enerjisine de nükleer enerji denilmektedir.
  • Alternatif (yenilenebilir) enerji kaynakları ise çok çeşitlidir. Rüzgar, güneş, jeotermal, biomas, güneş pilleri,vb.
Alternatif enerji kaynakları ana enerji kaynakları yerine ikame edilemez. Çünkü; Ana enerji kaynaklarının en önemli kriterinden birisi olan “sürdürülebilirlik” ilkesini alternatif enerji kaynakları sağlamakta başarısız olmaktadırlar. Bu yüzdendir ki kesintisiz ve hiçbir şarta bağlı olmaksızın elde edilebilen enerji türüne ana enerji kaynakları denilmektedir.
Son düzenleyen Safi; 14 Ağustos 2016 22:36
XxMagicBoundxX - avatarı
XxMagicBoundxX
Ziyaretçi
14 Aralık 2011       Mesaj #5
XxMagicBoundxX - avatarı
Ziyaretçi

enerji,


iş yapabilme yeteneği ya da sığası. Bir sarmal yayda ya da devinim halindeki bir cisimde olduğu gibi, maddeyle bağıntılı halde bulunabilir; ışık ya da boşluk içinden geçen öteki elektromagnetik ışınım türlerinde olduğu gibi, maddeden bağımsız durumda da olabilir. Enerjinin boyutları, işin boyutlarıyla aynıdır; klasik mekanikte iş, kütle (m) ile uzunluğun (/) karesinin çarpımının, zamanın (/) karesine oranı (mP/t2) olarak tanımlanır. Bu, kütle büyüdükçe ya da devindiği uzunluk arttıkça ya da devinimin süresi kısaldıkça, yapılan işin ya da harcanan enerjinin artacağı anlamına gelir. Enerji çoğunlukla, kilogram-metre, joule, erg, BTU, kilowatt-saat gibi iş birimleriyle ifade edilir.

Enerjinin korunumu yasası doğadaki tüm olgular için geçerlidir; buna göre, doğada gerçekleşen tüm değişimler sırasında, toplam enerji miktarı değişmez. Enerji, belirli bir sistemde, birçok değişik biçimde bulunabilir ve enerjinin korunumu yasası çerçevesinde, bir biçimden ötekine dönüştürülebilir. Bu değişik biçimler, kütleçekimi enerjisi, kinetik enerji, ısı enerjisi, elektrik enerjisi, kimyasal enerji, ışınım enerjisi, çekirdek enerjisi ve kütle enerjisidir.

Enerji kavramının gelişimi.


Enerji teriminin, iş yapabilme yeteneğinin bir ölçüsü olarak kullanılmaya başlaması, mekanik biliminin gelişmesiyle oldu. Bu kavramı ilk olarak 17. yüzyılda Galilei ortaya attı. Gali- lei, bir makara yardımıyla bir ağırlık kaldırıldığında, uygulanan kuvvet ile kuvvetin uygulanması gereken uzunluğun çarpımının (yani, yapılan işin), öteki etmenler değişse bile sabit kaldığını buldu. Aynı yüzyıl içinde, kütle ile hızın karesinin çarpımına doğru orantılı bir büyüklük olan vis viva (canlı kuvvet) kavramı geliştirildi. 19. yüzyılda enerji terimi, vis viva kavramına uygulandı.

Newton, birinci hareket yasasında kuvveti, kütlenin ivmesiyle bağlantılandırdı. Buna göre, bir cisim üzerine etkiyen kuvvetin integralleri alınarak kuvvetin etkileri açığa çıkartılır. Kuvvetin etkilerine ilişkin iki integrali vardır; bunlardan birincisi, kuvvetin etki doğrultusu üzerinde alman integrali yani kuvvetin uzamsal integrali, İkincisi ise, kuvvetin etki süresine göre alman integrali yani kuvvetin zamansal integralidir. Uzamsal integral, kuvvetin kütlenin kinetik enerjisinde yol açtığı değişikliği verir; bu büyüklük, vis viva’nın tam yarısıdır. Zamansal integral ise, kuvvetin kütlenin momentumunda yol açtığı değişikliği verir. Bir süre, bu integrallerden hangisinin kuvvetin gerçek ölçüsünü verdiği üzerine tartışmalar sürdü. Alman filozof ve bilim adamı Gottfried Wilhelm Leibniz uzamsal integrali, Fransız filozof ve matematikçi Rene Descartes ise zamansal integrali savundu. Sonunda 18. yüzyılda Fransız fizikçi Jean d’Alembert, her iki yaklaşımın da, bir kütle üzerinde etkiyen kuvvetin etkilerine ilişkin sağlam bilgiler verdiğini ve sorunun yalnızca adlandırmayla ilgili olduğunu ortaya koydu.

Böylece, kuvvet ile enerji arasındaki bağıntı kuruldu. Kuvvet, üzerinde etkidiği cismin ivmesiyle bağıntılıydı; kinetik enerji yani devinimden kaynaklanan enerji, kütle üzerinde etkiyen kuvvetin uzamsal integralinin sonucuydu; momentum, kütle üzerinde etkiyen kuvvetin zamansal integralinin sonucuydu; enerji ise, iş yapabilme yeteneğinin bir ölçüşüydü. Buna ek olarak da güç, enerjinin iletilme hızıydı.

19. yüzyılın ilk yansında birçok bilim adamı, birbirinden bağımsız olarak enerjinin korunumlu olduğunu belirledi. Enerjinin, kapalı ve sürtünmesiz varsayılan bir sistemde, kinetik ya da potansiyel enerji halinde korunduğu deneysel olarak kanıtlandı ve bu olgu uygulamada son derece yararlı bir araç durumuna geldi. Öte yandan, klasik mekanikte problemleri güçleştirmekten başka bir işe yaramayan sürtünmenin, ısı oluşumuna yol açan başlıca etkenlerden biri olduğu belirlendi. Ingiliz fizikçi James Prescott Joule, ısıyı bir enerji türü olarak tanımladı ve mekanik enerji ile ısı enerjisinin eşdeğerliğini deneysel olarak kanıtladı. Doğadaki çeşitli süreçlere daha ayrıntılı açıklamalar getirmek gerektikçe, süreç sırasındaki enerji değişikliklerinin nicel olarak ölçülmesini ve bu değişiklikler ile sonuçta ulaşılan enerji dengesini, toplam enerji korunumlu olan sistemin içine yerleştirilmesini olanaklı kılan ussal kuramlar ya da modeller geliştirildi.

Metre-kilogram-saniye sisteminde, F=ma (F: kuvvet; m: kütle; a: ivme) denklemiyle elde edilen kuvvetin birimi, kg-m/sn2 ya da kısaca newtondur. Enerji birimi ise, kuvvet çarpı uzaklıktan elde edilir, yani newton- metredir (nt-m). Bu birime aynı zamanda joule denir. Ayrıca joule, watt-saniyeye eşittir.

ideal bir sistemde enerjinin dönüşümü. Kütlesi m olan bir top, dikey doğrultuda havaya fırlatıldığında, topun hızı ve kinetik enerjisi giderek azalır ve en yüksek noktasında sıfıra ulaşır. Geri düşmeye başladığında, hızı ve kinetik enerjisi gene artar. Topun ilk fırlatıldığı andaki kinetik enerjisi (Ek), kütlesi ile ilk hızının (vı) karesinin çarpımının yarısına eşittir. Top havada yükseldikçe kütleçekimsel potansiyel enerji (Ep) kazanır. Bu enerjinin potansiyel olarak adlandırılması, gerçek olmadığı anlamına değil, gizli bir biçimde depolanmış olduğu ve işe dönüştürülebileceği anlamına gelir. Kütleçekimsel potansiyel enerji, bir cisimde, cismin kütleçekimi alanındaki konumuna bağlı olarak depolanan enerjidir. Bir cismin kütleçekimsel potansiyel enerjisi, kütlesinin (ra), belirli bir başlangıç noktasından ölçülen yüksekliğinin (h) ve Yer’in uyguladığı çekim kuvvetinin yol açtığı ivmesinin (g) çarpımına eşittir (Ep=mgh). Belirli bir yükseklikten (h\) havaya fırlatılan topun ilk fırlatılış anındaki potansiyel enerjisi Epl =mgh\ olarak verilir. En yüksek noktasına ulaştığında ise topun potansiyel enerjisi =mgh2 biçimindedir. Havada sürtünmenin bulunmadığı varsayıldığında, enerjinin korunumu yasası uyarınca, bu enerjiler toplanarak şu eşitlikler sağlanabilir:
Ek\ T Epı = Ek2 4* Ep2
1hmv,2 4- rag/z, =0 4- mgh2
Bu ideal örnekte, topup ilk fırlatılış anındaki kinetik enerjisi, topu /12 yüksekliğine çıkarmak için gerekli olan işe dönüşmüş ve kütleçekimsel potansiyel enerjisi mg (Ii2-hı) kadar artmıştır. İlk h\ noktasına dönerken, topun kütleçekimsel potansiyel enerjisi, kinetik enerjiye geri dönüşür ve bu yükseklikteki toplam enerjisi gene V2rav,2 4- rag/ı, olur. Bu olaylar zincirinde, topun h\ yüksekliğindeki kinetik enerjisi değişmez; bu nedenle, bu çevrim sırasında, kütleçekimi kuvvetinin etkisiyle topun üzerinde yapılan iş sıfırdır. Böyle bir sistem korunumlu olarak tanımlanır.
Ama, bir tam çevrimin sonunda kinetik enerjide bir değişiklik olursa, topun üzerinde etkiyen kuvvetlerin yaptığı iş sıfıra eşit olmaz. Topun yükselmesi ve düşmesi sırasında, havanın sürtünme etkisiyle top üzerinde uyguladığı kuvvet, top üzerinde negatif iş yapar; yani, top havanın üzerinde iş yapar ve bu nedenle de kinetik enerjisi azalır. Bu tür bir sistem korunumsuz olarak tanımlanır.

Kütleçekimsel potansiyel enerji. Dikey doğrultuda havaya fırlatılan top örneğinde, topun yükselebilmesi için gerekli olan kuvvetin büyüklüğü, kütlesi (ra) ile Yer’in çekim gücünün topta oluşturduğu ivmenin (g) çarpımına eşittir; kuvvetin doğrultusu ise, kütleçekimsel potansiyel enerjinin artış doğrultusunun tersinedir. Bir boyutlu durumda topun üzerinde etkiyen kuvvet (F), kütleçekimsel potansiyel enerjinin uzaklığa göre türevine eşittir. Buna göre:
Ad:  1.JPG
Gösterim: 2117
Boyut:  8.6 KB
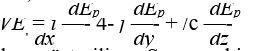
Üç boyutlu durumda ise, potansiyel enerji ile kuvvet arasındaki bağıntı, vektör gösterimleriyle yazılır (vektör değerleri kaim harflerle belirtilir). Potansiyel enerjinin gradyantı V Ep olarak gösterilir ve buna göre F = VEp bağıntısı kurulur. Ama VEp, bileşenlerin toplamının kısa yazılış biçimidir; yani, F^’nin x’e göre kısmi türevi (d Epld x), Ep nin x ekseni üzerindeki değişimi ve ı bu eksen üzerindeki birim vektör olarak kabul edilir ve benzer simgeler öteki eksenler için de kullanılırsa,
Ad:  2.JPG
Gösterim: 2156
Boyut:  11.2 KB
biçiminde gösterilir. Sonuç bir vektör büyüklüğüdür. Bu bağıntı, potansiyel enerjinin genel tanımıdır.
Potansiyel enerjinin öteki biçimleri, cisimlerin ve cisimlerin içinde yer aldıkları sistemlerin özelliklerine bağlıdır. İki kütle (ra ve m') arasındaki kütleçekimi düşünülecek olursa, bunların birbiri üzerinde uyguladığı çekim kuvveti, G evrensel kütleçekimi sabiti (6,673 x 10-11 nt-m2/kg2) ve r cisimlerin arasındaki uzaklık olması koşuluyla, F=Gmm'lr2 biçimindedir. Buradan potansiyel enerji Ep = Gmm'/r olarak elde edilir. Metre-kilogram-saniye sisteminde potansiyel enerjinin birimi newton-metre ya da joule olarak anılır.

Yüklü parçacıklar arasındaki etkileşim enerjisi. Elektrostatikte, etkileşim halindeki yüklü parçacıkların birbirleri üzerinde uyguladıkları kuvvet, Coulomb yasasıyla verilir; buna göre, yüklü iki parçacık (q\ ve <72) arasındaki kuvvet (F), yüklerin çarpımıyla doğru, parçacıkların arasındaki uzaklığın (r) karesiyle ters orantılıdır. Metre-kilogram-saniye sisteminde kuvvetin birimi newton, yüklü parçacıkların birimi coulomb ve uzaklığın birimi metredir. Yüklerin işareti aynıysa, parçacıklar birbirini iter, ayrıysa çeker. Coulomb yasasına göre, belirli bir noktada, birim yük üzerinde etkiyen toplam kuvvete elektrik alanı (F) denir.

Kuvantum mekaniği kavramları.


Atomlara ilişkin enerji tanımlarında kuvantum mekaniğinden yararlanılır. Kuvantum mekaniğine göre, belirli parçacıklar için ancak belirli momentum değerleri olanaklıdır ve bu izinli değerler Planck sabiti (h=6,6262 x 1034 jo- ule-saniye) uyarınca değişir. Bu nedenle, bir atomun çekirdeği çevresinde dönen bir elektronun toplam enerjisi, sabit izinli değerlere sahiptir.
Bir elektronun, yüksek bir enerji düzeyinden daha düşük bir enerji düzeyine geçmesi, bir miktar enerjinin, bir elektromagnetik ışınım fotonu biçiminde salınmasına yol açar. Fotonun özgün frekansı (v), geçiş sırasında salman enerjinin (F) Planck sabitine bölünmesiyle elde edilir (v = E/h). Tüm elektromagnetik ışınımlar, enerjileri ve frekansları yukarıdaki bağıntıda verilen biçimde olan fotonlardan oluşur. Fotonun momentumu ise, enerjisinin ışık hızına (c) olan oranına eşittir. Momentum kavramı, Comp- ton saçılımı, yani bir foton ile bir elektron arasında gerçekleşen esnek çarpışma olayından da anlaşılacağı üzere son derece önemlidir. Bu problem, enerjinin ve momentumun korunumlu olduğu varsayılarak ve fotonun enerji ve momentumu yukarıdaki bağıntılar uyarınca alınarak, klasik iki cismin çarpışması yöntemleriyle çözülür.

Enerjinin ve kütlenin eşdeğerliği.


Hız çok büyüdükçe, devinim halindeki kütlenin kinetik enerjisinin V^rav2 formülüyle tanımlanması geçersizleşir. Bu durumda Einstein’ m görelilik yasası uygulanır. Buna göre kinetik enerji (Ek), cismin düşük‘ hızdaki kütlesinin (m0) ve ışık hızının (c) karesinin, hızın (v) karesini ışık hızının karesine bağın- tılayan bir orantıyla çarpımına eşittir:
Ad:  3.JPG
Gösterim: 2068
Boyut:  10.3 KB
Bu denklem, v’nin küçük değerleri için Vı mqv2 biçimini alır. Bir cismin değişken görelilikli kütlesi (ra), düşük hızlardaki ya da durağan haldeki kütlesi (rao) ile v2 ile c2 arasındaki bağıntıyı kuran orantının çarpımı biçiminde ifade edilebilir:
Ad:  4.JPG
Gösterim: 2104
Boyut:  9.9 KB
Cismin hızı, ışık hızına yaklaştıkça, görelilikli kütlenin (m) sonsuza yaklaşacağını belirten bu ifade, kinetik enerji denklemine yerleştirildiğinde,
Ad:  5.JPG
Gösterim: 2054
Boyut:  9.7 KB
bağıntısı elde edilir. Bu bağıntı yeniden düzenlenirse,
Ad:  6.JPG
Gösterim: 2044
Boyut:  9.4 KB
bağıntısı ortaya çıkar. Buna göre, cismin kinetik enerjisi arttıkça, görelilikli kütlesi de artar. Ayrıca enerji, kütle ile ışık hızının karesi olarak ifade edildiğinde, kütlenin ve enerjinin eşdeğerliği açıkça ortaya çıkar. Bu ilişki yalnızca kinetik enerji için değil, tüm öteki enerji biçimleri için de geçerlidir.
Enerji kaynakları. Birincil enerji kaynakları çekirdek kaynaşması, çekirdek bölünmesi, radyoaktiflik ve Yer ile Ay’ın devinimidir. Tüm enerji biçimlerinin kökenleri bunlardır.
Güneş’teki enerji, hidrojeni ve öteki hafif elementleri daha ağır elementlerle kaynaştıran termonükleer tepkimelerle açığa çıkar. Yer’i aydınlatan, Yer’e ve uzaya tükenmez bir enerji sağlayan ışınım enerjisinin kaynağı budur. Yer atmosferindeki rüzgârlar güneş enerjisinin ısıl etkileri sonucunda oluşur. Hatta akarsuların taşıdığı enerji de, Güneş ışınımının dolaylı bir sonucudur. Öte yandan bölünebilir çekirdek yakıtlar da önemli bir enerji kaynağıdır. Örneğin bir uranyum atomunun çekirdeğinin bölünmesi sonucunda açığa çıkan enerji, bir benzin molekülünün yakılmasıyla elde edilen enerjinin milyonlarca katı kadardır.

Başta ağır elementlerinki olmak üzere çoğu radyoaktif izotop kararsızdır ve bozunum sürecinde enerji salar. Bu tür bir enerji salımı doğada toryum ve uranyum elementlerinin etkinliği sonucunda gelişir; öte yandan aynı olgu, çekirdek kaynaşması ve öteki nükleer yöntemlerle yapay olarak elde edilebilir. Bu nedenle, bozunma hızı ve enerji üretimi özellikleri değişik çok sayıda doğal ya da yapay radyoaktif izotop vardır. Doğal radyoaktif izotoplar Yer’in çok küçük bir bölümünü oluşturur ama açığa çıkarttıkları enerji, Yer’in iç bölümünün yüksek sıcaklığını koruyacak yeterliktedir. Yer’deki jeotermal buhar kuyularından elde edilen enerjinin kaynağı bu radyoaktif etkinliktir.

Birincil kaynaklardan sürekli olarak yeniden yaratılan enerjiye, yenilenebilir enerji denir. Bunlar, Güneş enerjisi, rüzgârların ve akarsuların içerdiği enerji, jeotermal enerji, gelgit enerjisi, ağaçlardan ve öteki bitkilerden sağlanan yakıtlar ile denizlerdeki ısıl gradyanların içerdiği olanaklı enerji kaynaklarıdır. Bu yenilenebilir kaynakların içerdiği toplam enerji miktarı, dünya enerji gereksiniminin çok üstünde olmasına karşın, bunun ancak çok küçük bir bölümü uygun maliyetlerle elde edilebilmektedir. Bu nedenle de bu kaynaklar, dünya enerji talebinin ancak küçük bir kesimini karşılayabilmektedir.

Fosil yakıtlar (kömür, linyit, turba, petrol ve doğal gaz) ise, yenilenemeyen enerji kaynaklarıdır. Günümüzde bu kaynaklara ilişkin yeni yataklar bulunmakla birlikte, rezervleri sonsuz değildir.

kaynak: Ana Britannica
Son düzenleyen Safi; 14 Ağustos 2016 22:47
_EKSELANS_ - avatarı
_EKSELANS_
Kayıtlı Üye
27 Mayıs 2014       Mesaj #6
_EKSELANS_ - avatarı
Kayıtlı Üye

ENERJİ NEDİR?


Enerji kısaca iş yapabilme yeteneğidir. Tıpkı uzunluklar gibi skaler büyüklüktür. Toplamda 8 ana enerji çeşidi verdır. Bunlar potansiyel, kinetik, ısı, ışık, elektrik, kimyasal, nükleer ve ses enerjisidir. Unutmamamız gereken ise hiçbir enerjinin kaybolmadığıdır. Olsa olsa başka bir enerji türü olmuştur.

POTANSİYEL ENERJİ

Bir cismin konumu ve durumu yüzünden sahip olduğu enerjidir. Gerilmiş bir yayda, havada duran bir cisimde ve iple tavandan asılı bir modelde potansiyel enerji vardır. Kısaca yüksekliği olan ya da gerilmiş/sıkıştırılmış tüm cisimlerde potansiyel enerji mevcuttur.

KİNETİK ENERJİ
Kinetik enerjiye sahip olmak için bir cismin hareket ediyor olması lâzımdır. Yani kinetik enerji hızı olan cisimlerin sahip olduğu enerji çeşididir. Bunlara örnek olarak koşan çocuk, dönen tekerlek ya da yüksekten düşen bir top gösterilebilir.

ISI ENERJİSİ
Cisimlerin sıcaklıkları yüzünden sahip olduğu enerjidir. Sıcaklığı yüksek ya da düşük bütün maddelerin ısı enerjisi vardır. Örnek verecek olursak: ampul, elektrik sobası, jeotermal enerji, ısıtıcılar

ELEKTRİK ENERJİSİ
Bu enerji türü bu sitedeki ana başlıklardan birini oluşturur. Cisimlerin elektrik yükleri sebebiyle sahip oldukları enerjidir. Eğer bu konu hakkında daha çok bilgi edinmek istiyorsanız buraya basın.

IŞIK ENERJİSİ
Bu enerji türü karanlık bir odayı aydınlatabilecek bir enerji türüdür. Zaten adı üstünde. Yanan odun, ampul, Güneş, lamba vb. şeyler bir şekilde sahip oldukları enerjinin bir kısmını ışık enerjisine çevirir.

KİMYASAL ENERJİ
Maddelerin kimyasal reaksiyonlarda bulunması sonucu ortaya çıkar. Yanma, Yakma ve benzeri olaylar bir enerji sonucu olur ve onlar da bir enerji açığa cıkartır.

NÜKLEER ENERJİ
Fisyon veya füzyon sonucu meydana gelir. Nükleer santrallerden bu şekilde elektrik elde eder. (Bir şemasını görmek için buraya tıklayın.)

SES ENERJİSİ
Sesin enerjisi olduğunu nasıl anlayabiliriz? Şu örnekle açılanabilir: Camın kırılması. Hani o yüksek şiddetteki çığlıkların kırdığı camları anımsayın. Bunlar sesin enerjisi yüzündendir. Zilin kinetik enerjisi ses ve biraz da ısı enerjisine dönüşür. Yani kol zile vurdukça sesin çıkması enerji dönüşümüdür.

ENERJİ DÖNÜŞÜMÜ
Daha önce de bahsettiğimiz gibi hiçbir enerji kaybolmaz. Sadece dönüşüm sonucu başka bir enerji türü olur. Yani, evrendeki enerji toplamı değişmez. Buna enerjinin korunumu denir. Bu kısmı daha çok şekiller vasıtasıyla anlatmak istiyorum. Şekilleri görmek için başlıklara basın.

İlk örneğimiz hidroelektrik santrali. Kademe kademe anlatmakta yarar görüyorum.

Nehirlerden gelen suyun kinetik enerjisi barajda potansiyel enerjiye dönüşür.
Bu potansiyel enerji kapaklardan akarak doğrusal hareketle bir kinetik enerjiye dönüşür.
Buradan da türbin görevi devralır. O doğrusal hareketi dairesel harekete çevirir; ama hâlen kinetik enerjidir.
Jeneratör türbinden aldığı bu enerjiyi elektrik enerjisine çevirir ve trafolara gönderir.
Bundan sonra uzun bir yolculuk sonrası evinize gelen elektrik fırınlarda ısı enerjisine, saç kurutma makinelerinde ısı enerjisine ve kinetik enerjiye, ampulde ise ışık enerjisine dönüşür.
Böylece 5 kademe atlatmış olan kinetik enerji sonunda bizim yararımıza çalışmış olur.

ARABANIN ANİ FREN YAPMASI

Bu hidroelektrik santralinin işleyişinden daha basittir; ama sonuç olarak enerji dönüşümü olduğu için yazmak istedim.

Arabadaki yakıtın yanması (kimyasal enerji) basınç yaratarak pistonu aşağı iter ve bu enerjisini (kinetik, doğrusal) krank miline iletir.
Krank mili alığı bu enerjiyi doğrusaldan dairesele çevirir ve tekerleklere iletir.
Tekerlek aldığı bu dairesel hareketi doğrusal harekete çevirir ve araba hareket etmeye başlar.
Hızlandıktan sonra sürücü önüne bir şey çıkınca durmaya kalarsa arabanın hareketi yavaşlar, yani kinetik enerjisi de azalır.
Bu enerji kaybolmaz, sadece ses ve ısı enerjisine dönüşür. Fren balatalarının disklere sürtmesi sonucu ses ile ısı ve lastiğin sürtünmesi sonucu da yine ısı ortaya çıkar.

POTANSİYEL ENERJİ

Potansiyel enerji belli bir yükseklik ya da gerginliği olancisimlerin sahip olduğu enerji türüdür. Biz aşağıda sadece yükseklik bahsini işleyeceğiz.
Yüksekliği olan her şeyin potansiyel enerjisi de vardır. Bu enerji gerektiğinde kullanılarak başka enerjilere dönüşebilir (örneğin bir kitabı yüksekte tutarken bırakırsak potansiyel enerjisi kinetik enerjiye dönüşür.)

POTANSİYEL ENERJİYİ HESAPLAMA

Potansiyel enerji 3 şeye bağlıdır: cismin kütlesi, cismin yerden yüksekliği ve yerçekimi. Bunların hepsiyle doğru orantılıdır, yani biri arttığında potansiyel enerji de artar.
Yukarıda verilen bilgilere de dayanarak potansiyel enerjinin fomülünü vermek istiyorum. Hatırlarsanız Enerjiyi “E”, potansiyel enerjiyi de “EP" olarak gösteriyorduk.

EP=kütle x yerçekimi x yükseklik yani EP=m x g x h

Örnek
Kütlesi 10 kg olan bir taş yerden 5 m yüksekte duruyor. Bu taşın sahip olduğu potansiyel enerji kaç Joule’dür? (g=10N/s2)
EP=m.g.h
EP=10kg . 10 m/s2 . 5 m
EP=10kg m2/s2
EP=10 J

KİNETİK ENERJİ
Bir cismin kinetik enerjisinin 0’dan büyük olması bize o cismin hareket ettiğini anlatır. Yani kinetik enerji sadece hareketlilerde mevcuttur ve bu enerjiyi “cismin hereket ettiği için sahip olduğu enerji” diye tanımlarız. Bu enerji elektrik üretmede kullanılabilir.

KİNETİK ENERJİYİ HESAPLAMA

Kinetik enerji, potansiyel enerjiden farklı olarak 2 şeye bağlıdır: cismin kütlesi ve cismin hızı. Bunların ikisiyle de doğru orantılıdır.
Kinetik enerjinin fomülü şu şekildedir. Hatırlarsanız Enerjiyi "E", kinetik enerjiyi de "EK" olarak gösteriyorduk.
EK=½ x m x v2

Örnek
2 saniyede 520 m yol alan ve 300 000 kg kütleye sahip olan bir Boeing 747’nin sahip olduğu kinetik enerji tam hız giderken kaç Joule’dür?
EK = ½ . 260 .260 . 300 000
EK = 2602. 150 000
EK =10 140 000 000 J
Son düzenleyen Safi; 14 Ağustos 2016 22:48
Safi - avatarı
Safi
SMD MiSiM
11 Mart 2016       Mesaj #7
Safi - avatarı
SMD MiSiM

Enerji birimleri ve dönüşümleri


Aslında birimler konusunu enerji üzerine yazılarımdan önce paylaşmalıydım, üzgünüm ki gözden kaçırdım bu konuyu neyse ki fazla geç olmadan farkına vardım ve boşluğu tamamlamak istiyorum.
Öncelikle enerjinin başlıca birimlerini tanıyarak konuya başlayacağım daha sonra kısaca tanımlamalarımızı yaptıktan sonra kısaca birimlerin arasında dönüşümlerini açıklayarak devam edeceğim.

Joule J:


İngiliz fizikçi James Prescott Joule adıyla kullanılan enerji ve iş birimi olarak kullanılan Joule. Kısaca “J” ile gösterilir. Joule, mekanik işlerde ki enerji için kullanılır. Bir Newton’luk bir kuvvetin bir cismi kuvvet doğrultusunda bir metre hareket ettirmesiyle yapılan işe eşittir.

1 Joule J = 1 Newton N x 1 Metre (m)’dir
1 Joule J = 1 Watt W x 1 Saniye (s)’dir.
1000 Joule J = 1 KiloJoule (kJ)
1.000.000 J = 1 MegaJoule (MJ)

Watt W:


İskoçyalı mühendis James Watt adıyla kullanılan enerji dönüşümü oranını ölçen birim Watt. Kısaca “W” ile gösterilir. Watt elektriksel enerji için kullanılır. Üstte ki Joule’un ikinci denkliğinden 1 Watt W = 1 Joule J / 1 saniye (s) bulunur. Bu denklemde de Joule yerine Joule’un ilk denklemini yazarsak 1 Watt W = (1 Newton N x 1 Metre (m)) / 1 saniye (s) şeklinde bulunur.

Watt’ın diğer birimleri ise Pikowatt, Nanowatt, Mikrowatt, Kilowatt… vesaire. Bizim en sık karşılacaklarımız ise Kilowatt ile Megawatt olacaktır. Bu yüzden sadece Kilowatt ile Megawatt’dan bahsetmenin yeterli olacağına inanıyorum.

Kilowatt
: Watt’ın bin katı Kilowatt ile ifade edilir. (kısaca “kW”) Yani; 1 kW = 1000 W‘dır.
Megawatt: Watt’ın bir milyon katı Megawatt ile ifade edilir. (kısaca “MW”) Yani: 1 MW = 1.000.000 W‘dır.

Şimdi en çok karıştırılan Watt-saat (Wh) ve Watt bölü saat (W/h) farkını açıklamaya çalışacağım.
Watt saat: Gücün bir saat boyunca ürettiği ve ya tükettiği enerji diyebiliriz.
Watt/saat: Gücün saatte ki değişimidir diyebiliriz.

Örnekle bu durumu açıklamak gerekirse; 50 Watt’lık bir ampulümüz 2 saat çalıştığında, çalıştığı 2 saat içerisinde 100 Watt’lık enerji tüketir. İfadesi o zaman 100 Wh bu şekilde olur.

Watt/saat ise, örneğin elektrik santralinin hareketini arttırmak için kullanılabilir. Bir elektrik santrali, 30 dakika içinde 0 MW’tan 2 MW’a ulaşırsa, 4 MW/h’lik bir arttırıma sahip demektir. Açıklamada bahsettiğimiz gibi gücün saatte ki değişimini hesapladık.

Genel olarak ise şöyle bir denklik oluşturabiliriz; 1 kWh = 1000 Wh = 3.6 MegaJoule

Kalori (cal):


Atmosfer basıncında bir gram suyun sıcaklığını 1 C artırmak için kullanılan birimdir. Kısaca “cal” ile gösterilir. Enerji birimi olarak kalori bir maddeye verilen ısı miktarını belirlemek için kullanılır.

1 kalori (cal)= 1000 kilokalori (kcal)
1 kalori (cal) = 4,184 Joule J

Joule’un denklik de ki yerine gerekli olabilecek değerleri bırakarak diğer birimlerini de bulabiliriz.

British Thermal Unite (BTU):


Bir atmosfer basınç altında 453,6 gram suyun sıcaklığını 17,2222 C’den 17,7778 C’ye çıkarmak için kullanılan birim British Thermal Unit. Kısaca “BTU” ile gösterilir. Soğutma enerjisi için kullanılır. Vereceğim birimlerin hepsi enerji birimi olacaktır ve birbirleri arasında dönüşüm yapılabilmektedir.

1 BTU = 252 cal
1 BTU = 1055,07 Joule
1 BTU = 0,293 Wh = 0,000293 kWh

Elektron-Volt (eV):


Bir elektron-volt, bir elektronun bir voltluk elektrik potansiyel farkı katederek kazandığı kinetik enerji miktarıdır. Kısaca “eV” ile gösterilir.

1 Mega Elektron Volt (MeV) = 1.000.000 Elektron-Volt (eV)

Bir elektron-volt ve Joule arasında ki denklik ise;

1 Elektron-Volt (eV) = 1,602 x 10ª Joule J’dır. (a=-19)

Ton Eşdeğer Petrol (TEP):


Bir ton petrolün yakılmasıyla elde edilen enerji birimidir. Kısaca “TEP” ile gösterilir. Endüstri’de üretim veya ısıtmada bir veya birden çok çeşitli yakıt kullanılabilir. Her yakıtın kendine has ısıl değeri, ısıl değer birimi vardır. Ortak noktada buluşabilmeleri amacıyla yakıtların ısıl değerleri bir çevrim katsayısı ile belirlenerek ortak bir enerji birimi elde edilmiş olur buna da TEP denir. (IssaGuv.Com)

1 kWh = 0.000086 TEP
TEP = (Tüketim Miktarı (kg) x Isıl değeri (kcal/kg)) / 10.000.000 denkleminden TEP hesaplamasını yapabiliriz.
Son düzenleyen Safi; 14 Ağustos 2016 22:49
SİLENTİUM EST AURUM
Safi - avatarı
Safi
SMD MiSiM
11 Mart 2016       Mesaj #8
Safi - avatarı
SMD MiSiM

ENERJİ NEDİR ?


Bir cisimde bulunan, bir iş meydana getirmeye yarayan güce “enerji” denir. Akan suda, hareket eden bir cisimde, bir makinede ya da insanda her an bir iş meydana getirme gücü olduğuna göre, bunlarda enerji var demektir.

Hareket gibi enerji de Fizik biliminin en önemli unsurlarından biridir. Enerji, kimya enerjisi ya da fizik enerjisi şeklinde olabilir. Bir maddenin yanması, bir kimya enerjisi sağlar. Yanma sonucunda meydana gelen ısı, ışık birer enerji çeşididir. Ayrıca, fiziksel değişmelerle de enerji elde edilir.

Bütün enerji şekilleri ikiye bölünür:
1) Potansiyel enerji;
2) Kinetik enerji;
Bunlara,”durum enerjisi” “hareket enerjisi” de denebilir.
Ok atmak için bir yayı iyice gerdiğinizi düşünün. Bu yayda bir potansiyel enerji vardır. Kurulmuş bir saat zembereğin de, doldurulmuş bir tüfekte de potansiyel enerji bulunur.

Kinetik enerji ise, cisimlerin hareket halinde bulunmaları yüzünden doğan enerjidir. Gerilmiş yay, oku fırlatınca, dolu tüfek patlayınca, saat zembereği boşalınca bunlardaki potansiyel enerji, hareket enerjisine dönüşür.

Enerji şekilleri bir halden öbür hale dönebilir. Mesela, kırda bir taş attığımızı düşünelim. Havada uçmakta olan taşın kinetik bir enerjisi vardır. Taş düşünce bu enerji potansiyel enerjiye dönüşür. Onu alıp yeniden atmaya hazırlanınca taştan yeniden kinetik enerji doğar. Kömürdeki kimyasal enerji, kömür yanınca ısı enerjisi haline gelir. İstim denen kızgın su buharındaki enerji bir buhar makinesinin kolunu iterek mekanik enerji olur.

ENERJİ KAYNAKLARI
Bilim ve teknik ilerledikçe çok değişik kaynaklardan enerji elde etmeyi başarmaktayız. İnsanlar başlangıçta sadece doğal ve basit yollarla enerji elde etmişlerdir
Günümüzde enerji elde edilen başlıca kaynaklar şunlardır:
1. İnsan gücü,
2. Hayvan gücü,
3. Rüzgar gücü,
4. Odun,kömür gibi katı yakıtlar,
5. Petrol, 6. Gaz,
7. Su (baraj),
8. Sıcak su kaynakları, 9. Su buharı,
10. Uranyum madeni,
11. Güneş.

RÜZGAR ENERJİSİ

Yel değirmenlerinde ve rüzgar jeneratörlerinde olduğu gibi, rüzgar gücü kullanılarak enerji üretimi.
Geçmişte kullanımı su pompajı ile sınırlı olan rüzgar enerjisinin, günümüzde elektrik üretim amacı ile kullanımı ön plana çıkmıştır. Rüzgar enerjisinden elektrik üretimi, konvansiyonel enerji kaynaklarıyla ekonomik olarak yarışabilir duruma gelmiştir.

Türkiye’de son iki yıl içinde 26 rüzgar santralı kurma başvurusu yapılmıştır. Bu da konunun Türkiye gündeminde yer aldığının bir göstergesidir. Ülkemizde var olan rüzgar potansiyelinden yararlanarak elektrik enerjisi üretilmesi için “Ulusal Rüzgar Enerjisi Programı” hazırlanarak uygulamaya konulmalıdır. Bu programda 10 yıllık bir dönem için politikalar, hedefler, yatırımlar, teşvikler ve Ar-Ge konuları yer almalıdır.

Öncelikli olarak, elektrik üretimine uygun rüzgar kaynakları potansiyelinin tam olarak belirlenmesi için sürdürülen rüzgar ölçüm çalışmaları hızlandırılıp sonuçlar bir veri tabanında toplanmalı ve Türkiye rüzgar atlası oluşturulmalıdır. Ancak, bunların yanı sıra, yeterli teknolojik seviyeye kısa sürede ulaşabilmemiz için gerekli yasal mevzuat da hızla tamamlanmalıdır.

Enerji ve Tabii Kaynaklar Bakanlığı’nın hazırladığı “Yap-İşlet (BO) Modeli ile Kurulacak ve Yenilenebilir Enerji Kaynakları ile Çalışacak Elektrik Enerjisi Üretim Tesislerinin Kurulması ve İşletilmesi ile Enerji Satışının Düzenlenmesi Hakkında Kanun Tasarısı”nın gerekli düzenlemeler yapılarak, en kısa zamanda çıkarılması yararlı olacaktır.

Ülkemizde rüzgar enerjisi konusunda yeterli bilgi birikimi ve teknolojik alt yapı henüz oluşmadığı için, en azından kısa vadede teknoloji ve ürün ithali gerekecektir. Ancak, teknolojideki hızlı değişim sonucu eskimiş olan teknolojilerin alınmaması için çok dikkatli olunmalı, ithal olunacak makinelerin en son teknoloji ürünü olmalarına özen gösterilmeli, ilk kurulacak santrallarda bile paket ithal projelerden kaçınılmalı ve ilk uygulamalardan itibaren Türkiye’de yapılabilecek kısımların yerli teknoloji ile üretilmesi imkanları üzerinde durulmalıdır. Kazanılacak teknolojik gelişim sonunda, bütünü ile yerli üretime dayalı, Orta Doğu ve Orta Asya pazarına ürün satabilecek rüzgar türbin sanayi oluşturulması hedeflenmelidir. Danimarka rüzgar sanayiinde 12000 kişinin çalıştığı göz önüne alınırsa, rüzgar türbini sanayiinin Türkiye’nin enerji sektörüne katkısı dışında yeni istihdam olanakları da sağlayacağı açıktır.

Milli Park alanları ile yerleşim yerleri içinde ve 2 km’den daha yakında rüzgar santralı kurulmasına izin verilmemelidir. Alanlar seçilirken, aynı alanlarda olabilecek diğer kullanım imkanları da belirlenerek bir ekonomik fayda karşılaştırması ve çevre etki değerlendirmesi yapılmalıdır.

GÜNEŞ ENERJİSİ
Türkiye coğrafi konumu itibarıyla güneş kuşağı içerisinde yer almakta olup, güneş enerjisinden yararlanma potansiyeli, Doğu Karadeniz Bölgesi dışında tüm bölgelerimiz için önemle ele alınması gereken bir büyüklüktedir. Güneş enerjisinden su ısıtma, konut ısıtma, pişirme, kurutma, soğutma gibi ısıl amaçlarla yararlanılabileceği gibi, güneş enerjisini elektrik enerjisine dönüştürmek de olanaklıdır. Ülkemiz sahip olduğu yüksek güneş enerjisi potansiyelini, beyin gücü ve teknoloji geliştirmeye gereken önemi vererek değerlendirmeli ve yalnızca gelişmiş ülkelerin bir pazarı olmamalıdır. Bunun için de güneş enerjisi uygulamalarının yaygınlaşıp gelişmesini sağlayacak kurumsal altyapı oluşturulmalı ve gerekli yasal düzenlemeler yapılmalıdır. Uygulamaya yönelik verimli ve maliyet etkin çözümler geliştirilmesi için, araştırmalara kaynak ayrılmalı, ilgili firma ve kullanıcılar teşviklerle desteklenmelidir.

BİYOKÜTLE ENERJİSİ

Ülkemizde klasik biyokütle kaynaklarından olan odun ile bitki ve hayvan artıkları, uzun yıllardan beri, özellikle ısınma ve pişirme alanlarında kullanılagelmektedir. Ancak bu kullanımın ilkel ve ekonomik olmayan biçimde gerçekleştiği söylenebilir.
Modern biyokütle kaynakları ise, enerji ormancılığı ürünleri ile orman ve ağaç endüstrisi atıkları, enerji (bitkileri) tarımı (bir yetiştirme sezonunda ürün alınan enerji bitkileri), tarım kesimindeki bitkisel ve hayvansal atıklar, kentsel atıklar, tarıma dayalı endüstri atıkları olarak sıralanır.

Türkiye’de atıklara dayalı biyokütle enerjisi (biyogaz ve çöp santralları) için bazı çalışmalar yapılmıştır. Dünyada giderek yaygınlaşan bu çalışmalara önem verilmeli ve hayvan çiftliği gübrelerinin ve şehir çöplerinin değerlendirilmesi için araştırma ve demonstrasyon projeleri yürütülmelidir. Ormancılık potansiyeli ile ilgili bilgiler bulunmakla birlikte, ormanlarımız biyokütle enerjisi üretim potansiyeli açısından değerlendirilmiş değildir. Enerji plantasyonları biçimindeki tarımsal üretim olanakları üzerinde durulmamış ve konu tarımsal üretim planlarında ele alınmamıştır. Kısacası, Türkiye’nin biyokütle enerji potansiyeli tam olarak bilinmemektedir.
Ülkemizin biyokütle enerji potansiyelinin saptanması konusu birinci öncelikte ele alınmalı ve bu proje ile enerji ormancılığından, enerji tarımından, çeşitli yan ürün, atık ve artıklardan elde edilebilecek biyokütle materyallerinin çeşitleri ve coğrafi bölgelere göre yıllık miktarları belirlenmelidir. Ardından, çeşitli biyokütle enerjisi üretim stratejileri, uygulama olanakları ve ekonomik rekabet edebilirlikleri araştırılarak, ülkemiz için uzun dönemli Biyokütle Enerjisi Anaplanı yapılmalıdır. Bu plan çerçevesinde, biyokütle üretimine yönelik orman dışı ağaç plantasyonları ve enerji bitkileri için ülke genelinde bir tarımsal üretim planlaması başlatılmalı ve konunun ekonomik boyutları ortaya konulmalıdır.

Biyokütle enerji uygulamaları ile ilgili bir araştırma merkezi oluşturulmalı, modern biyokütle üretim yöntemleri ve çevrim teknolojileri üzerinde Ar-Ge çalışmaları desteklenmeli, pilot uygulamalara ve gerekli teknoloji transferlerine başlanmalıdır.

DENİZ KÖKENLİ YENİLENEBİLİR ENERJİ
Deniz kökenli yenilenebilir enerjilerden Türkiye için söz konusu olabilecek olan, geliştirilmiş bir teknolojisi de bulunan deniz dalga enerjisidir. Ayrıca denizlerimizde biyokütle yetiştiriciliği üzerinde de durulmalıdır. Türkiye’de enerji alanındaki Ar-Ge çalışmalarında ve enerji planlamalarında henüz yer almayan bu konu ilgili ön çalışmalar başlatılmalıdır.

HİDROJEN ENERJİSİ
Çevre kirliliğine yol açmadan çeşitli alanlarda kullanılabilecek esnek bir yakıt olan hidrojen, 21. yüzyılın yakıtı olarak düşünülmekte; üretimi, taşınma ve depolanması ve kullanılmasına ilişkin teknolojilerin geliştirilmesi için kapsamlı programlar yürütülmektedir. Dünyadaki bu gelişmeler dikkate alınarak, hidrojen enerjisi ile ilgili çalışmalar ülkemizde de öncelikli Ar-Ge alanları arasında yer almalıdır. Hidrojen programları esas itibarıyla uzun döneme yönelik olmakla birlikte, mevcut enerji altyapısıyla çalışılabilecek kısa dönemli uygulamalar üzerinde de durulmalıdır. Ülkemizde hidrojen yakıtı üretiminde kullanılabilecek olası kaynaklar arasında hidrolik enerji, güneş enerjisi, rüzgar enerjisi, deniz-dalga enerjisi, jeotermal enerji ve nükleer enerji yer almaktadır. Türkiye gibi gelişmekte ve teknolojik geçiş aşamasında olan ülkeler için fotovoltaik güneş-hidrojen sistemleri önerilmektedir. Karadeniz’in tabanında kimyasal olarak depolanmış hidrojenden yararlanılması konusunda da araştırmalar başlatılmalıdır.

Ayrıca, Türkiye’de Birleşmiş Milletler UNIDO destekli Uluslararası Hidrojen Enerjisi Teknolojileri Merkezi (ICHET) kurulması için başlatılmış olan çalışmaların hızla olumlu sonuca götürülmesi gereklidir.

JEOTERMAL ENERJİ
Belli elemanların radyoaktif ayrışmasından oluşan, yeryüzünün iç ısısı; bu ısı, potansiyel olarak büyük ve aslında ulaşılmamış bir enerji kaynağıdır.
Son düzenleyen Safi; 14 Ağustos 2016 22:50
SİLENTİUM EST AURUM
Safi - avatarı
Safi
SMD MiSiM
11 Mart 2016       Mesaj #9
Safi - avatarı
SMD MiSiM
Enerji denince aklımıza yenilenebilir ve yenilenemez enerji kaynakları gelir. Yenilene- bilir enerji üretilemeyen ve ancak mevcut bir formdan diğerine dönüştürülebilen enerji, Yunanca energia’dan alınma olup etkiyen kuvvet anlamına gelmektedir.Yenilenemez enerji ise üretilebilir ve kullanıldıktan sonra bir daha kullanılamayan enerjiye denir.

TÜKENİLEBİLİRLİĞİNE GÖRE ENERJİ TÜRLERİ YENİLENEBİLİR (TÜKENMEYEN) ENERJİ YENİLENEMEZ ENERJİ

  • Güneş rüzgar, jeotermal, hidroelektrik, nükleer, gel-git olayı vb. kaynaklardan elde edilen enerji
  • Çevre dostudurlar ve dünya varoldukça tükenmezler.
  • Petrol, doğalgaz, kömür gibi kaynaklardan elde edilen enerji
  • Çevreyi kirletirler ve dünyanın varolma sürecinde tükenirler. Yaklaşık bir yüzyıldan beri dünya enerji sistemini değiştirmek için bir şansa sahipti.Bu enerjinin keşfi1890 ile başladı ve 1910 yılında hemen hemen tamamlandı. Şehirlerde otomobil ve elektrik lambaları, at arabalarının ve gaz lambalarının yerini aldı. Ve 20.yüzyılda fosil yakıtlar temel enerji kaynağını oluşturdu. Ama fosil yakıtlar yani yenilenemez enerji, çevreye verdiği katkı bakımından sağlıksız olmaktadır.

Grafikte tükenilebilirliğine göre enerji türleri; yenilenebilir ve yenilenemez enerji olarak iki gruba ayrılmıştır. Öte yandan yenilenebilir enerji kaynağından olumlu bir şekilde yararlanan bir ülke ise Danimarka’dır.Danimarka, ekonomisini tarıma dayandıran küçük bir ülkedir. Buraya gidilirse hava akımını enerjiye dönüştüren iki yada üç kanatlı dev rüzgar türbinleri oldukça fazla görülür.

Bu beyaz makineler Danimarka’nın toplam elektrik üretiminin %7 sini karşılamaktadır. Diğer yenilenebilir enerji kaynağı biyo enerji; (bitkilerden toplanan biyolojik malzeme) küçük, yerel santraller çöp olarak üretilen organik maddeleri yakarak ısıtmak için sıcak su ve elektrik üretmektedir. Dünyanın her yerinde kömür, petrol, doğalgaz gibi yakıtlara bağlı olmayan yeni teknolojiler oluşturulmaya ve hayata geçirilmeyi beklemektedir.

Yenilenebilir enerji kaynaklarından daha etkin bir biçimde yararlanabilmek için yeni yenilenebilir enerji kaynakları şekline dönüştürülmektedir. Bu yeni enerji kaynakları dünya elektrik üretiminin %1inden daha azını oluşturmaktadır. Ama büyük gelişme içerisinde olup ileride önemli noktalara ulaşılabileceği sanılmaktadır. Birçok bilim adamı küresel ısınma ile bu gazlar arasında ilişki olduğunu söylemektedir. Diğer bir yandan Dünyamızın geleceği hakkında bir gerçek vardır.O da, şu anki petrol rezelleri esas alınırsa son tahminlere göre dünyadaki petrol üretimi 21.yüzyılın ilk 10 yılında en yüksek seviyesine ulaşacak olmasıdır.

Daha sonra ise düşmesi bekleniyor. Yeni rezeller bulunsa bile birçok bilim adamı fosil yakıtların tüketimi ile atmosfere milyarlarca ton karbondioksit ve diğer ısı tutucu gazların salınacağı görüşünü söylemektedirler. Kyoto Protokolü’nde birçok çalışma bu tür gazların sınırlandırılmasına çalışılmaktadır. Gezegenimizde, teknolojik kullanım yönünden, son yıllarda enerji problemleri yaşanıldığı bir gerçektir. Bu yüzden bilim, sonuçlarını kestirmeden, artan bir yoğunlukta petrolün ve doğalgazın kullanımına, seyirci kalmıştır.

Doğalgazdan önce kullanılan kömürün yarattığı hava kirliliği henüz hafızalardadır. Kömürden önce kullanılan odunun, bu günkü ihtiyaç miktarı, yeryüzünde ağaç bırakmazdı. Ormanların korunması, hava kirliliğinin kalkması için ve hatta petrolün yüksek maliyeti karşısında , ülkemizdeki kara taşıtlarında bile doğalgaz kullanımı giderek yaygınlaşmaktadır. Petrol, kömür, doğalgaz gibi fosil yakıtların kullanılmasıyla salınan karbon dioksit vb. gazlar, dünyaya gelen güneş ışınlarını atmosferde hapsederek sera etkisi yaratır. Aşırı fosil yakıt tüketimi ise bu etkiyi arttırarak, küresel ısınma ve tehlikeli iklim değişikliklerine yol açıyor.

Dünya devletleri, karbon dioksit azaltımını gerçekleştirmek üzere,1997 yılında Kyoto sözleşmesini imzaladı.

YENİLEBİLİR ENERJİ ÇEŞİTLERİ


Günümüzde enerji elde edilen başlıca kaynaklar şunlardır:

1. İnsan gücü,
2. Hayvan gücü,
3. Rüzgar gücü,
4. Odun,kömür gibi katı yakıtlar,
5. Petrol,
6.Gaz,
7. Su (baraj),
8. Sıcak su kaynakları,
9. Su buharı,
10. Uranyum madeni,
11. Güneş.

Su Enerjisi


Yenilenebilir enerji kaynaklarının başında geliyor. Temel olarak nehirlere karışan yağmur suyu ya da eriyen kar, su enerjisine dönüştürülebilir. Buna en iyi örnek barajlardır. Su toplama havzalarında bırakılan su akar ve türbinleri döndürür, bu türbinlere bağlı olan jenaratörlerle elektrik üretir. Baraj inşa edildikten sonra, hidroelektrik enerjisi, maliyeti düşük olan bir enerji yöntemidir. Çevre kirliliğine neden olmaz ya da yakıt fiyatları karşısında zayıf değildir. Ancak yakın doğal ortam ya da çevrede yaşayanlar üzerindeki etkileri açısından eleştirilebilir. 2003 yılında, hidroelektrik enerjisi sayesinde dünyanın enerji ihtiyacının yaklaşık yüzde 16’sı karşılanıyordu. Norveç, enerji ihtiyacının yüzde 99′unu hidroelektrik santrallerden karşılıyor.

Rüzgar Enerjisi


Rüzgar enerjisi, fosil yakıtlara nazaran elektriğin birimi başına daha pahalıya gelse de, hidroelektriğin ardından en verimli ikinci yenilenebilir enerji kaynağıdır. Rüzgar enerjisinde başı Avrupa çekiyor. Rüzgar türbinleri kule şeklinde ve genellikle iki ya da üç kanatlıdır. Çapı metrelerce olabilir, kirlilik yaratmaz ve monte etmesi kolaydır. Kıyıda ya da açıkta bulunabilir ancak üretim rüzgara bağlıdır. Bazıları rüzgar türbinlerini, manzarayı bozduğu gerekçesiyle eleştirir.

Güneş Enerjisi


Sera etkisine yol açan gazlar üretip kirlilik yaratmayan, temiz, yenilenebilir enerji kaynağıdır. Fotovoltaik (PV) hücreler yardımıyla gün ışığı doğrudan elektriğe çevrilir. Fotovoltaik paneller, pek çok ülkede ev ve işyerlerinin çatılarına monte edilebilmektedir. Başta Almanya ve ABD olmak üzere, pek çok ülkede de daha büyük ölçekte daha geniş kitlelerin kullanımına uygun sistemler inşa edilmekte. Güneş enerjisi üretimi, yenilenebilir enerji kaynakları arasında maliyeti belki de en yüksek olanı. Yerel amaçlı kullanım dışında da ekonomik bir yöntem olmasa da maliyeti giderek düşmeye başlamış durumda. Üstelik, sistem bir kez kurulduğunda, enerji kaynağından bedava yararlanılabiliyor. Alternatif olarak gün ışığı doğrudan suyun ısıtılmasında kullanılıyor.

Dalga ve Gelgit Enerjisi


Okyanuslar, henüz kullanılmamış büyük bir enerjiyi içlerinde barındırıyor. Dalga ve gelgit enerji teknolojileri de güneş ve rüzgar enerjisiyle kıyaslandığında, nispeten yeni ve büyük ölçüde keşfedilmemiş enerji türleridir. Bu enerjinin geliştirilmesi maliyetli bir iş olduğundan, yakın gelecekte alışıldık enerji kaynaklarıyla mali açıdan yarışacak bir aşamaya gelmesi olası görünmüyor.

ABD Enerji Bakanlığı‘nın verilerine göre, dünyanın tüm sahillerinde oluşan dalga enerjisi toplandığında, 2 ile 3 milyon megavatt enerji açığa çıkıyor. Gelgit ve dalga enerjisinin zengin olduğu yerler: İskoçya’nın batı sahilleri, Kanada’nın kuzeyi, Güney Afrika, Avustralya, ABD’nin kuzeydoğu ve kuzeybatı sahilleri.

Biyo (Organik) Yakıt


Bu terim, yenilenebilir enerji kaynağı olarak fosilleşmemiş organik maddeler için kullanılıyor. Bitkilerden elde edilen madde, başka maddelere, kimyasallara, yakıta ve enerjiye dönüştürülebilir. Bazı türleri, sanayide faal biçimde kullanılıyor; örneğin tohum, şeker ve sebze yağından ya da bunların karışımından elde edilmiş bio yakıtların kullanıldığı çok daha fazla sayıda otomobil üretiliyor.

Jeotermal Enerji


Jeotermal enerji, Dünya’nın kilometrelerce altındaki merkezinde, erimiş kayalardan oluşan mağmadan gelen ısıyı kullanıyor. Bu ısı ya kuyular açılarak ya da yüzeye yakın yerlerdeki su kaynakları ya da kayalardan elde edilir. Dünyada tüketilen enerjinin sadece yüzde 0.4′ü bu yolla elde ediliyor. Örneğin İzlanda’da sıcak jeotermal sular, ısıtma amacıyla kullanılmak amacıyla doğrudan binalara pompalanır. Jeotermal enerji doğrudan ya da dolaylı olarak ABD, Filipinler, İtalya, Meksika, Endonezya, Japonya ve Yeni Zelanda gibi pek çok ülkede kullanılıyor.

Hidrojen Enerjisi


Başlıca enerji kaynakları arasında kabul edilmese de, hidrojen gelecek için umut vaat eden bir yakıt. Enerjiyi taşıyan, bereketli ve çevre kirliliğine yol açmayan bir gaz. Ne var ki, şu aşamada su ya da fosil yakıtlarda elde edilebilmesi için çok fazla elektrik harcanıyor. Ayrıca saklanması ve taşınması da güç.

Okyanus Enerjisi


Derin okyanus sularıyla güneşin ısıttığı yüzey suyu arasındaki sıcaklık farkını kullanarak elektrik üretmek mümkün. Bir tahmine göre, okyanuslardan gelen güneş enerjisinin yüzde 0.1′inden azı, ABD’nin günlük enerji tüketiminin 20 katından fazlasını sağlayabilir. Ancak, bu teknolojinin kullanımına daha vakit var.

YENİLEMEZ ENERJİ ÇEŞİTLERİ


(Klasik Enerji Kaynakları)

Klasik kaynaklar, Karbon bazlı olarak adlandırabilecek kaynaklardır. Petrol, kömür ve doğalgaz en temel enerji kaynaklarıdır. Bunlar, meydana gelişleri itibarıyla yenilenmeleri çok uzun bir süre aldığından, yenilenmeyen kaynaklar olarak da adlandırılırlar.

Kömür :
Yeraltı madenciliği veya açık işletme metodları kullanılarak çıkarılan fosil kaynaklı yakıttır. Genellikle hayvan fosillerinden oluşur. Kolayca yanabilen siyah veya kahverengimsi redüksiyonunda çok büyük önemi vardır. Bir çok çeşidi vardır. Mesela taş kömürü, fabrikalarda kullanılır. Isı derecesi yüksektir. Antrasit, ısı değeri en yüksek olan kömürdür, ülkemizde az bulunur. Ayrıca ülkemizde en çok bulunan kömür linyittir.

Petrol :
Yüzmilyonlarca yıldan bu yana denizlerde yaşayan ya da suların denizlere sürüklediği bitki kalıntılarının anaeorabik bir ortamda, uygun şartlar altında (sıcaklık, basınç ve mikroorganizmaların etkisiyle), toprağın üstünde başkalaşmasıyla oluşur. Değeri çok yüksektir, çünkü oldukça az bulunan bir yakıttır.

Doğalgaz : Petrol gibi doğalgaz da çok eski tarihlerden beri bilinmekle ve kullanılmakla beraber; bugünkü konumuna gelişi, 1816 yılında ABD’nin Baltimore kentinin sokak lambalarının doğalgaz aracılığıyla aydınlatılmasıyla başlar.

Dünya enerji tüketiminin %22’ si doğalgaza dayanmaktadır. İşyerleri ve evler ısınma amacıyla çok yoğun miktarda doğalgaz kullanırlar. Isınma, toplam doğalgaz kullanımında %75 gibi bir orana sahiptir. Bunun yanısıra elektrik üretiminde de doğalgaz kullanılmaktadır. Fakat %10–15 gibi düşük oranlarda kalmaktadır.
Son düzenleyen Safi; 14 Ağustos 2016 22:52
SİLENTİUM EST AURUM
Safi - avatarı
Safi
SMD MiSiM
11 Mart 2016       Mesaj #10
Safi - avatarı
SMD MiSiM
Ad:  enerji türleri2.jpg
Gösterim: 5429
Boyut:  63.7 KB
SİLENTİUM EST AURUM

Benzer Konular

31 Aralık 2012 / Ziyaretçi Soru-Cevap
15 Ağustos 2016 / The Unique Fizik
20 Nisan 2011 / Misafir Soru-Cevap
8 Mart 2017 / ThinkerBeLL Fizik
24 Kasım 2010 / Misafir Cevaplanmış